Номер 408, страница 220 - гдз по алгебре 11 класс учебник Арефьева, Пирютко

Алгебра, 11 класс Учебник, авторы: Арефьева Ирина Глебовна, Пирютко Ольга Николаевна, издательство Народная асвета, Минск, 2020, бирюзового цвета

Авторы: Арефьева И. Г., Пирютко О. Н.

Тип: Учебник

Издательство: Народная асвета

Год издания: 2020 - 2025

Цвет обложки: бирюзовый, зелёный с графиком

ISBN: 978-985-03-3165-6

Популярные ГДЗ в 11 классе

Упражнения для итогового повторения. Функции и их свойства - номер 408, страница 220.

№408 (с. 220)
Условие. №408 (с. 220)
скриншот условия
Алгебра, 11 класс Учебник, авторы: Арефьева Ирина Глебовна, Пирютко Ольга Николаевна, издательство Народная асвета, Минск, 2020, бирюзового цвета, страница 220, номер 408, Условие

408. Функция задана формулой $f(x) = \log_2(x + 3)$.

а) Найдите область определения и множество значений функции.

б) Постройте график данной функции.

в) Найдите $f(1)$; $f(-2)$; $f(29)$.

г) Определите, в каких точках график функции $y = f(x)$ пересекает ось абсцисс; ось ординат.

д) Найдите абсциссу точки пересечения графика данной функции и прямой $y = -5$.

е) Найдите наименьшее и наибольшее значения данной функции на отрезке $[-1; 5]$.

ж) Найдите корень уравнения $f(x) = 3$.

з) Решите неравенство $f(x) < -2$.

Решение. №408 (с. 220)
Алгебра, 11 класс Учебник, авторы: Арефьева Ирина Глебовна, Пирютко Ольга Николаевна, издательство Народная асвета, Минск, 2020, бирюзового цвета, страница 220, номер 408, Решение Алгебра, 11 класс Учебник, авторы: Арефьева Ирина Глебовна, Пирютко Ольга Николаевна, издательство Народная асвета, Минск, 2020, бирюзового цвета, страница 220, номер 408, Решение (продолжение 2)
Решение 2. №408 (с. 220)

