Номер 398, страница 218 - гдз по алгебре 11 класс учебник Арефьева, Пирютко

Алгебра, 11 класс Учебник, авторы: Арефьева Ирина Глебовна, Пирютко Ольга Николаевна, издательство Народная асвета, Минск, 2020, бирюзового цвета

Авторы: Арефьева И. Г., Пирютко О. Н.

Тип: Учебник

Издательство: Народная асвета

Год издания: 2020 - 2025

Цвет обложки: бирюзовый, зелёный с графиком

ISBN: 978-985-03-3165-6

Популярные ГДЗ в 11 классе

Упражнения для итогового повторения. Функции и их свойства - номер 398, страница 218.

№398 (с. 218)
Условие. №398 (с. 218)
скриншот условия
Алгебра, 11 класс Учебник, авторы: Арефьева Ирина Глебовна, Пирютко Ольга Николаевна, издательство Народная асвета, Минск, 2020, бирюзового цвета, страница 218, номер 398, Условие

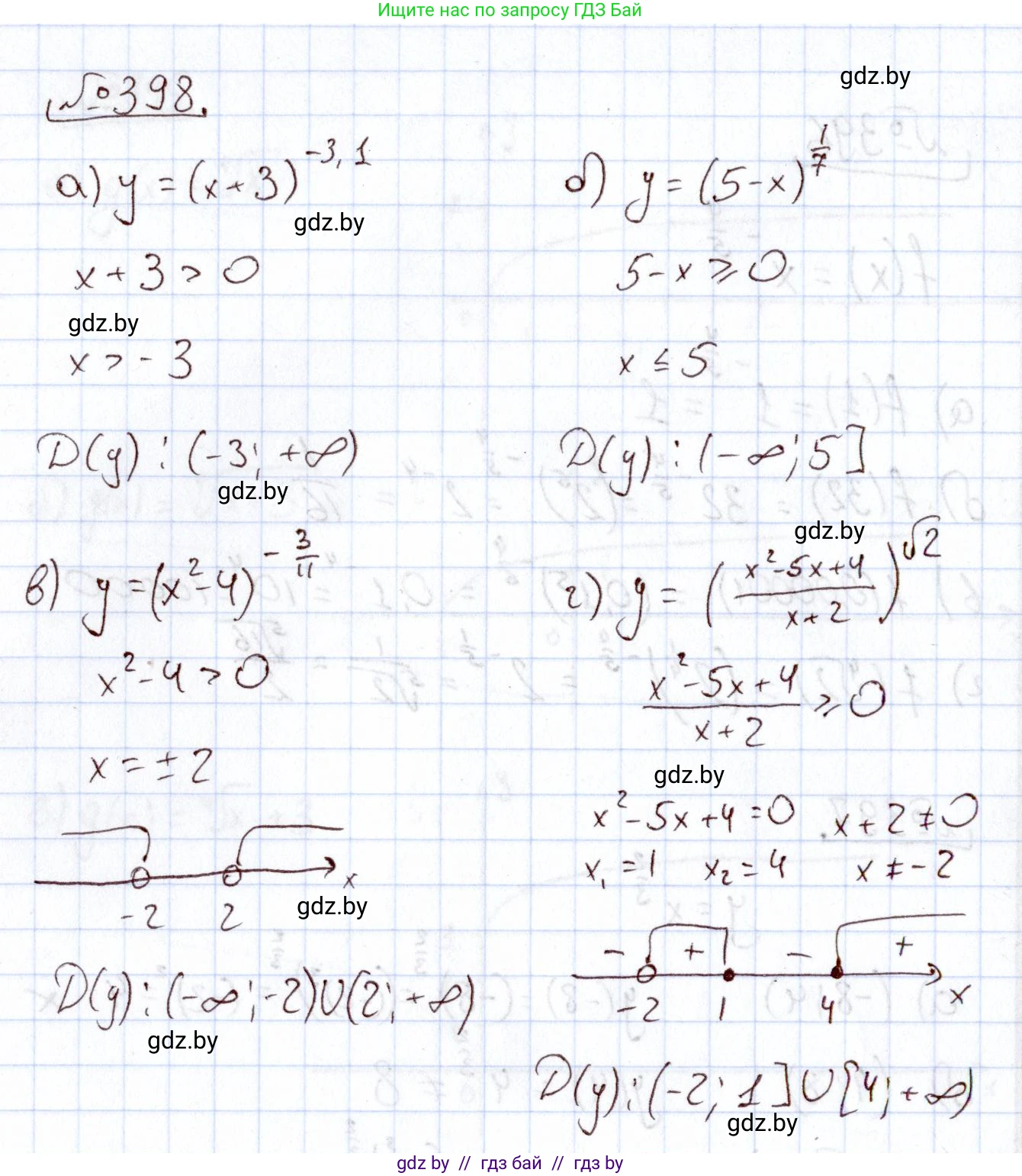
398. Найдите область определения функции:

