Номер 112, страница 178 - гдз по алгебре 11 класс учебник Арефьева, Пирютко

Алгебра, 11 класс Учебник, авторы: Арефьева Ирина Глебовна, Пирютко Ольга Николаевна, издательство Народная асвета, Минск, 2020, бирюзового цвета

Авторы: Арефьева И. Г., Пирютко О. Н.

Тип: Учебник

Издательство: Народная асвета

Год издания: 2020 - 2025

Цвет обложки: бирюзовый, зелёный с графиком

ISBN: 978-985-03-3165-6

Популярные ГДЗ в 11 классе

Упражнения для итогового повторения. Числа и вычисления - номер 112, страница 178.

№112 (с. 178)
Условие. №112 (с. 178)
скриншот условия
Алгебра, 11 класс Учебник, авторы: Арефьева Ирина Глебовна, Пирютко Ольга Николаевна, издательство Народная асвета, Минск, 2020, бирюзового цвета, страница 178, номер 112, Условие

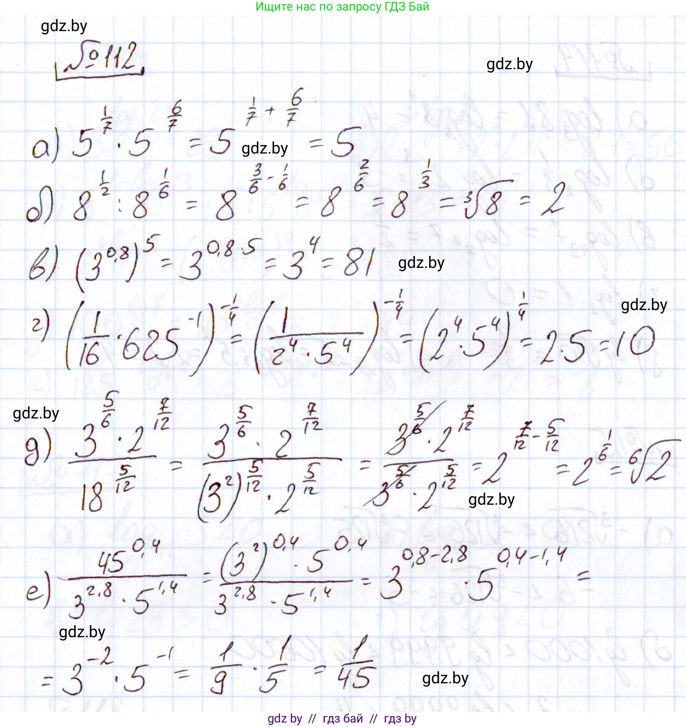
112. Воспользуйтесь свойствами степени с рациональным показателем и вычислите:

а) $5^{\frac{1}{7}} \cdot 5^{\frac{6}{7}};

б) $8^{\frac{1}{2}} : 8^{\frac{1}{6}};

в) $(3^{0,8})^5;

г) $\left(\frac{1}{16} \cdot 625^{-1}\right)^{-\frac{1}{4}};

д) $\frac{3^{\frac{5}{6}} \cdot 2^{12}}{18^{\frac{5}{12}}};

е) $\frac{45^{0,4}}{3^{2,8} \cdot 5^{1,4}}.$

Решение. №112 (с. 178)
Алгебра, 11 класс Учебник, авторы: Арефьева Ирина Глебовна, Пирютко Ольга Николаевна, издательство Народная асвета, Минск, 2020, бирюзового цвета, страница 178, номер 112, Решение
Решение 2. №112 (с. 178)

а) $5^{\frac{1}{7}} \cdot 5^{\frac{6}{7}}$

При умножении степеней с одинаковым основанием их показатели складываются, согласно свойству $a^m \cdot a^n = a^{m+n}$.

$5^{\frac{1}{7}} \cdot 5^{\frac{6}{7}} = 5^{\frac{1}{7} + \frac{6}{7}} = 5^{\frac{7}{7}} = 5^1 = 5$.

Ответ: 5

б) $8^{\frac{1}{2}} : 8^{\frac{1}{6}}$

При делении степеней с одинаковым основанием их показатели вычитаются, согласно свойству $a^m : a^n = a^{m-n}$.

$8^{\frac{1}{2}} : 8^{\frac{1}{6}} = 8^{\frac{1}{2} - \frac{1}{6}} = 8^{\frac{3}{6} - \frac{1}{6}} = 8^{\frac{2}{6}} = 8^{\frac{1}{3}}$.

Поскольку $8 = 2^3$, то $8^{\frac{1}{3}} = (2^3)^{\frac{1}{3}} = 2^{3 \cdot \frac{1}{3}} = 2^1 = 2$.

