Номер 3.106, страница 126 - гдз по алгебре 11 класс учебник Арефьева, Пирютко

Алгебра, 11 класс Учебник, авторы: Арефьева Ирина Глебовна, Пирютко Ольга Николаевна, издательство Народная асвета, Минск, 2020, бирюзового цвета

Авторы: Арефьева И. Г., Пирютко О. Н.

Тип: Учебник

Издательство: Народная асвета

Год издания: 2020 - 2025

Цвет обложки: бирюзовый, зелёный с графиком

ISBN: 978-985-03-3165-6

Популярные ГДЗ в 11 классе

Глава 3. Логарифмическая функция. Параграф 8. Логарифмическая функция. Свойства логарифмической функции - номер 3.106, страница 126.

№3.106 (с. 126)
Условие. №3.106 (с. 126)
скриншот условия
Алгебра, 11 класс Учебник, авторы: Арефьева Ирина Глебовна, Пирютко Ольга Николаевна, издательство Народная асвета, Минск, 2020, бирюзового цвета, страница 126, номер 3.106, Условие

3.106*. Выясните, четной или нечетной является функция

$y = \log_2 \frac{x-1}{x+1} - \log_2 \frac{x+1}{x-1}$

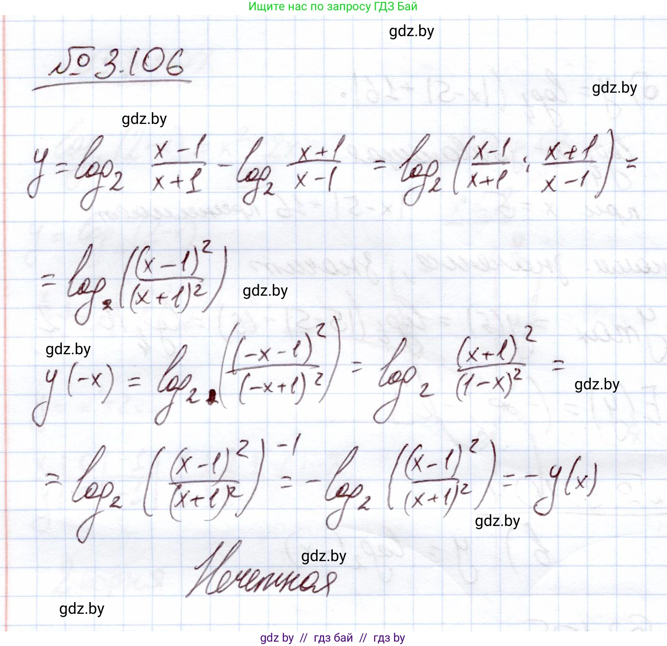
Решение. №3.106 (с. 126)
Алгебра, 11 класс Учебник, авторы: Арефьева Ирина Глебовна, Пирютко Ольга Николаевна, издательство Народная асвета, Минск, 2020, бирюзового цвета, страница 126, номер 3.106, Решение
Решение 2. №3.106 (с. 126)

Для того чтобы определить, является ли функция четной или нечетной, необходимо исследовать ее на соответствие следующим условиям:

  1. Область определения функции $D(y)$ должна быть симметрична относительно начала координат, то есть для любого $x$ из $D(y)$ значение $-x$ также должно принадлежать $D(y)$.
  2. Для всех $x$ из области определения должно выполняться одно из равенств:
    • $y(-x) = y(x)$ — в этом случае функция является четной.
    • $y(-x) = -y(x)$ — в этом случае функция является нечетной.

Дана функция $y(x) = \log_2 \frac{x-1}{x+1} - \log_2 \frac{x+1}{x-1}$.

1. Нахождение области определения функции

Логарифмическая функция определена только для положительных аргументов. Следовательно, должны выполняться два условия одновременно:

$\begin{cases} \frac{x-1}{x+1} > 0 \\ \frac{x+1}{x-1} > 0 \end{cases}$

Заметим, что второе неравенство является следствием первого, так как если дробь положительна, то и обратная ей дробь также будет положительной. Поэтому достаточно решить только первое неравенство:

$\frac{x-1}{x+1} > 0$

Решим его методом интервалов. Корни числителя и знаменателя: $x=1$ и $x=-1$. Эти точки делят числовую ось на три интервала: $(-\infty, -1)$, $(-1, 1)$ и $(1, \infty)$.

