Номер 2.165, страница 80 - гдз по алгебре 11 класс учебник Арефьева, Пирютко

Алгебра, 11 класс Учебник, авторы: Арефьева Ирина Глебовна, Пирютко Ольга Николаевна, издательство Народная асвета, Минск, 2020, бирюзового цвета

Авторы: Арефьева И. Г., Пирютко О. Н.

Тип: Учебник

Издательство: Народная асвета

Год издания: 2020 - 2025

Цвет обложки: бирюзовый, зелёный с графиком

ISBN: 978-985-03-3165-6

Популярные ГДЗ в 11 классе

Глава 2. Показательная функция. Параграф 6. Показательные неравенства - номер 2.165, страница 80.

№2.165 (с. 80)
Условие. №2.165 (с. 80)
скриншот условия
Алгебра, 11 класс Учебник, авторы: Арефьева Ирина Глебовна, Пирютко Ольга Николаевна, издательство Народная асвета, Минск, 2020, бирюзового цвета, страница 80, номер 2.165, Условие

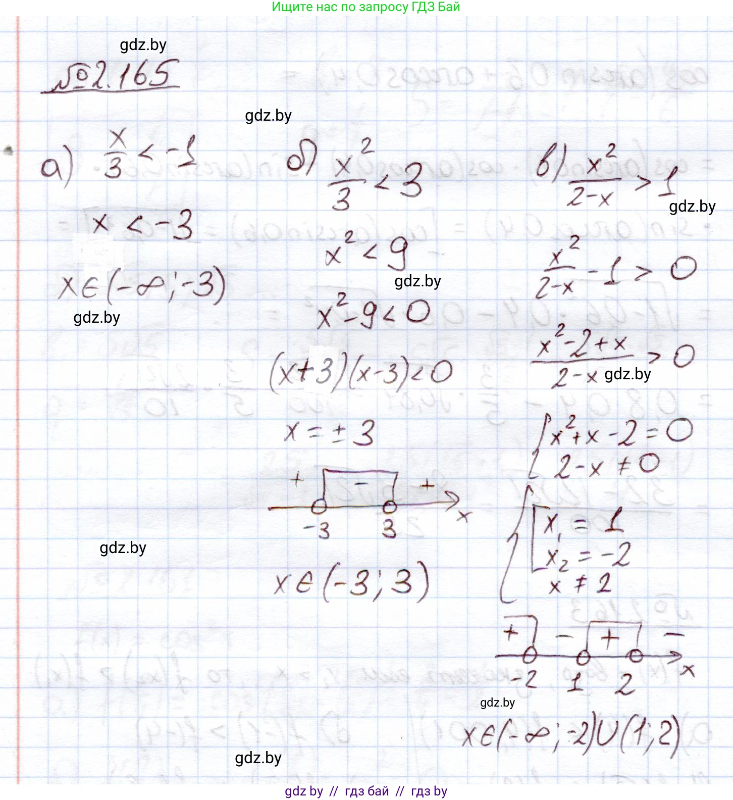
2.165. Решите неравенство:

a) $\frac{x}{3} < -1;$

б) $\frac{x^2}{3} < 3;$

В) $\frac{x^2}{2-x} > 1.$

Решение. №2.165 (с. 80)
Алгебра, 11 класс Учебник, авторы: Арефьева Ирина Глебовна, Пирютко Ольга Николаевна, издательство Народная асвета, Минск, 2020, бирюзового цвета, страница 80, номер 2.165, Решение
Решение 2. №2.165 (с. 80)

а)

Дано неравенство:

$$ \frac{x}{3} < -1 $$

Чтобы решить это линейное неравенство, умножим обе его части на 3. Так как 3 — положительное число, знак неравенства не изменится:

$$ \frac{x}{3} \cdot 3 < -1 \cdot 3 $$

$$ x < -3 $$

Решением неравенства является интервал от минус бесконечности до -3, не включая -3.

Ответ: $x \in (-\infty, -3)$.

б)

Дано неравенство:

$$ \frac{x^2}{3} < 3 $$

Умножим обе части неравенства на 3. Знак неравенства сохранится, так как 3 > 0:

$$ x^2 < 9 $$

Перенесем 9 в левую часть:

$$ x^2 - 9 < 0 $$

Разложим левую часть на множители, используя формулу разности квадратов $a^2 - b^2 = (a-b)(a+b)$:

$$ (x - 3)(x + 3) < 0 $$

Решим это неравенство методом интервалов. Найдем корни соответствующего уравнения $(x - 3)(x + 3) = 0$. Корни: $x_1 = 3$ и $x_2 = -3$.

