Номер 2.215, страница 95 - гдз по алгебре 11 класс учебник Арефьева, Пирютко

Алгебра, 11 класс Учебник, авторы: Арефьева Ирина Глебовна, Пирютко Ольга Николаевна, издательство Народная асвета, Минск, 2020, бирюзового цвета

Авторы: Арефьева И. Г., Пирютко О. Н.

Тип: Учебник

Издательство: Народная асвета

Год издания: 2020 - 2025

Цвет обложки: бирюзовый, зелёный с графиком

ISBN: 978-985-03-3165-6

Популярные ГДЗ в 11 классе

Глава 2. Показательная функция. Параграф 6. Показательные неравенства - номер 2.215, страница 95.

№2.215 (с. 95)
Условие. №2.215 (с. 95)
скриншот условия
Алгебра, 11 класс Учебник, авторы: Арефьева Ирина Глебовна, Пирютко Ольга Николаевна, издательство Народная асвета, Минск, 2020, бирюзового цвета, страница 95, номер 2.215, Условие

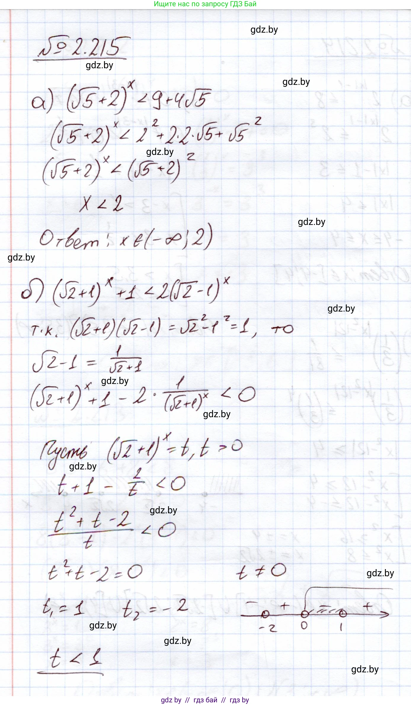
2.215*. Решите неравенство:

a) $(\sqrt{5} + 2)^x < 9 + 4\sqrt{5};$

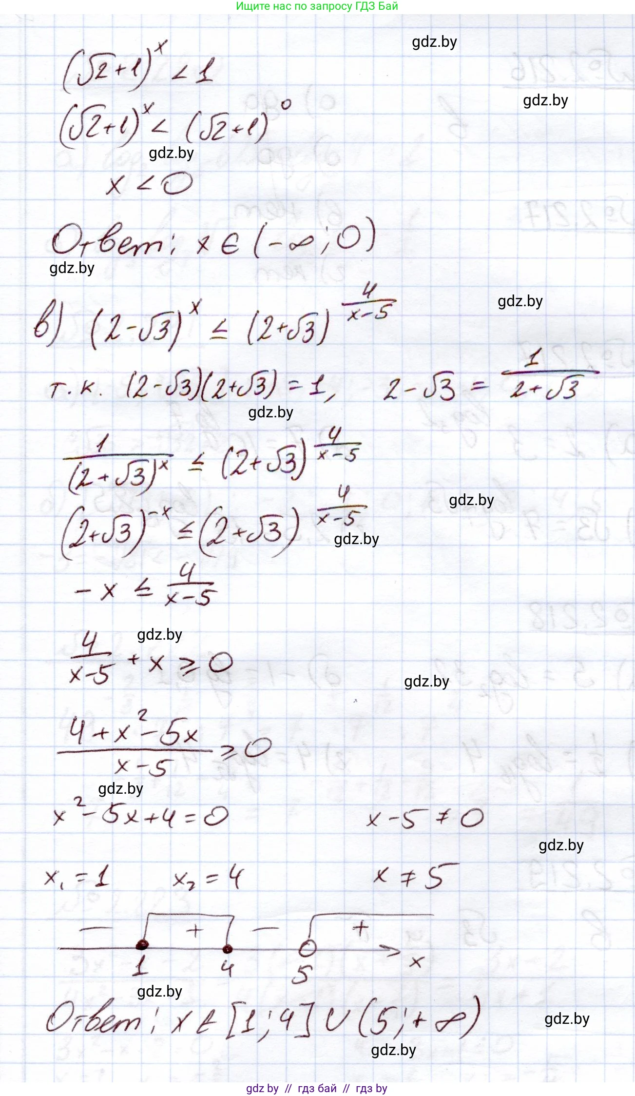
б) $(\sqrt{2} + 1)^x + 1 < 2(\sqrt{2} - 1)^x;$