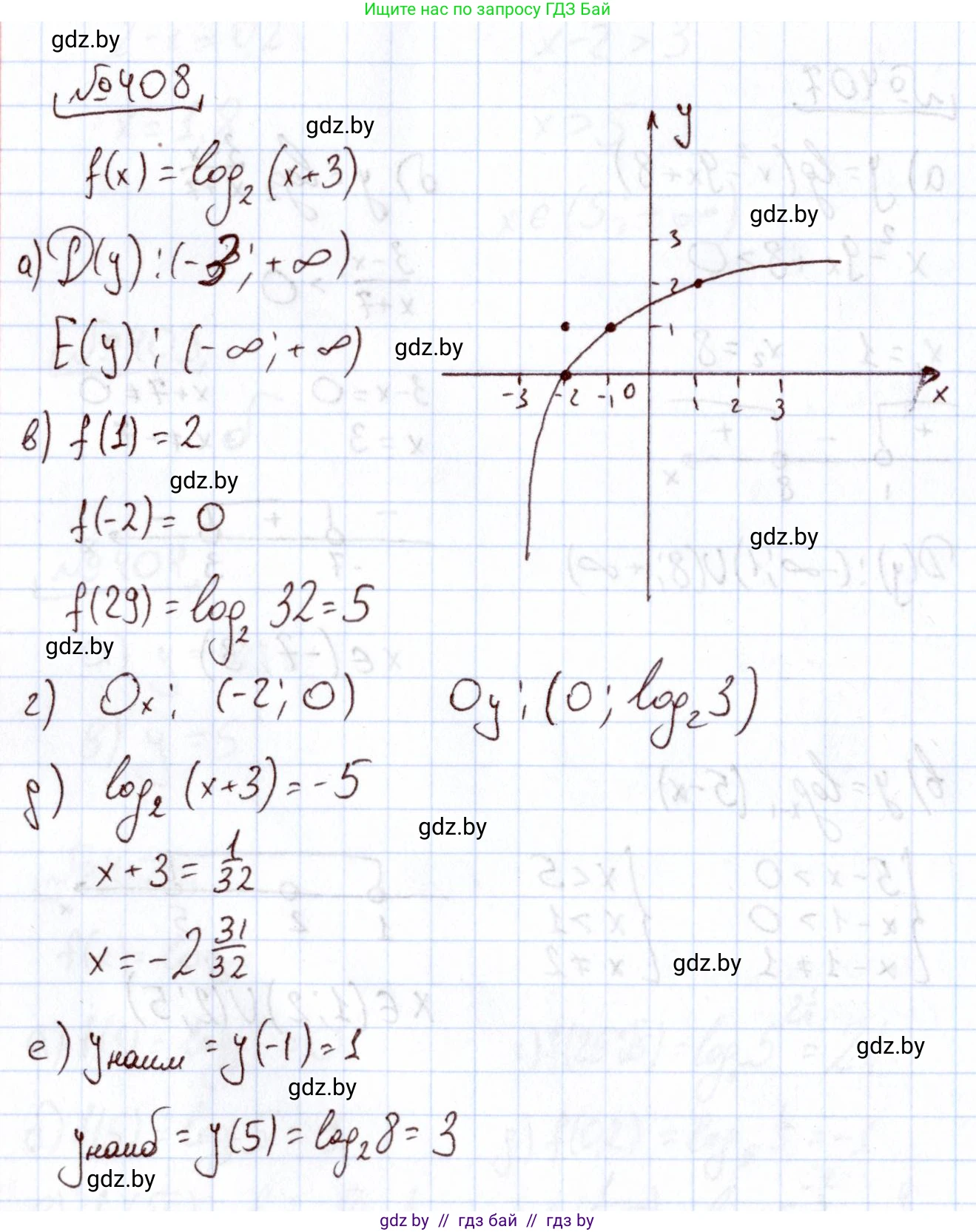
а) Область определения функции (ОДЗ) находится из условия, что аргумент логарифма должен быть строго положительным: $x + 3 > 0$, откуда следует $x > -3$. Таким образом, область определения функции $D(f) = (-3; +\infty)$. Множеством значений логарифмической функции является множество всех действительных чисел. Таким образом, множество значений функции $E(f) = (-\infty; +\infty)$.
Ответ: область определения $D(f) = (-3; +\infty)$; множество значений $E(f) = (-\infty; +\infty)$.

б) График функции $f(x) = \log_2(x+3)$ получается из графика базовой функции $y = \log_2(x)$ путем сдвига (параллельного переноса) на 3 единицы влево вдоль оси абсцисс (Ox). Вертикальной асимптотой для графика $f(x)$ является прямая $x = -3$. Для построения графика найдем несколько ключевых точек:

  • При $x = -2$, $y = \log_2(-2+3) = \log_2(1) = 0$. Точка $(-2, 0)$.
  • При $x = -1$, $y = \log_2(-1+3) = \log_2(2) = 1$. Точка $(-1, 1)$.
  • При $x = 1$, $y = \log_2(1+3) = \log_2(4) = 2$. Точка $(1, 2)$.
  • При $x = 5$, $y = \log_2(5+3) = \log_2(8) = 3$. Точка $(5, 3)$.

График представляет собой возрастающую кривую, проходящую через указанные точки и асимптотически приближающуюся к прямой $x = -3$.
Ответ: График функции является логарифмической кривой, полученной сдвигом графика $y=\log_2(x)$ на 3 единицы влево, с вертикальной асимптотой $x=-3$.

в) Для нахождения значений функции подставим соответствующие значения аргумента $x$ в формулу $f(x) = \log_2(x+3)$:
$f(1) = \log_2(1+3) = \log_2(4) = 2$.
$f(-2) = \log_2(-2+3) = \log_2(1) = 0$.
$f(29) = \log_2(29+3) = \log_2(32) = \log_2(2^5) = 5$.
Ответ: $f(1)=2$; $f(-2)=0$; $f(29)=5$.

