Номер 407, страница 219 - гдз по алгебре 11 класс учебник Арефьева, Пирютко

Алгебра, 11 класс Учебник, авторы: Арефьева Ирина Глебовна, Пирютко Ольга Николаевна, издательство Народная асвета, Минск, 2020, бирюзового цвета

Авторы: Арефьева И. Г., Пирютко О. Н.

Тип: Учебник

Издательство: Народная асвета

Год издания: 2020 - 2025

Цвет обложки: бирюзовый, зелёный с графиком

ISBN: 978-985-03-3165-6

Популярные ГДЗ в 11 классе

Упражнения для итогового повторения. Функции и их свойства - номер 407, страница 219.

№407 (с. 219)
Условие. №407 (с. 219)
скриншот условия
Алгебра, 11 класс Учебник, авторы: Арефьева Ирина Глебовна, Пирютко Ольга Николаевна, издательство Народная асвета, Минск, 2020, бирюзового цвета, страница 219, номер 407, Условие

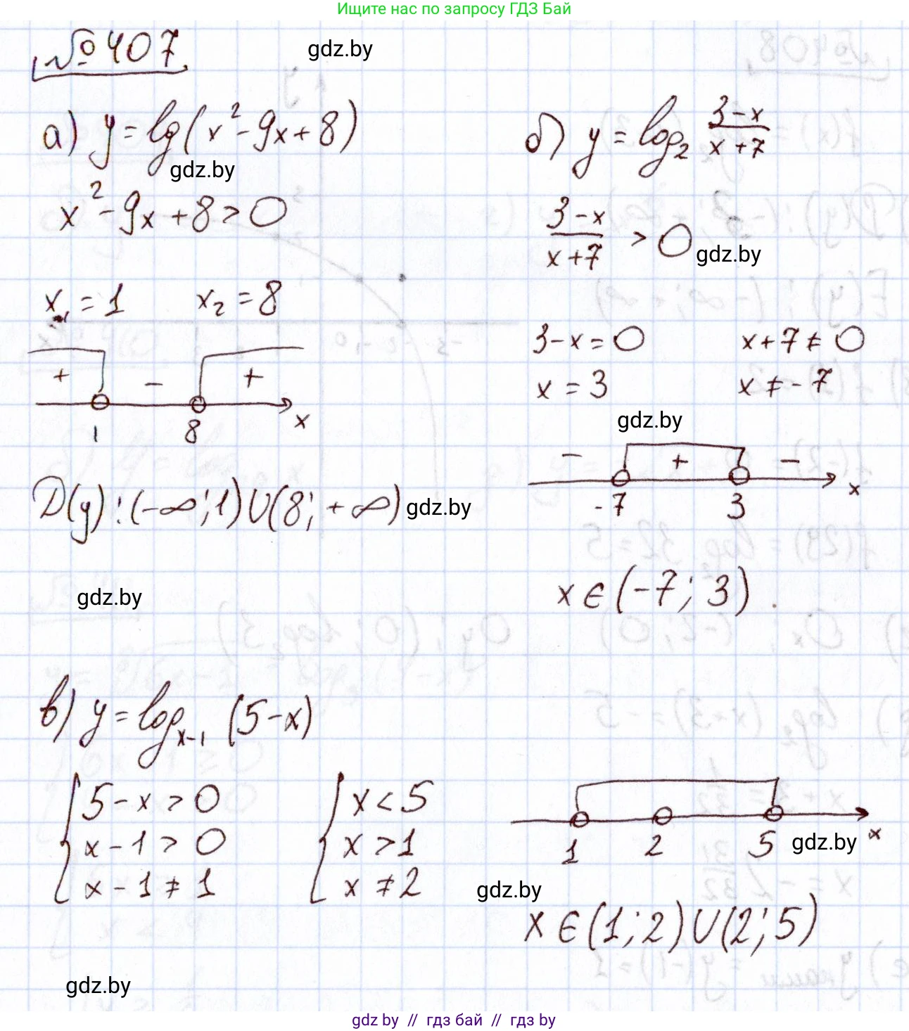
407. Найдите область определения функции:

а) $y = \lg(x^2 - 9x + 8);$

б) $y = \log_2 \frac{3-x}{x+7};$

в) $y = \log_{x-1} (5-x);$

г) $y = \log_{7-x} (x^2 - 4).$

Решение. №407 (с. 219)
Алгебра, 11 класс Учебник, авторы: Арефьева Ирина Глебовна, Пирютко Ольга Николаевна, издательство Народная асвета, Минск, 2020, бирюзового цвета, страница 219, номер 407, Решение Алгебра, 11 класс Учебник, авторы: Арефьева Ирина Глебовна, Пирютко Ольга Николаевна, издательство Народная асвета, Минск, 2020, бирюзового цвета, страница 219, номер 407, Решение (продолжение 2)
Решение 2. №407 (с. 219)

а) $y = \lg(x^2 - 9x + 8)$

Область определения логарифмической функции $y = \log_a(f(x))$ задается условием, что аргумент логарифма должен быть строго положительным: $f(x) > 0$. В данном случае основание десятичного логарифма равно 10, что удовлетворяет условиям ($10 > 0$ и $10 \neq 1$).