В) $(2 - \sqrt{3})^x \leq (2 + \sqrt{3})^{\frac{4}{x-5}}.$

Решение. №2.215 (с. 95)
Алгебра, 11 класс Учебник, авторы: Арефьева Ирина Глебовна, Пирютко Ольга Николаевна, издательство Народная асвета, Минск, 2020, бирюзового цвета, страница 95, номер 2.215, Решение Алгебра, 11 класс Учебник, авторы: Арефьева Ирина Глебовна, Пирютко Ольга Николаевна, издательство Народная асвета, Минск, 2020, бирюзового цвета, страница 95, номер 2.215, Решение (продолжение 2)
Решение 2. №2.215 (с. 95)

а) $(\sqrt{5} + 2)^x < 9 + 4\sqrt{5}$

Преобразуем правую часть неравенства. Заметим, что правая часть похожа на квадрат выражения, стоящего в основании степени в левой части. Проверим эту гипотезу, возведя основание в квадрат:

$(\sqrt{5} + 2)^2 = (\sqrt{5})^2 + 2 \cdot \sqrt{5} \cdot 2 + 2^2 = 5 + 4\sqrt{5} + 4 = 9 + 4\sqrt{5}$.

Действительно, правая часть является квадратом основания. Таким образом, исходное неравенство можно переписать в виде:

$(\sqrt{5} + 2)^x < (\sqrt{5} + 2)^2$.

Так как основание степени $a = \sqrt{5} + 2 > 1$ (поскольку $\sqrt{5} > \sqrt{4} = 2$, то $\sqrt{5} + 2 > 4$), показательная функция с таким основанием является возрастающей. Следовательно, при переходе к неравенству для показателей степеней знак неравенства сохраняется:

$x < 2$.

Ответ: $x \in (-\infty; 2)$.

б) $(\sqrt{2} + 1)^x + 1 < 2(\sqrt{2} - 1)^x$

Заметим, что основания степеней $(\sqrt{2} + 1)$ и $(\sqrt{2} - 1)$ являются взаимно обратными числами, так как их произведение равно 1:

$(\sqrt{2} + 1)(\sqrt{2} - 1) = (\sqrt{2})^2 - 1^2 = 2 - 1 = 1$.

Отсюда следует, что $\sqrt{2} - 1 = \frac{1}{\sqrt{2} + 1} = (\sqrt{2} + 1)^{-1}$.

Сделаем замену переменной. Пусть $t = (\sqrt{2} + 1)^x$. Так как $\sqrt{2} + 1 > 0$, то $t > 0$ для любого действительного $x$.

Тогда $(\sqrt{2} - 1)^x = ((\sqrt{2} + 1)^{-1})^x = (\sqrt{2} + 1)^{-x} = t^{-1} = \frac{1}{t}$.

Подставим замену в исходное неравенство:

$t + 1 < 2 \cdot \frac{1}{t}$.

Поскольку $t > 0$, мы можем умножить обе части неравенства на $t$, не меняя знака неравенства:

$t(t+1) < 2$

$t^2 + t < 2$

$t^2 + t - 2 < 0$.

Это квадратное неравенство. Найдем корни соответствующего уравнения $t^2 + t - 2 = 0$. По теореме Виета (или через дискриминант), корни $t_1 = 1$ и $t_2 = -2$.

Графиком функции $y = t^2 + t - 2$ является парабола, ветви которой направлены вверх. Неравенство $y < 0$ выполняется на интервале между корнями: $-2 < t < 1$.

Учитывая ранее установленное условие $t>0$, получаем двойное неравенство для $t$: $0 < t < 1$.

Вернемся к исходной переменной $x$:

$0 < (\sqrt{2} + 1)^x < 1$.

Левая часть неравенства, $(\sqrt{2} + 1)^x > 0$, верна для любых $x$. Решим правую часть:

$(\sqrt{2} + 1)^x < 1$.

Представим 1 в виде степени с тем же основанием: $1 = (\sqrt{2} + 1)^0$.