г) Пересечение с осью абсцисс (Ox) происходит в точке, где $y = f(x) = 0$.
$\log_2(x+3) = 0$
По определению логарифма: $x+3 = 2^0$
$x+3 = 1$
$x = -2$.
Следовательно, точка пересечения с осью абсцисс: $(-2, 0)$.
Пересечение с осью ординат (Oy) происходит в точке, где $x = 0$.
$y = f(0) = \log_2(0+3) = \log_2(3)$.
Следовательно, точка пересечения с осью ординат: $(0, \log_2(3))$.
Ответ: с осью абсцисс в точке $(-2, 0)$; с осью ординат в точке $(0, \log_2(3))$.

д) Чтобы найти абсциссу точки пересечения графика функции $f(x)$ и прямой $y=-5$, необходимо решить уравнение $f(x) = -5$.
$\log_2(x+3) = -5$
По определению логарифма: $x+3 = 2^{-5}$
$x+3 = \frac{1}{32}$
$x = \frac{1}{32} - 3 = \frac{1}{32} - \frac{96}{32} = -\frac{95}{32}$.
Ответ: $x = -\frac{95}{32}$.

е) Функция $f(x) = \log_2(x+3)$ является строго возрастающей на всей своей области определения $(-3; +\infty)$, так как основание логарифма $2 > 1$. На отрезке $[-1; 5]$ функция также возрастает. Следовательно, наименьшее значение достигается в левой границе отрезка, а наибольшее — в правой.
Наименьшее значение: $f_{наим} = f(-1) = \log_2(-1+3) = \log_2(2) = 1$.
Наибольшее значение: $f_{наиб} = f(5) = \log_2(5+3) = \log_2(8) = 3$.
Ответ: наименьшее значение функции на отрезке равно 1, наибольшее равно 3.

ж) Для нахождения корня уравнения $f(x) = 3$, решим его:
$\log_2(x+3) = 3$
По определению логарифма: $x+3 = 2^3$
$x+3 = 8$
$x = 5$.
Ответ: $x=5$.

з) Решим неравенство $f(x) < -2$.
$\log_2(x+3) < -2$
Сначала учтем область определения функции: $x > -3$.
Представим правую часть неравенства в виде логарифма по основанию 2: $-2 = -2 \cdot 1 = -2 \cdot \log_2(2) = \log_2(2^{-2}) = \log_2(\frac{1}{4})$.
$\log_2(x+3) < \log_2(\frac{1}{4})$
Так как основание логарифма $2 > 1$, то при переходе от логарифмов к их аргументам знак неравенства сохраняется:
$x+3 < \frac{1}{4}$
$x < \frac{1}{4} - 3$
$x < -\frac{11}{4}$.
Теперь объединим полученное решение с областью определения: $\begin{cases} x < -\frac{11}{4} \\ x > -3 \end{cases}$.
Это соответствует интервалу $-3 < x < -\frac{11}{4}$.
Ответ: $x \in (-3; -2.75)$ или $x \in (-3; -\frac{11}{4})$.

Помогло решение? Оставьте отзыв в комментариях ниже.

Присоединяйтесь к Телеграм-группе @gdz_by_belarus

Присоединиться

Мы подготовили для вас ответ c подробным объяснением домашего задания по алгебре за 11 класс, для упражнения номер 408 расположенного на странице 220 к учебнику 2020 года издания для учащихся школ и гимназий.

Теперь на нашем сайте ГДЗ.ТОП вы всегда легко и бесплатно найдёте условие с правильным ответом на вопрос «Как решить ДЗ» и «Как сделать» задание по алгебре к упражнению №408 (с. 220), авторов: Арефьева (Ирина Глебовна), Пирютко (Ольга Николаевна), учебного пособия издательства Народная асвета.