Номер 160, страница 185 - гдз по алгебре 11 класс учебник Арефьева, Пирютко

Алгебра, 11 класс Учебник, авторы: Арефьева Ирина Глебовна, Пирютко Ольга Николаевна, издательство Народная асвета, Минск, 2020, бирюзового цвета

Авторы: Арефьева И. Г., Пирютко О. Н.

Тип: Учебник

Издательство: Народная асвета

Год издания: 2020 - 2025

Цвет обложки: бирюзовый, зелёный с графиком

ISBN: 978-985-03-3165-6

Популярные ГДЗ в 11 классе

Упражнения для итогового повторения. Выражения и их преобразования - номер 160, страница 185.

№160 (с. 185)
Условие. №160 (с. 185)
скриншот условия
Алгебра, 11 класс Учебник, авторы: Арефьева Ирина Глебовна, Пирютко Ольга Николаевна, издательство Народная асвета, Минск, 2020, бирюзового цвета, страница 185, номер 160, Условие

160. Сократите дробь:

a)

$\frac{a - 49}{a^{\frac{1}{2}} + 7}$;

б)

$\frac{a^{\frac{1}{12}} - b^{\frac{1}{12}}}{a^{\frac{1}{6}} - b^{\frac{1}{6}}}$;

В)

$\frac{x^{\frac{1}{3}} - 16}{x^{\frac{1}{3}} + 8x^{\frac{1}{6}} + 16}$;

Г)

$\frac{a^{\frac{1}{4}} - 2a^{\frac{1}{8}}b^{\frac{1}{8}} + b^{\frac{1}{4}}}{a^{\frac{3}{4}}b^{\frac{1}{4}} - a}$.

Решение. №160 (с. 185)
Алгебра, 11 класс Учебник, авторы: Арефьева Ирина Глебовна, Пирютко Ольга Николаевна, издательство Народная асвета, Минск, 2020, бирюзового цвета, страница 185, номер 160, Решение Алгебра, 11 класс Учебник, авторы: Арефьева Ирина Глебовна, Пирютко Ольга Николаевна, издательство Народная асвета, Минск, 2020, бирюзового цвета, страница 185, номер 160, Решение (продолжение 2)
Решение 2. №160 (с. 185)

а)Исходная дробь: $\frac{a - 49}{a^{\frac{1}{2}} + 7}$.
Для сокращения дроби необходимо разложить числитель и знаменатель на множители.
Заметим, что числитель $a - 49$ можно представить как разность квадратов, так как $a = (a^{\frac{1}{2}})^2$ и $49 = 7^2$.
Используем формулу разности квадратов $x^2 - y^2 = (x-y)(x+y)$:
$a - 49 = (a^{\frac{1}{2}})^2 - 7^2 = (a^{\frac{1}{2}} - 7)(a^{\frac{1}{2}} + 7)$.
Теперь подставим разложенный числитель обратно в дробь:
$\frac{(a^{\frac{1}{2}} - 7)(a^{\frac{1}{2}} + 7)}{a^{\frac{1}{2}} + 7}$.
Сократим общий множитель $(a^{\frac{1}{2}} + 7)$ в числителе и знаменателе (при условии $a \ge 0$, выражение $a^{\frac{1}{2}} + 7$ всегда больше нуля).
Получаем: $a^{\frac{1}{2}} - 7$.
Ответ: $a^{\frac{1}{2}} - 7$.

б)Исходная дробь: $\frac{a^{\frac{1}{12}} - b^{\frac{1}{12}}}{a^{\frac{1}{6}} - b^{\frac{1}{6}}}$.
Для сокращения дроби разложим знаменатель на множители.
Заметим, что $a^{\frac{1}{6}} = (a^{\frac{1}{12}})^2$ и $b^{\frac{1}{6}} = (b^{\frac{1}{12}})^2$. Таким образом, знаменатель является разностью квадратов.
Используем формулу разности квадратов $x^2 - y^2 = (x-y)(x+y)$:
$a^{\frac{1}{6}} - b^{\frac{1}{6}} = (a^{\frac{1}{12}})^2 - (b^{\frac{1}{12}})^2 = (a^{\frac{1}{12}} - b^{\frac{1}{12}})(a^{\frac{1}{12}} + b^{\frac{1}{12}})$.
Подставим разложенный знаменатель в дробь:
$\frac{a^{\frac{1}{12}} - b^{\frac{1}{12}}}{(a^{\frac{1}{12}} - b^{\frac{1}{12}})(a^{\frac{1}{12}} + b^{\frac{1}{12}})}$.
Сократим общий множитель $(a^{\frac{1}{12}} - b^{\frac{1}{12}})$ в числителе и знаменателе (при условии $a \neq b$).
Получаем: $\frac{1}{a^{\frac{1}{12}} + b^{\frac{1}{12}}}$.
Ответ: $\frac{1}{a^{\frac{1}{12}} + b^{\frac{1}{12}}}$.

