Номер 460, страница 228 - гдз по алгебре 11 класс учебник Арефьева, Пирютко

Алгебра, 11 класс Учебник, авторы: Арефьева Ирина Глебовна, Пирютко Ольга Николаевна, издательство Народная асвета, Минск, 2020, бирюзового цвета

Авторы: Арефьева И. Г., Пирютко О. Н.

Тип: Учебник

Издательство: Народная асвета

Год издания: 2020 - 2025

Цвет обложки: бирюзовый, зелёный с графиком

ISBN: 978-985-03-3165-6

Популярные ГДЗ в 11 классе

Упражнения для итогового повторения. Функции и их свойства - номер 460, страница 228.

№460 (с. 228)
Условие. №460 (с. 228)
скриншот условия
Алгебра, 11 класс Учебник, авторы: Арефьева Ирина Глебовна, Пирютко Ольга Николаевна, издательство Народная асвета, Минск, 2020, бирюзового цвета, страница 228, номер 460, Условие

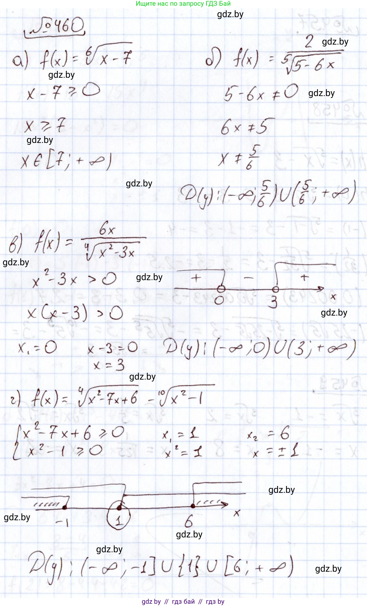
460. Найдите область определения функции:

a)

$f(x) = \sqrt[6]{x - 7}$

б)

$f(x) = \frac{2}{\sqrt[5]{5 - 6x}}$

в)

$f(x) = \frac{6x}{\sqrt[4]{x^2 - 3x}}$

г)

$f(x) = \sqrt[4]{x^2 - 7x + 6} - \sqrt[10]{x^2 - 1}$

Решение. №460 (с. 228)
Алгебра, 11 класс Учебник, авторы: Арефьева Ирина Глебовна, Пирютко Ольга Николаевна, издательство Народная асвета, Минск, 2020, бирюзового цвета, страница 228, номер 460, Решение
Решение 2. №460 (с. 228)

а) Область определения функции $f(x) = \sqrt[6]{x - 7}$ находится из условия, что выражение под корнем четной степени (в данном случае шестой) должно быть неотрицательным. Составим и решим неравенство:
$x - 7 \ge 0$
$x \ge 7$
Следовательно, область определения функции — это все значения $x$, большие или равные 7.
Ответ: $[7; +\infty)$.

б) В функции $f(x) = \frac{2}{\sqrt[5]{5 - 6x}}$ подкоренное выражение может быть любым действительным числом, так как корень нечетной степени (пятой). Однако, функция содержит дробь, знаменатель которой не может быть равен нулю. Поэтому необходимо выполнение условия:
$\sqrt[5]{5 - 6x} \ne 0$
Возведя обе части в пятую степень, получаем равносильное неравенство:
$5 - 6x \ne 0$
$6x \ne 5$
$x \ne \frac{5}{6}$
Таким образом, область определения — это все действительные числа, кроме $x = \frac{5}{6}$.
Ответ: $(-\infty; \frac{5}{6}) \cup (\frac{5}{6}; +\infty)$.

в) В функции $f(x) = \frac{6x}{\sqrt[4]{x^2 - 3x}}$ выражение под корнем четной степени (четвертой) должно быть неотрицательным. Кроме того, корень находится в знаменателе, поэтому он не может быть равен нулю. Объединяя эти два условия, получаем, что подкоренное выражение должно быть строго положительным:
$x^2 - 3x > 0$
Разложим левую часть на множители:
$x(x - 3) > 0$
Решим это неравенство методом интервалов. Корни соответствующего уравнения $x(x - 3) = 0$ равны $x_1 = 0$ и $x_2 = 3$. Эти точки разбивают числовую прямую на три интервала. Так как это парабола с ветвями вверх, она принимает положительные значения вне своих корней.
Неравенство выполняется при $x < 0$ или $x > 3$.
Ответ: $(-\infty; 0) \cup (3; +\infty)$.

г) Область определения функции $f(x) = \sqrt[4]{x^2 - 7x + 6} - \sqrt[10]{x^2 - 1}$ представляет собой пересечение областей определения двух функций, из которых она состоит. Так как оба корня (четвертой и десятой степени) являются корнями четной степени, подкоренные выражения для них должны быть неотрицательными. Это приводит к системе неравенств:
$\begin{cases} x^2 - 7x + 6 \ge 0 \\ x^2 - 1 \ge 0 \end{cases}$
1. Решим первое неравенство: $x^2 - 7x + 6 \ge 0$.
Найдем корни квадратного трехчлена $x^2 - 7x + 6 = 0$. По теореме Виета, корни $x_1 = 1$, $x_2 = 6$. Парабола $y=x^2 - 7x + 6$ имеет ветви вверх, поэтому неравенство выполняется на промежутках $x \in (-\infty; 1] \cup [6; +\infty)$.
2. Решим второе неравенство: $x^2 - 1 \ge 0$.
Разложим на множители: $(x-1)(x+1) \ge 0$. Корни $x_1 = -1$, $x_2 = 1$. Парабола $y=x^2-1$ имеет ветви вверх, поэтому неравенство выполняется на промежутках $x \in (-\infty; -1] \cup [1; +\infty)$.
3. Найдем пересечение полученных множеств решений: $((-\infty; 1] \cup [6; +\infty)) \cap ((-\infty; -1] \cup [1; +\infty))$.
На числовой оси это соответствует участкам, где оба решения верны. Это интервал $(-\infty; -1]$, изолированная точка $\{1\}$ (так как $x=1$ входит в оба решения) и интервал $[6; +\infty)$.
Ответ: $(-\infty; -1] \cup \{1\} \cup [6; +\infty)$.

Помогло решение? Оставьте отзыв в комментариях ниже.

Присоединяйтесь к Телеграм-группе @gdz_by_belarus

Присоединиться

Мы подготовили для вас ответ c подробным объяснением домашего задания по алгебре за 11 класс, для упражнения номер 460 расположенного на странице 228 к учебнику 2020 года издания для учащихся школ и гимназий.

Теперь на нашем сайте ГДЗ.ТОП вы всегда легко и бесплатно найдёте условие с правильным ответом на вопрос «Как решить ДЗ» и «Как сделать» задание по алгебре к упражнению №460 (с. 228), авторов: Арефьева (Ирина Глебовна), Пирютко (Ольга Николаевна), учебного пособия издательства Народная асвета.