Номер 3.51, страница 111 - гдз по алгебре 11 класс учебник Арефьева, Пирютко

Алгебра, 11 класс Учебник, авторы: Арефьева Ирина Глебовна, Пирютко Ольга Николаевна, издательство Народная асвета, Минск, 2020, бирюзового цвета

Авторы: Арефьева И. Г., Пирютко О. Н.

Тип: Учебник

Издательство: Народная асвета

Год издания: 2020 - 2025

Цвет обложки: бирюзовый, зелёный с графиком

ISBN: 978-985-03-3165-6

Популярные ГДЗ в 11 классе

Глава 3. Логарифмическая функция. Параграф 7. Свойства логарифмов - номер 3.51, страница 111.

№3.51 (с. 111)
Условие. №3.51 (с. 111)
скриншот условия
Алгебра, 11 класс Учебник, авторы: Арефьева Ирина Глебовна, Пирютко Ольга Николаевна, издательство Народная асвета, Минск, 2020, бирюзового цвета, страница 111, номер 3.51, Условие

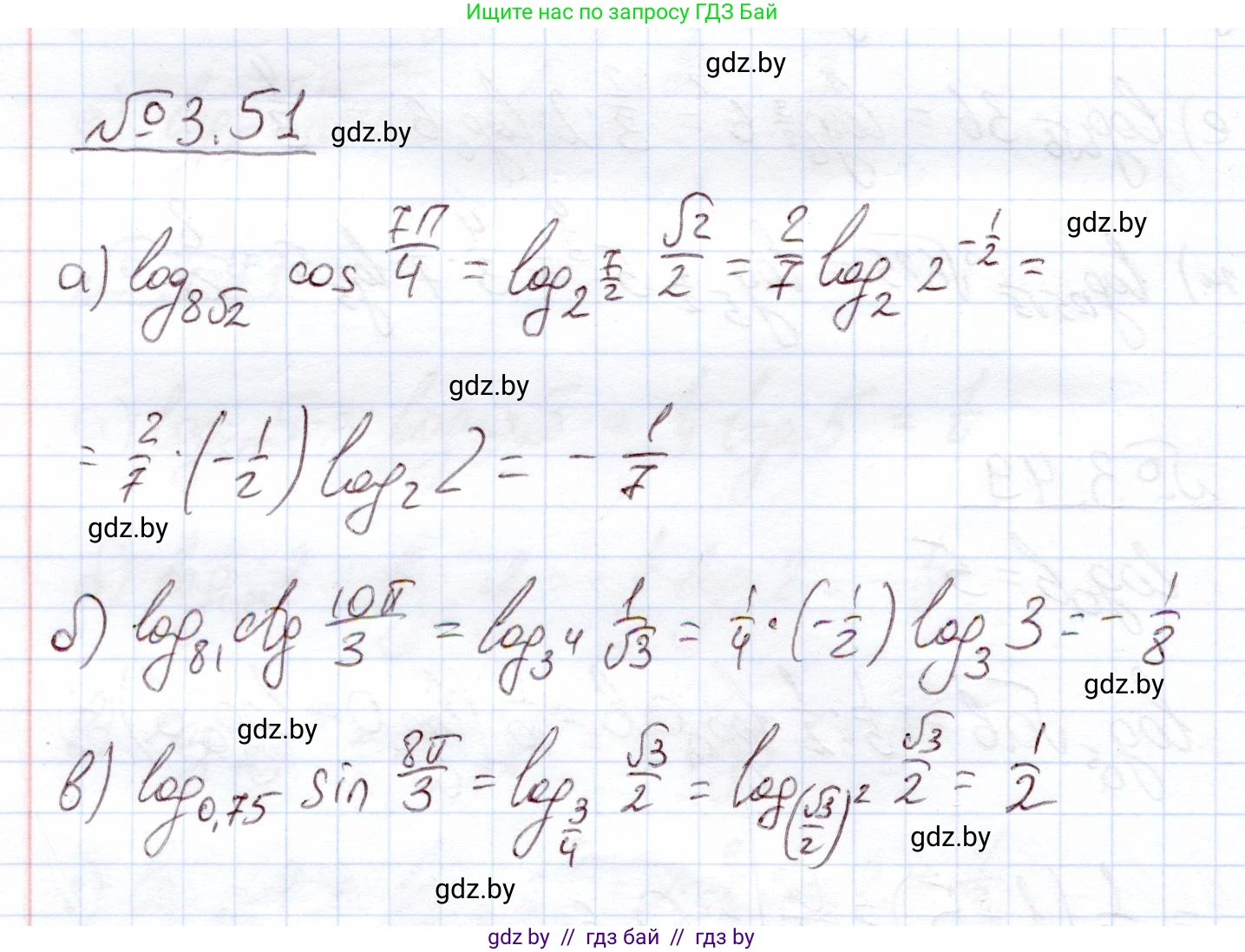
3.51. Вычислите:

a) $\log_{8\sqrt{2}} \cos\frac{7\pi}{4}$;

б) $\log_{81} \operatorname{ctg}\frac{10\pi}{3}$;

в) $\log_{0,75} \sin\frac{8\pi}{3}$.

Решение. №3.51 (с. 111)
Алгебра, 11 класс Учебник, авторы: Арефьева Ирина Глебовна, Пирютко Ольга Николаевна, издательство Народная асвета, Минск, 2020, бирюзового цвета, страница 111, номер 3.51, Решение
Решение 2. №3.51 (с. 111)

а) $ \log_{8\sqrt{2}} \cos\frac{7\pi}{4} $

1. Сначала вычислим значение выражения под знаком логарифма: $ \cos\frac{7\pi}{4} $. Используем периодичность косинуса и формулы приведения: угол $ \frac{7\pi}{4} $ находится в IV четверти, где косинус положителен.