$(\sqrt{2} + 1)^x < (\sqrt{2} + 1)^0$.

Основание степени $a = \sqrt{2} + 1 > 1$, поэтому показательная функция является возрастающей. При переходе к неравенству для показателей знак неравенства сохраняется:

$x < 0$.

Ответ: $x \in (-\infty; 0)$.

в) $(2 - \sqrt{3})^x \le (2 + \sqrt{3})^{\frac{4}{x-5}}$

Как и в предыдущем задании, заметим, что основания степеней $(2 - \sqrt{3})$ и $(2 + \sqrt{3})$ являются взаимно обратными:

$(2 - \sqrt{3})(2 + \sqrt{3}) = 2^2 - (\sqrt{3})^2 = 4 - 3 = 1$.

Следовательно, $2 - \sqrt{3} = \frac{1}{2 + \sqrt{3}} = (2 + \sqrt{3})^{-1}$.

Подставим это выражение в левую часть неравенства, чтобы привести обе части к одному основанию $2 + \sqrt{3}$:

$((2 + \sqrt{3})^{-1})^x \le (2 + \sqrt{3})^{\frac{4}{x-5}}$

$(2 + \sqrt{3})^{-x} \le (2 + \sqrt{3})^{\frac{4}{x-5}}$.

Основание степени $a = 2 + \sqrt{3} > 1$. Значит, показательная функция является возрастающей, и мы можем перейти к неравенству для показателей, сохранив знак неравенства:

$-x \le \frac{4}{x-5}$.

Перенесем все члены в одну сторону и приведем к общему знаменателю. Область допустимых значений (ОДЗ) для этого неравенства: $x-5 \neq 0$, то есть $x \neq 5$.

$\frac{4}{x-5} + x \ge 0$

$\frac{4 + x(x-5)}{x-5} \ge 0$

$\frac{4 + x^2 - 5x}{x-5} \ge 0$

$\frac{x^2 - 5x + 4}{x-5} \ge 0$.

Найдем корни числителя, решив уравнение $x^2 - 5x + 4 = 0$. По теореме Виета, корни $x_1 = 1, x_2 = 4$.

Разложим числитель на множители и перепишем неравенство:

$\frac{(x-1)(x-4)}{x-5} \ge 0$.

Решим полученное рациональное неравенство методом интервалов. Отметим на числовой оси точки, в которых числитель или знаменатель обращаются в ноль: $x=1, x=4, x=5$. Точки $x=1$ и $x=4$ (нули числителя) включаем в решение, так как неравенство нестрогое. Точку $x=5$ (нуль знаменателя) исключаем из решения.

Определим знаки выражения $f(x) = \frac{(x-1)(x-4)}{x-5}$ на полученных интервалах:

  • Интервал $(5, +\infty)$: при $x=6$, $f(6)=\frac{(+)(+)}{(+)} > 0$.
  • Интервал $(4, 5)$: при $x=4.5$, $f(4.5)=\frac{(+)(+)}{(-)} < 0$.
  • Интервал $(1, 4)$: при $x=2$, $f(2)=\frac{(+)(-)}{(-)} > 0$.
  • Интервал $(-\infty, 1)$: при $x=0$, $f(0)=\frac{(-)(-)}{(-)} < 0$.

Нас интересуют промежутки, где выражение больше или равно нулю. Это объединение интервалов, где $f(x) > 0$, и точек, где $f(x)=0$.

Решением является объединение $[1, 4] \cup (5, +\infty)$.

Ответ: $x \in [1; 4] \cup (5; +\infty)$.

Помогло решение? Оставьте отзыв в комментариях ниже.

Присоединяйтесь к Телеграм-группе @gdz_by_belarus

Присоединиться

Мы подготовили для вас ответ c подробным объяснением домашего задания по алгебре за 11 класс, для упражнения номер 2.215 расположенного на странице 95 к учебнику 2020 года издания для учащихся школ и гимназий.

Теперь на нашем сайте ГДЗ.ТОП вы всегда легко и бесплатно найдёте условие с правильным ответом на вопрос «Как решить ДЗ» и «Как сделать» задание по алгебре к упражнению №2.215 (с. 95), авторов: Арефьева (Ирина Глебовна), Пирютко (Ольга Николаевна), учебного пособия издательства Народная асвета.