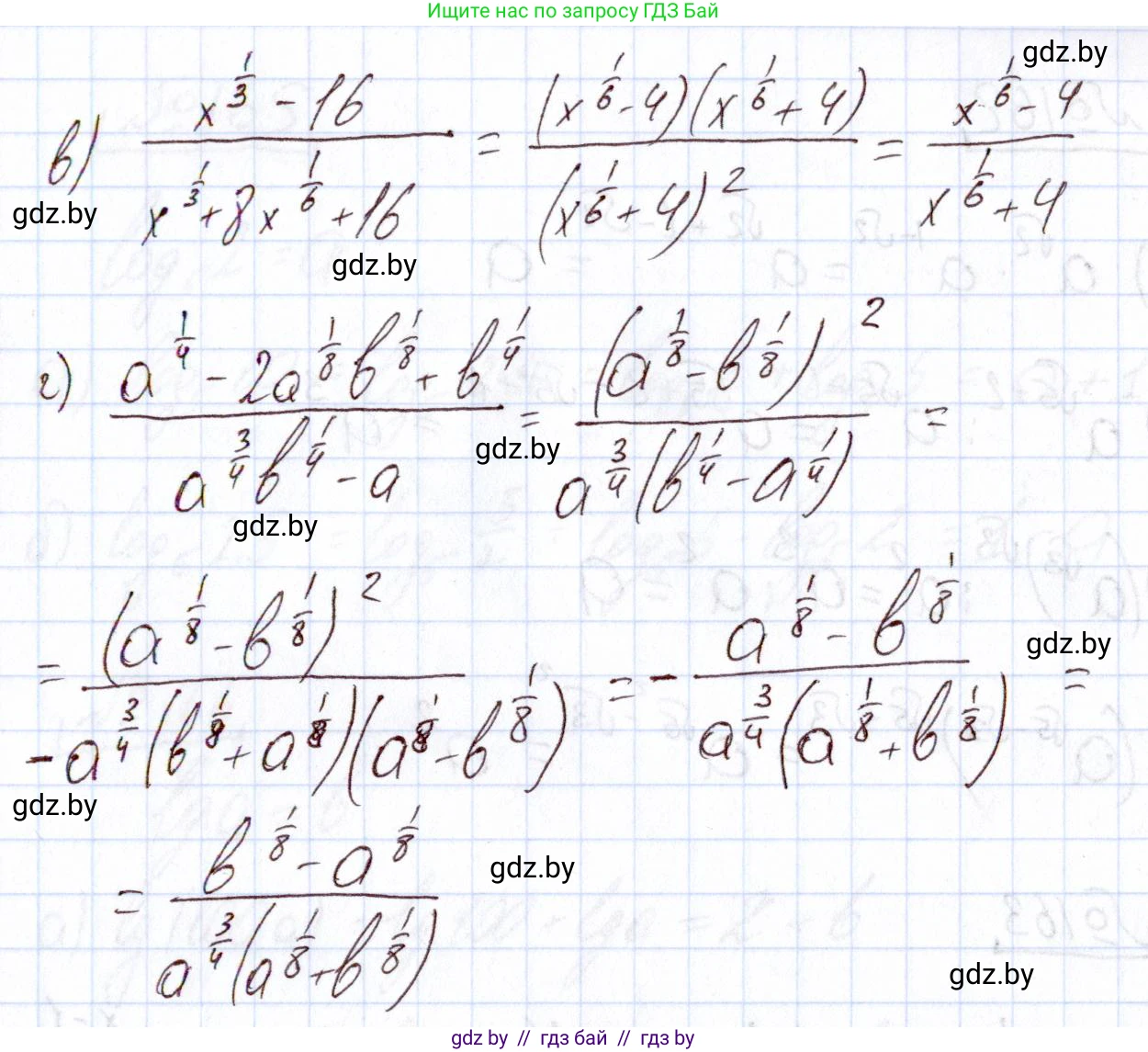
в)Исходная дробь: $\frac{x^{\frac{1}{3}} - 16}{x^{\frac{1}{3}} + 8x^{\frac{1}{6}} + 16}$.
Для упрощения введем замену. Пусть $y = x^{\frac{1}{6}}$. Тогда $y^2 = (x^{\frac{1}{6}})^2 = x^{\frac{2}{6}} = x^{\frac{1}{3}}$.
Подставим $y$ в исходное выражение:
$\frac{y^2 - 16}{y^2 + 8y + 16}$.
Теперь разложим на множители числитель и знаменатель.
Числитель является разностью квадратов: $y^2 - 16 = (y-4)(y+4)$.
Знаменатель является полным квадратом суммы: $y^2 + 8y + 16 = (y+4)^2$.
Подставим разложения в дробь:
$\frac{(y-4)(y+4)}{(y+4)^2}$.
Сократим общий множитель $(y+4)$:
$\frac{y-4}{y+4}$.
Сделаем обратную замену $y = x^{\frac{1}{6}}$:
$\frac{x^{\frac{1}{6}} - 4}{x^{\frac{1}{6}} + 4}$.
Ответ: $\frac{x^{\frac{1}{6}} - 4}{x^{\frac{1}{6}} + 4}$.