$ \cos\frac{7\pi}{4} = \cos(2\pi - \frac{\pi}{4}) = \cos(\frac{\pi}{4}) = \frac{\sqrt{2}}{2} $.

2. Теперь преобразуем основание логарифма $ 8\sqrt{2} $ и число под знаком логарифма $ \frac{\sqrt{2}}{2} $ к степени с одним и тем же основанием, например, 2.

Основание: $ 8\sqrt{2} = 2^3 \cdot 2^{\frac{1}{2}} = 2^{3+\frac{1}{2}} = 2^{\frac{7}{2}} $.

Число под логарифмом: $ \frac{\sqrt{2}}{2} = \frac{2^{\frac{1}{2}}}{2^1} = 2^{\frac{1}{2}-1} = 2^{-\frac{1}{2}} $.

3. Подставим полученные значения в исходное выражение:

$ \log_{8\sqrt{2}} \cos\frac{7\pi}{4} = \log_{2^{\frac{7}{2}}} 2^{-\frac{1}{2}} $.

Воспользуемся свойством логарифма $ \log_{a^k} b^m = \frac{m}{k}\log_a b $:

$ \log_{2^{\frac{7}{2}}} 2^{-\frac{1}{2}} = \frac{-1/2}{7/2} \log_2 2 = \frac{-1/2}{7/2} \cdot 1 = -\frac{1}{2} \cdot \frac{2}{7} = -\frac{1}{7} $.

Ответ: $ -\frac{1}{7} $.

б) $ \log_{81} \operatorname{ctg}\frac{10\pi}{3} $

1. Вычислим значение выражения под знаком логарифма: $ \operatorname{ctg}\frac{10\pi}{3} $. Используем периодичность котангенса (период $ \pi $):

$ \frac{10\pi}{3} = 3\pi + \frac{\pi}{3} $.

$ \operatorname{ctg}\frac{10\pi}{3} = \operatorname{ctg}(3\pi + \frac{\pi}{3}) = \operatorname{ctg}(\frac{\pi}{3}) = \frac{1}{\sqrt{3}} $.

2. Преобразуем основание логарифма 81 и число под логарифмом $ \frac{1}{\sqrt{3}} $ к степени с основанием 3.

Основание: $ 81 = 3^4 $.

Число под логарифмом: $ \frac{1}{\sqrt{3}} = \frac{1}{3^{\frac{1}{2}}} = 3^{-\frac{1}{2}} $.

3. Подставим полученные значения в исходное выражение:

$ \log_{81} \operatorname{ctg}\frac{10\pi}{3} = \log_{3^4} 3^{-\frac{1}{2}} $.

Используя свойство логарифма $ \log_{a^k} b^m = \frac{m}{k}\log_a b $:

$ \log_{3^4} 3^{-\frac{1}{2}} = \frac{-1/2}{4} \log_3 3 = -\frac{1}{8} \cdot 1 = -\frac{1}{8} $.

Ответ: $ -\frac{1}{8} $.

в) $ \log_{0,75} \sin\frac{8\pi}{3} $

1. Вычислим значение выражения под знаком логарифма: $ \sin\frac{8\pi}{3} $. Используем периодичность синуса (период $ 2\pi $) и формулы приведения:

$ \frac{8\pi}{3} = 2\pi + \frac{2\pi}{3} $.

$ \sin\frac{8\pi}{3} = \sin(2\pi + \frac{2\pi}{3}) = \sin(\frac{2\pi}{3}) = \sin(\pi - \frac{\pi}{3}) = \sin(\frac{\pi}{3}) = \frac{\sqrt{3}}{2} $.

2. Преобразуем основание логарифма 0,75 в обыкновенную дробь:

$ 0,75 = \frac{75}{100} = \frac{3}{4} $.

3. Подставим полученные значения в исходное выражение:

$ \log_{0,75} \sin\frac{8\pi}{3} = \log_{\frac{3}{4}} \frac{\sqrt{3}}{2} $.

4. Чтобы найти значение логарифма, представим число $ \frac{\sqrt{3}}{2} $ как степень основания $ \frac{3}{4} $.

Заметим, что $ (\frac{3}{4})^{\frac{1}{2}} = \sqrt{\frac{3}{4}} = \frac{\sqrt{3}}{\sqrt{4}} = \frac{\sqrt{3}}{2} $.

5. Таким образом, логарифм принимает вид:

$ \log_{\frac{3}{4}} (\frac{3}{4})^{\frac{1}{2}} $.

По основному свойству логарифма $ \log_a a^x = x $, получаем:

$ \log_{\frac{3}{4}} (\frac{3}{4})^{\frac{1}{2}} = \frac{1}{2} $.

Ответ: $ \frac{1}{2} $.

Помогло решение? Оставьте отзыв в комментариях ниже.

Присоединяйтесь к Телеграм-группе @gdz_by_belarus

Присоединиться

Мы подготовили для вас ответ c подробным объяснением домашего задания по алгебре за 11 класс, для упражнения номер 3.51 расположенного на странице 111 к учебнику 2020 года издания для учащихся школ и гимназий.

Теперь на нашем сайте ГДЗ.ТОП вы всегда легко и бесплатно найдёте условие с правильным ответом на вопрос «Как решить ДЗ» и «Как сделать» задание по алгебре к упражнению №3.51 (с. 111), авторов: Арефьева (Ирина Глебовна), Пирютко (Ольга Николаевна), учебного пособия издательства Народная асвета.