а) $y = (x + 3)^{-3.1}$;

б) $y = (5 - x)^{\frac{1}{7}};

В) $y = (x^2 - 4)^{\frac{3}{11}};

Г) $y = \left(\frac{x^2 - 5x + 4}{x + 2}\right)^{\sqrt{2}}.$

Решение. №398 (с. 218)
Алгебра, 11 класс Учебник, авторы: Арефьева Ирина Глебовна, Пирютко Ольга Николаевна, издательство Народная асвета, Минск, 2020, бирюзового цвета, страница 218, номер 398, Решение
Решение 2. №398 (с. 218)

а) $y = (x + 3)^{-3,1}$

Область определения степенной функции $y = (f(x))^a$ зависит от показателя степени $a$.

В данном случае показатель степени $a = -3,1$ является действительным числом, не являющимся целым. Для таких функций по определению основание степени должно быть строго положительным.

Следовательно, мы должны решить неравенство: $x + 3 > 0$

$x > -3$

Таким образом, область определения функции – это все значения $x$, большие -3.

Ответ: $x \in (-3; +\infty)$.

б) $y = (5 - x)^{\frac{1}{7}}$

Функцию можно представить в виде корня нечетной степени: $y = \sqrt[7]{5 - x}$.

Корень нечетной степени определен для любого действительного значения подкоренного выражения.

Выражение $5 - x$ является многочленом и определено для всех действительных чисел $x$.

Следовательно, область определения функции – это множество всех действительных чисел.

Ответ: $x \in (-\infty; +\infty)$.

в) $y = (x^2 - 4)^{-\frac{3}{11}}$

Показатель степени $a = -\frac{3}{11}$ является отрицательным рациональным числом. Функцию можно записать в виде: $y = \frac{1}{(x^2 - 4)^{\frac{3}{11}}} = \frac{1}{\sqrt[11]{(x^2 - 4)^3}}$

Так как корень в знаменателе имеет нечетный показатель (11), подкоренное выражение $(x^2 - 4)^3$ может быть любым действительным числом. Однако, поскольку выражение находится в знаменателе, оно не может быть равно нулю.

$\sqrt[11]{(x^2 - 4)^3} \neq 0$

Это равносильно тому, что основание степени не равно нулю: $x^2 - 4 \neq 0$

$x^2 \neq 4$

$x \neq \pm 2$

Область определения – это все действительные числа, кроме -2 и 2.

Ответ: $x \in (-\infty; -2) \cup (-2; 2) \cup (2; +\infty)$.

г) $y = \left(\frac{x^2 - 5x + 4}{x + 2}\right)^{\sqrt{2}}$

Показатель степени $a = \sqrt{2}$ является иррациональным числом. В этом случае основание степени должно быть строго положительным.

Необходимо решить неравенство: $\frac{x^2 - 5x + 4}{x + 2} > 0$

Найдем корни числителя и знаменателя. Числитель: $x^2 - 5x + 4 = 0$. По теореме Виета корни $x_1 = 1$ и $x_2 = 4$. Знаменатель: $x + 2 = 0$, корень $x_3 = -2$.

Таким образом, неравенство можно переписать в виде: $\frac{(x - 1)(x - 4)}{x + 2} > 0$

Решим это неравенство методом интервалов. Нанесем на числовую ось точки -2, 1, 4, которые разбивают ее на четыре интервала: $(-\infty; -2)$, $(-2; 1)$, $(1; 4)$ и $(4; +\infty)$.

- При $x \in (4; +\infty)$, например $x=5$: $\frac{(+)(+)}{(+)} > 0$. Интервал подходит.

- При $x \in (1; 4)$, например $x=2$: $\frac{(+)(-)}{(+)} < 0$. Интервал не подходит.

- При $x \in (-2; 1)$, например $x=0$: $\frac{(-)(-)}{(+)} > 0$. Интервал подходит.

- При $x \in (-\infty; -2)$, например $x=-3$: $\frac{(-)(-)}{(-)} < 0$. Интервал не подходит.

Объединяя подходящие интервалы, получаем область определения.

Ответ: $x \in (-2; 1) \cup (4; +\infty)$.

Помогло решение? Оставьте отзыв в комментариях ниже.

Присоединяйтесь к Телеграм-группе @gdz_by_belarus

Присоединиться

Мы подготовили для вас ответ c подробным объяснением домашего задания по алгебре за 11 класс, для упражнения номер 398 расположенного на странице 218 к учебнику 2020 года издания для учащихся школ и гимназий.

Теперь на нашем сайте ГДЗ.ТОП вы всегда легко и бесплатно найдёте условие с правильным ответом на вопрос «Как решить ДЗ» и «Как сделать» задание по алгебре к упражнению №398 (с. 218), авторов: Арефьева (Ирина Глебовна), Пирютко (Ольга Николаевна), учебного пособия издательства Народная асвета.