Эти точки делят числовую ось на три интервала: $(-\infty, -3)$, $(-3, 3)$ и $(3, \infty)$. Определим знак выражения $(x - 3)(x + 3)$ на каждом интервале.

  • При $x \in (-\infty, -3)$, например $x=-4$: $(-4 - 3)(-4 + 3) = (-7)(-1) = 7 > 0$.
  • При $x \in (-3, 3)$, например $x=0$: $(0 - 3)(0 + 3) = (-3)(3) = -9 < 0$.
  • При $x \in (3, \infty)$, например $x=4$: $(4 - 3)(4 + 3) = (1)(7) = 7 > 0$.

Нам нужно, чтобы выражение было меньше нуля, поэтому решением является интервал $(-3, 3)$.

Ответ: $x \in (-3, 3)$.

в)

Дано неравенство:

$$ \frac{x^2}{2 - x} > 1 $$

Перенесем 1 в левую часть, чтобы сравнить выражение с нулем. Важно не умножать на знаменатель $(2-x)$, так как его знак неизвестен и может быть как положительным, так и отрицательным.

$$ \frac{x^2}{2 - x} - 1 > 0 $$

Приведем левую часть к общему знаменателю:

$$ \frac{x^2 - (2 - x)}{2 - x} > 0 $$

$$ \frac{x^2 + x - 2}{2 - x} > 0 $$

Решим это рациональное неравенство методом интервалов. Сначала найдем нули числителя и знаменателя.

Нули числителя: $x^2 + x - 2 = 0$. По теореме Виета, корни $x_1 = 1$ и $x_2 = -2$. Таким образом, числитель можно разложить на множители: $(x - 1)(x + 2)$.

Нуль знаменателя: $2 - x = 0$, откуда $x = 2$. Отметим, что $x=2$ является точкой разрыва (вертикальная асимптота) и не может входить в решение.

Теперь неравенство имеет вид:

$$ \frac{(x + 2)(x - 1)}{2 - x} > 0 $$

Нанесем точки $x=-2$, $x=1$ и $x=2$ на числовую ось. Они разбивают ось на четыре интервала: $(-\infty, -2)$, $(-2, 1)$, $(1, 2)$, $(2, \infty)$. Определим знак дроби в каждом интервале.

  • Интервал $(-\infty, -2)$: возьмем $x = -3$. $\frac{(-3 + 2)(-3 - 1)}{2 - (-3)} = \frac{(-1)(-4)}{5} = \frac{4}{5} > 0$. Этот интервал является решением.
  • Интервал $(-2, 1)$: возьмем $x = 0$. $\frac{(0 + 2)(0 - 1)}{2 - 0} = \frac{(2)(-1)}{2} = -1 < 0$. Этот интервал не является решением.
  • Интервал $(1, 2)$: возьмем $x = 1.5$. $\frac{(1.5 + 2)(1.5 - 1)}{2 - 1.5} = \frac{(3.5)(0.5)}{0.5} = 3.5 > 0$. Этот интервал является решением.
  • Интервал $(2, \infty)$: возьмем $x = 3$. $\frac{(3 + 2)(3 - 1)}{2 - 3} = \frac{(5)(2)}{-1} = -10 < 0$. Этот интервал не является решением.

Объединяя интервалы, где выражение больше нуля, получаем решение.

Ответ: $x \in (-\infty, -2) \cup (1, 2)$.

Помогло решение? Оставьте отзыв в комментариях ниже.

Присоединяйтесь к Телеграм-группе @gdz_by_belarus

Присоединиться

Мы подготовили для вас ответ c подробным объяснением домашего задания по алгебре за 11 класс, для упражнения номер 2.165 расположенного на странице 80 к учебнику 2020 года издания для учащихся школ и гимназий.

Теперь на нашем сайте ГДЗ.ТОП вы всегда легко и бесплатно найдёте условие с правильным ответом на вопрос «Как решить ДЗ» и «Как сделать» задание по алгебре к упражнению №2.165 (с. 80), авторов: Арефьева (Ирина Глебовна), Пирютко (Ольга Николаевна), учебного пособия издательства Народная асвета.