  • Для интервала $(-\infty, -1)$ (например, $x=-2$): $\frac{-2-1}{-2+1} = \frac{-3}{-1} = 3 > 0$.
  • Для интервала $(-1, 1)$ (например, $x=0$): $\frac{0-1}{0+1} = -1 < 0$.
  • Для интервала $(1, \infty)$ (например, $x=2$): $\frac{2-1}{2+1} = \frac{1}{3} > 0$.

Таким образом, область определения функции $D(y)$ есть объединение интервалов $(-\infty, -1) \cup (1, \infty)$.

Эта область симметрична относительно нуля, так как если $x_0 \in D(y)$, то и $-x_0 \in D(y)$. Первое условие для проверки на четность/нечетность выполнено.

2. Проверка на четность/нечетность

Найдем значение функции в точке $-x$:

$y(-x) = \log_2 \frac{(-x)-1}{(-x)+1} - \log_2 \frac{(-x)+1}{(-x)-1}$

Упростим выражения, стоящие под знаком логарифма:

$y(-x) = \log_2 \frac{-(x+1)}{-(x-1)} - \log_2 \frac{1-x}{-(1+x)}$

$y(-x) = \log_2 \frac{x+1}{x-1} - \log_2 \frac{-(x-1)}{-(x+1)}$

$y(-x) = \log_2 \frac{x+1}{x-1} - \log_2 \frac{x-1}{x+1}$

Сравним полученное выражение $y(-x)$ с исходной функцией $y(x) = \log_2 \frac{x-1}{x+1} - \log_2 \frac{x+1}{x-1}$.

Для этого в выражении для $y(-x)$ вынесем знак минус за скобки:

$y(-x) = - \left( -\log_2 \frac{x+1}{x-1} + \log_2 \frac{x-1}{x+1} \right) = - \left( \log_2 \frac{x-1}{x+1} - \log_2 \frac{x+1}{x-1} \right)$

Таким образом, мы получили, что $y(-x) = -y(x)$.

Поскольку область определения функции симметрична относительно начала координат и выполняется равенство $y(-x) = -y(x)$, данная функция является нечетной.

Альтернативный способ решения

Можно сначала упростить исходную функцию, используя свойство логарифма $\log_a \frac{1}{b} = -\log_a b$.

Заметим, что $\frac{x+1}{x-1} = \left(\frac{x-1}{x+1}\right)^{-1}$. Тогда второй член в выражении для $y(x)$ можно переписать:

$\log_2 \frac{x+1}{x-1} = \log_2 \left(\frac{x-1}{x+1}\right)^{-1} = -\log_2 \frac{x-1}{x+1}$

Подставим это в исходное уравнение:

$y(x) = \log_2 \frac{x-1}{x+1} - \left(-\log_2 \frac{x-1}{x+1}\right) = 2\log_2 \frac{x-1}{x+1}$

Теперь проверим на четность/нечетность полученную функцию $g(x) = 2\log_2 \frac{x-1}{x+1}$ (которая тождественно равна $y(x)$ на ее области определения).

$g(-x) = 2\log_2 \frac{-x-1}{-x+1} = 2\log_2 \frac{-(x+1)}{-(x-1)} = 2\log_2 \frac{x+1}{x-1}$

Используя свойство логарифма еще раз:

$g(-x) = 2\log_2 \left(\frac{x-1}{x+1}\right)^{-1} = 2 \cdot (-1) \log_2 \frac{x-1}{x+1} = -2\log_2 \frac{x-1}{x+1} = -g(x)$

Этот способ также показывает, что $y(-x) = -y(x)$, следовательно, функция нечетная.

Ответ: функция является нечетной.

Помогло решение? Оставьте отзыв в комментариях ниже.

Присоединяйтесь к Телеграм-группе @gdz_by_belarus

Присоединиться

Мы подготовили для вас ответ c подробным объяснением домашего задания по алгебре за 11 класс, для упражнения номер 3.106 расположенного на странице 126 к учебнику 2020 года издания для учащихся школ и гимназий.

Теперь на нашем сайте ГДЗ.ТОП вы всегда легко и бесплатно найдёте условие с правильным ответом на вопрос «Как решить ДЗ» и «Как сделать» задание по алгебре к упражнению №3.106 (с. 126), авторов: Арефьева (Ирина Глебовна), Пирютко (Ольга Николаевна), учебного пособия издательства Народная асвета.