Номер 448, страница 226 - гдз по алгебре 11 класс учебник Арефьева, Пирютко

Алгебра, 11 класс Учебник, авторы: Арефьева Ирина Глебовна, Пирютко Ольга Николаевна, издательство Народная асвета, Минск, 2020, бирюзового цвета

Авторы: Арефьева И. Г., Пирютко О. Н.

Тип: Учебник

Издательство: Народная асвета

Год издания: 2020 - 2025

Цвет обложки: бирюзовый, зелёный с графиком

ISBN: 978-985-03-3165-6

Популярные ГДЗ в 11 классе

Упражнения для итогового повторения. Функции и их свойства - номер 448, страница 226.

№448 (с. 226)
Условие. №448 (с. 226)
скриншот условия
Алгебра, 11 класс Учебник, авторы: Арефьева Ирина Глебовна, Пирютко Ольга Николаевна, издательство Народная асвета, Минск, 2020, бирюзового цвета, страница 226, номер 448, Условие

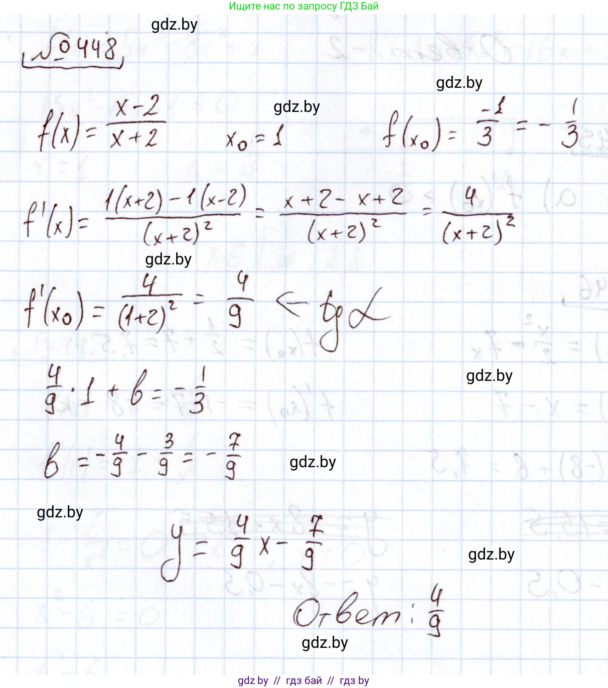
448. Найдите тангенс угла, образованного касательной к графику функции $f(x)=\frac{x-2}{x+2}$ в точке с абсциссой $x_0=1$ и осью абсцисс.

Решение. №448 (с. 226)
Алгебра, 11 класс Учебник, авторы: Арефьева Ирина Глебовна, Пирютко Ольга Николаевна, издательство Народная асвета, Минск, 2020, бирюзового цвета, страница 226, номер 448, Решение
Решение 2. №448 (с. 226)

Тангенс угла, образованного касательной к графику функции и осью абсцисс, равен значению производной этой функции в точке касания. Это следует из геометрического смысла производной. Таким образом, нам нужно найти $f'(x_0)$.

Дана функция $f(x) = \frac{x-2}{x+2}$ и точка с абсциссой $x_0 = 1$.

1. Сначала найдем производную функции $f(x)$. Для этого воспользуемся правилом дифференцирования частного двух функций: $(\frac{u}{v})' = \frac{u'v - uv'}{v^2}$.

В нашем случае $u(x) = x-2$ и $v(x) = x+2$. Их производные равны:$u'(x) = (x-2)' = 1$$v'(x) = (x+2)' = 1$

Теперь подставим эти значения в формулу производной частного:$f'(x) = \frac{(1)(x+2) - (x-2)(1)}{(x+2)^2}$

Раскроем скобки в числителе и упростим выражение:$f'(x) = \frac{x+2 - x + 2}{(x+2)^2} = \frac{4}{(x+2)^2}$

2. Теперь найдем значение производной в точке с абсциссой $x_0 = 1$:$f'(1) = \frac{4}{(1+2)^2} = \frac{4}{3^2} = \frac{4}{9}$

Следовательно, тангенс искомого угла равен $\frac{4}{9}$.

Ответ: $\frac{4}{9}$

Помогло решение? Оставьте отзыв в комментариях ниже.

Присоединяйтесь к Телеграм-группе @gdz_by_belarus

Присоединиться

Мы подготовили для вас ответ c подробным объяснением домашего задания по алгебре за 11 класс, для упражнения номер 448 расположенного на странице 226 к учебнику 2020 года издания для учащихся школ и гимназий.

Теперь на нашем сайте ГДЗ.ТОП вы всегда легко и бесплатно найдёте условие с правильным ответом на вопрос «Как решить ДЗ» и «Как сделать» задание по алгебре к упражнению №448 (с. 226), авторов: Арефьева (Ирина Глебовна), Пирютко (Ольга Николаевна), учебного пособия издательства Народная асвета.