Ответ: 2

в) $(3^{0,8})^5$

При возведении степени в степень показатели перемножаются, согласно свойству $(a^m)^n = a^{m \cdot n}$.

$(3^{0,8})^5 = 3^{0,8 \cdot 5} = 3^4 = 81$.

Ответ: 81

г) $(\frac{1}{16} \cdot 625^{-1})^{-\frac{1}{4}}$

Воспользуемся свойствами степени произведения $(a \cdot b)^n = a^n \cdot b^n$ и возведения степени в степень $(a^m)^n = a^{m \cdot n}$.

$(\frac{1}{16} \cdot 625^{-1})^{-\frac{1}{4}} = (\frac{1}{16})^{-\frac{1}{4}} \cdot (625^{-1})^{-\frac{1}{4}} = (16^{-1})^{-\frac{1}{4}} \cdot 625^{(-1) \cdot (-\frac{1}{4})} = 16^{\frac{1}{4}} \cdot 625^{\frac{1}{4}}$.

Представим основания в виде степеней: $16 = 2^4$ и $625 = 5^4$.

$(2^4)^{\frac{1}{4}} \cdot (5^4)^{\frac{1}{4}} = 2^{4 \cdot \frac{1}{4}} \cdot 5^{4 \cdot \frac{1}{4}} = 2^1 \cdot 5^1 = 10$.

Ответ: 10

д) $\frac{3^{\frac{5}{6}} \cdot 2^{\frac{7}{12}}}{18^{\frac{5}{12}}}$

Разложим основание $18$ в знаменателе на простые множители: $18 = 2 \cdot 9 = 2 \cdot 3^2$.

Применим свойства степени к знаменателю: $18^{\frac{5}{12}} = (2 \cdot 3^2)^{\frac{5}{12}} = 2^{\frac{5}{12}} \cdot (3^2)^{\frac{5}{12}} = 2^{\frac{5}{12}} \cdot 3^{2 \cdot \frac{5}{12}} = 2^{\frac{5}{12}} \cdot 3^{\frac{10}{12}} = 2^{\frac{5}{12}} \cdot 3^{\frac{5}{6}}$.

Подставим полученное выражение в дробь: $\frac{3^{\frac{5}{6}} \cdot 2^{\frac{7}{12}}}{2^{\frac{5}{12}} \cdot 3^{\frac{5}{6}}}$.

Сократим одинаковые множители $3^{\frac{5}{6}}$ и применим свойство деления степеней: $\frac{2^{\frac{7}{12}}}{2^{\frac{5}{12}}} = 2^{\frac{7}{12} - \frac{5}{12}} = 2^{\frac{2}{12}} = 2^{\frac{1}{6}}$.

Ответ: $2^{\frac{1}{6}}$

е) $\frac{45^{0,4}}{3^{2,8} \cdot 5^{1,4}}$

Разложим основание $45$ в числителе на простые множители: $45 = 9 \cdot 5 = 3^2 \cdot 5$.

Применим свойства степени к числителю: $45^{0,4} = (3^2 \cdot 5)^{0,4} = (3^2)^{0,4} \cdot 5^{0,4} = 3^{2 \cdot 0,4} \cdot 5^{0,4} = 3^{0,8} \cdot 5^{0,4}$.

Подставим полученное выражение в дробь: $\frac{3^{0,8} \cdot 5^{0,4}}{3^{2,8} \cdot 5^{1,4}}$.

Сгруппируем степени с одинаковыми основаниями и применим свойство деления степеней: $\frac{3^{0,8}}{3^{2,8}} \cdot \frac{5^{0,4}}{5^{1,4}} = 3^{0,8 - 2,8} \cdot 5^{0,4 - 1,4} = 3^{-2} \cdot 5^{-1}$.

Преобразуем степени с отрицательными показателями: $3^{-2} \cdot 5^{-1} = \frac{1}{3^2} \cdot \frac{1}{5} = \frac{1}{9} \cdot \frac{1}{5} = \frac{1}{45}$.

Ответ: $\frac{1}{45}$

Помогло решение? Оставьте отзыв в комментариях ниже.

Присоединяйтесь к Телеграм-группе @gdz_by_belarus

Присоединиться

Мы подготовили для вас ответ c подробным объяснением домашего задания по алгебре за 11 класс, для упражнения номер 112 расположенного на странице 178 к учебнику 2020 года издания для учащихся школ и гимназий.

Теперь на нашем сайте ГДЗ.ТОП вы всегда легко и бесплатно найдёте условие с правильным ответом на вопрос «Как решить ДЗ» и «Как сделать» задание по алгебре к упражнению №112 (с. 178), авторов: Арефьева (Ирина Глебовна), Пирютко (Ольга Николаевна), учебного пособия издательства Народная асвета.