г)Исходная дробь: $\frac{a^{\frac{1}{4}} - 2a^{\frac{1}{8}}b^{\frac{1}{8}} + b^{\frac{1}{4}}}{a^{\frac{3}{4}}b^{\frac{1}{4}} - a}$.
Разложим на множители числитель и знаменатель.
Числитель представляет собой полный квадрат разности. Пусть $x = a^{\frac{1}{8}}$ и $y = b^{\frac{1}{8}}$. Тогда $x^2=a^{\frac{1}{4}}$ и $y^2=b^{\frac{1}{4}}$.
Числитель: $x^2 - 2xy + y^2 = (x-y)^2 = (a^{\frac{1}{8}} - b^{\frac{1}{8}})^2$.
Теперь рассмотрим знаменатель: $a^{\frac{3}{4}}b^{\frac{1}{4}} - a$.
Вынесем за скобки общий множитель $a^{\frac{3}{4}}$:
$a^{\frac{3}{4}}b^{\frac{1}{4}} - a^1 = a^{\frac{3}{4}}(b^{\frac{1}{4}} - a^{1 - \frac{3}{4}}) = a^{\frac{3}{4}}(b^{\frac{1}{4}} - a^{\frac{1}{4}})$.
Выражение в скобках является разностью квадратов: $b^{\frac{1}{4}} - a^{\frac{1}{4}} = (b^{\frac{1}{8}})^2 - (a^{\frac{1}{8}})^2 = (b^{\frac{1}{8}} - a^{\frac{1}{8}})(b^{\frac{1}{8}} + a^{\frac{1}{8}})$.
Знаменатель равен: $a^{\frac{3}{4}}(b^{\frac{1}{8}} - a^{\frac{1}{8}})(b^{\frac{1}{8}} + a^{\frac{1}{8}})$.
Вынесем знак минус из скобки $(b^{\frac{1}{8}} - a^{\frac{1}{8}})$: $-(a^{\frac{1}{8}} - b^{\frac{1}{8}})$.
Знаменатель: $-a^{\frac{3}{4}}(a^{\frac{1}{8}} - b^{\frac{1}{8}})(a^{\frac{1}{8}} + b^{\frac{1}{8}})$.
Теперь запишем всю дробь:
$\frac{(a^{\frac{1}{8}} - b^{\frac{1}{8}})^2}{-a^{\frac{3}{4}}(a^{\frac{1}{8}} - b^{\frac{1}{8}})(a^{\frac{1}{8}} + b^{\frac{1}{8}})}$.
Сократим общий множитель $(a^{\frac{1}{8}} - b^{\frac{1}{8}})$:
$\frac{a^{\frac{1}{8}} - b^{\frac{1}{8}}}{-a^{\frac{3}{4}}(a^{\frac{1}{8}} + b^{\frac{1}{8}})} = -\frac{a^{\frac{1}{8}} - b^{\frac{1}{8}}}{a^{\frac{3}{4}}(a^{\frac{1}{8}} + b^{\frac{1}{8}})} = \frac{b^{\frac{1}{8}} - a^{\frac{1}{8}}}{a^{\frac{3}{4}}(a^{\frac{1}{8}} + b^{\frac{1}{8}})}$.
Ответ: $\frac{b^{\frac{1}{8}} - a^{\frac{1}{8}}}{a^{\frac{3}{4}}(a^{\frac{1}{8}} + b^{\frac{1}{8}})}$.

Помогло решение? Оставьте отзыв в комментариях ниже.

Присоединяйтесь к Телеграм-группе @gdz_by_belarus

Присоединиться

Мы подготовили для вас ответ c подробным объяснением домашего задания по алгебре за 11 класс, для упражнения номер 160 расположенного на странице 185 к учебнику 2020 года издания для учащихся школ и гимназий.

Теперь на нашем сайте ГДЗ.ТОП вы всегда легко и бесплатно найдёте условие с правильным ответом на вопрос «Как решить ДЗ» и «Как сделать» задание по алгебре к упражнению №160 (с. 185), авторов: Арефьева (Ирина Глебовна), Пирютко (Ольга Николаевна), учебного пособия издательства Народная асвета.