Номер 115, страница 179 - гдз по алгебре 11 класс учебник Арефьева, Пирютко

Алгебра, 11 класс Учебник, авторы: Арефьева Ирина Глебовна, Пирютко Ольга Николаевна, издательство Народная асвета, Минск, 2020, бирюзового цвета

Авторы: Арефьева И. Г., Пирютко О. Н.

Тип: Учебник

Издательство: Народная асвета

Год издания: 2020 - 2025

Цвет обложки: бирюзовый, зелёный с графиком

ISBN: 978-985-03-3165-6

Популярные ГДЗ в 11 классе

Упражнения для итогового повторения. Числа и вычисления - номер 115, страница 179.

№115 (с. 179)
Условие. №115 (с. 179)
скриншот условия
Алгебра, 11 класс Учебник, авторы: Арефьева Ирина Глебовна, Пирютко Ольга Николаевна, издательство Народная асвета, Минск, 2020, бирюзового цвета, страница 179, номер 115, Условие

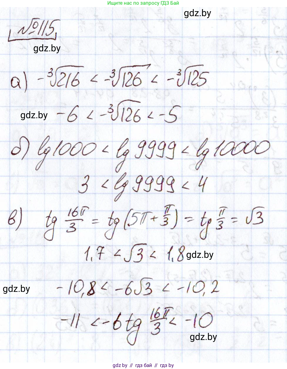
115. Найдите два последовательных целых числа, между которыми на координатной прямой находится число:

а) $- \sqrt[3]{126}$;

б) $\lg 9999$;

В)* $-6\operatorname{tg}\frac{16\pi}{3}$.

Решение. №115 (с. 179)
Алгебра, 11 класс Учебник, авторы: Арефьева Ирина Глебовна, Пирютко Ольга Николаевна, издательство Народная асвета, Минск, 2020, бирюзового цвета, страница 179, номер 115, Решение
Решение 2. №115 (с. 179)

а) $-\sqrt[3]{126}$

Чтобы найти два последовательных целых числа, между которыми находится число $-\sqrt[3]{126}$, нам нужно сначала оценить значение $\sqrt[3]{126}$.

Мы ищем два последовательных целых числа, кубы которых находятся по обе стороны от 126. Рассмотрим кубы целых чисел:

$5^3 = 125$

$6^3 = 216$

Поскольку $125 < 126 < 216$, мы можем записать неравенство для кубических корней:

$\sqrt[3]{125} < \sqrt[3]{126} < \sqrt[3]{216}$

Отсюда следует:

$5 < \sqrt[3]{126} < 6$

Теперь умножим все части неравенства на -1. При умножении на отрицательное число знаки неравенства меняются на противоположные:

$-6 < -\sqrt[3]{126} < -5$

Таким образом, число $-\sqrt[3]{126}$ находится на координатной прямой между целыми числами -6 и -5.

Ответ: -6 и -5.

б) $\lg 9999$

Выражение $\lg 9999$ представляет собой десятичный логарифм числа 9999, то есть $\log_{10} 9999$. Нам нужно найти такое целое число $n$, что $n < \lg 9999 < n+1$.

Это неравенство эквивалентно следующему:

$10^n < 9999 < 10^{n+1}$

Рассмотрим степени числа 10:

$10^3 = 1000$

$10^4 = 10000$

Мы видим, что $1000 < 9999 < 10000$. Следовательно, мы можем записать:

$10^3 < 9999 < 10^4$

Так как логарифмическая функция с основанием 10 является возрастающей, мы можем прологарифмировать все части неравенства, не меняя знаков:

$\lg(10^3) < \lg 9999 < \lg(10^4)$

Используя свойство логарифма $\log_a a^b = b$, получаем:

$3 < \lg 9999 < 4$

Таким образом, число $\lg 9999$ находится на координатной прямой между целыми числами 3 и 4.

Ответ: 3 и 4.

в)* $-6\tg\frac{16\pi}{3}$

Сначала упростим тригонометрическое выражение. Для этого преобразуем аргумент тангенса $\frac{16\pi}{3}$:

$\frac{16\pi}{3} = \frac{15\pi + \pi}{3} = \frac{15\pi}{3} + \frac{\pi}{3} = 5\pi + \frac{\pi}{3}$

Тангенс имеет период $\pi$, поэтому $\tg(x + k\pi) = \tg(x)$ для любого целого $k$. В нашем случае $k=5$.

$\tg\frac{16\pi}{3} = \tg(5\pi + \frac{\pi}{3}) = \tg\frac{\pi}{3}$

Значение тангенса этого угла является табличным:

$\tg\frac{\pi}{3} = \sqrt{3}$

Теперь подставим это значение в исходное выражение:

$-6\tg\frac{16\pi}{3} = -6 \cdot \sqrt{3} = -6\sqrt{3}$

Далее найдем два последовательных целых числа, между которыми находится $-6\sqrt{3}$. Оценим значение $6\sqrt{3}$. Для этого возведем его в квадрат:

$(6\sqrt{3})^2 = 6^2 \cdot (\sqrt{3})^2 = 36 \cdot 3 = 108$

Найдем два последовательных целых числа, квадраты которых "окружают" число 108:

$10^2 = 100$

$11^2 = 121$

Так как $100 < 108 < 121$, мы можем записать неравенство:

$10^2 < (6\sqrt{3})^2 < 11^2$

Извлекая квадратный корень из всех частей, получаем:

$10 < 6\sqrt{3} < 11$

Наконец, умножим неравенство на -1, изменив знаки на противоположные:

$-11 < -6\sqrt{3} < -10$

Следовательно, число $-6\tg\frac{16\pi}{3}$ находится между целыми числами -11 и -10.

Ответ: -11 и -10.

Помогло решение? Оставьте отзыв в комментариях ниже.

Присоединяйтесь к Телеграм-группе @gdz_by_belarus

Присоединиться

Мы подготовили для вас ответ c подробным объяснением домашего задания по алгебре за 11 класс, для упражнения номер 115 расположенного на странице 179 к учебнику 2020 года издания для учащихся школ и гимназий.

Теперь на нашем сайте ГДЗ.ТОП вы всегда легко и бесплатно найдёте условие с правильным ответом на вопрос «Как решить ДЗ» и «Как сделать» задание по алгебре к упражнению №115 (с. 179), авторов: Арефьева (Ирина Глебовна), Пирютко (Ольга Николаевна), учебного пособия издательства Народная асвета.