Следовательно, необходимо решить неравенство:

$x^2 - 9x + 8 > 0$

Сначала найдем корни соответствующего квадратного уравнения $x^2 - 9x + 8 = 0$. По теореме Виета, сумма корней равна 9, а их произведение равно 8. Таким образом, корни уравнения: $x_1 = 1$ и $x_2 = 8$.

Графиком функции $y = x^2 - 9x + 8$ является парабола, ветви которой направлены вверх (так как коэффициент при $x^2$ положителен). Значения функции положительны вне интервала между корнями.

Таким образом, решение неравенства: $x < 1$ или $x > 8$. В виде интервала это записывается как $(-\infty; 1) \cup (8; +\infty)$.

Ответ: $(-\infty; 1) \cup (8; +\infty)$.

б) $y = \log_2\frac{3 - x}{x + 7}$

Основание логарифма равно 2, что является допустимым значением ($2 > 0$ и $2 \neq 1$). Область определения функции определяется условием положительности аргумента логарифма:

$\frac{3 - x}{x + 7} > 0$

Для решения этого рационального неравенства используем метод интервалов. Найдем точки, в которых числитель или знаменатель обращаются в ноль:

Нуль числителя: $3 - x = 0 \implies x = 3$.

Нуль знаменателя: $x + 7 = 0 \implies x = -7$.

Эти точки разбивают числовую ось на три интервала: $(-\infty; -7)$, $(-7; 3)$ и $(3; +\infty)$. Определим знак выражения в каждом интервале:

  • При $x \in (-\infty; -7)$ (например, $x = -8$): $\frac{3 - (-8)}{-8 + 7} = \frac{11}{-1} < 0$.
  • При $x \in (-7; 3)$ (например, $x = 0$): $\frac{3 - 0}{0 + 7} = \frac{3}{7} > 0$.
  • При $x \in (3; +\infty)$ (например, $x = 4$): $\frac{3 - 4}{4 + 7} = \frac{-1}{11} < 0$.

Неравенство выполняется на интервале, где выражение положительно.

Ответ: $(-7; 3)$.

в) $y = \log_{x - 1}(5 - x)$

Для функции вида $y = \log_{g(x)}(f(x))$ область определения задается системой из трех условий:

  1. Аргумент должен быть положительным: $f(x) > 0$.
  2. Основание должно быть положительным: $g(x) > 0$.
  3. Основание не должно быть равно единице: $g(x) \neq 1$.

Применительно к данной функции, получаем систему:

$\begin{cases} 5 - x > 0 \\ x - 1 > 0 \\ x - 1 \neq 1 \end{cases}$

Решим каждое неравенство в системе:

$\begin{cases} x < 5 \\ x > 1 \\ x \neq 2 \end{cases}$

Объединяя эти условия, получаем, что $x$ должен быть в интервале от 1 до 5, за исключением точки 2. Это можно записать в виде объединения двух интервалов.

Ответ: $(1; 2) \cup (2; 5)$.

г) $y = \log_{7 - x}(x^2 - 4)$

Как и в предыдущем задании, область определения находится из системы условий для основания и аргумента логарифма:

$\begin{cases} x^2 - 4 > 0 \\ 7 - x > 0 \\ 7 - x \neq 1 \end{cases}$

Рассмотрим каждое условие по отдельности:

1) $x^2 - 4 > 0 \implies (x - 2)(x + 2) > 0$. Решением этого неравенства является объединение интервалов $x \in (-\infty; -2) \cup (2; +\infty)$.

2) $7 - x > 0 \implies x < 7$. Решением является интервал $x \in (-\infty; 7)$.

3) $7 - x \neq 1 \implies x \neq 6$.

Теперь найдем пересечение всех полученных решений. Пересечение множеств $(-\infty; -2) \cup (2; +\infty)$ и $(-\infty; 7)$ дает нам $(-\infty; -2) \cup (2; 7)$. Из этого результата необходимо исключить точку $x=6$.

Ответ: $(-\infty; -2) \cup (2; 6) \cup (6; 7)$.

Помогло решение? Оставьте отзыв в комментариях ниже.

Присоединяйтесь к Телеграм-группе @gdz_by_belarus

Присоединиться

Мы подготовили для вас ответ c подробным объяснением домашего задания по алгебре за 11 класс, для упражнения номер 407 расположенного на странице 219 к учебнику 2020 года издания для учащихся школ и гимназий.

Теперь на нашем сайте ГДЗ.ТОП вы всегда легко и бесплатно найдёте условие с правильным ответом на вопрос «Как решить ДЗ» и «Как сделать» задание по алгебре к упражнению №407 (с. 219), авторов: Арефьева (Ирина Глебовна), Пирютко (Ольга Николаевна), учебного пособия издательства Народная асвета.