Номер 471, страница 230 - гдз по алгебре 11 класс учебник Арефьева, Пирютко

Алгебра, 11 класс Учебник, авторы: Арефьева Ирина Глебовна, Пирютко Ольга Николаевна, издательство Народная асвета, Минск, 2020, бирюзового цвета

Авторы: Арефьева И. Г., Пирютко О. Н.

Тип: Учебник

Издательство: Народная асвета

Год издания: 2020 - 2025

Цвет обложки: бирюзовый, зелёный с графиком

ISBN: 978-985-03-3165-6

Популярные ГДЗ в 11 классе

Упражнения для итогового повторения. Функции и их свойства - номер 471, страница 230.

№471 (с. 230)
Условие. №471 (с. 230)
скриншот условия
Алгебра, 11 класс Учебник, авторы: Арефьева Ирина Глебовна, Пирютко Ольга Николаевна, издательство Народная асвета, Минск, 2020, бирюзового цвета, страница 230, номер 471, Условие

471. Найдите область определения функции:

а) $y = \text{lg}(x^2 + 6x)$;

б) $y = \log_2 \frac{x+5}{6-x}$;

в) $y = \log_{x+2} (7-x)$;

г) $y = \log_{3-x} (x^2 - 2x)$.

Решение. №471 (с. 230)
Алгебра, 11 класс Учебник, авторы: Арефьева Ирина Глебовна, Пирютко Ольга Николаевна, издательство Народная асвета, Минск, 2020, бирюзового цвета, страница 230, номер 471, Решение Алгебра, 11 класс Учебник, авторы: Арефьева Ирина Глебовна, Пирютко Ольга Николаевна, издательство Народная асвета, Минск, 2020, бирюзового цвета, страница 230, номер 471, Решение (продолжение 2)
Решение 2. №471 (с. 230)

а) $y = \lg(x^2 + 6x)$

Область определения логарифмической функции $y = \log_a f(x)$ находится из условия, что аргумент логарифма должен быть строго положительным: $f(x) > 0$. Основание десятичного логарифма равно 10, что удовлетворяет условиям $10 > 0$ и $10 \neq 1$.

Решим неравенство:

$x^2 + 6x > 0$

Вынесем $x$ за скобки:

$x(x + 6) > 0$

Корнями уравнения $x(x+6)=0$ являются $x_1 = 0$ и $x_2 = -6$. Графиком функции $f(x) = x^2 + 6x$ является парабола, ветви которой направлены вверх. Следовательно, значения функции положительны при $x$ левее меньшего корня и правее большего корня.

Таким образом, область определения функции: $x \in (-\infty; -6) \cup (0; +\infty)$.

Ответ: $(-\infty; -6) \cup (0; +\infty)$.

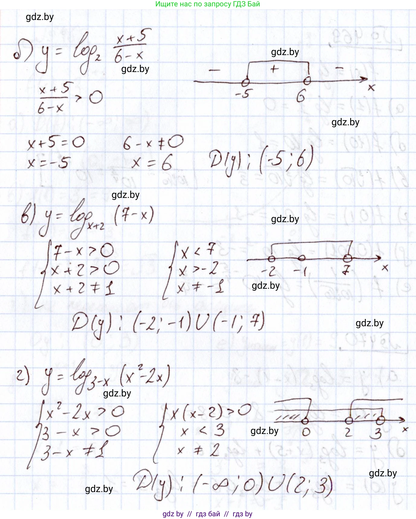
б) $y = \log_2 \frac{x+5}{6-x}$

Основание логарифма $a=2$ — положительное число, не равное 1. Область определения функции задается условием положительности ее аргумента:

$\frac{x+5}{6-x} > 0$

Для решения этого неравенства применим метод интервалов. Найдем точки, в которых числитель или знаменатель обращаются в ноль:

$x + 5 = 0 \implies x = -5$

$6 - x = 0 \implies x = 6$

Эти точки делят числовую ось на интервалы $(-\infty; -5)$, $(-5; 6)$ и $(6; +\infty)$. Определим знак дроби на каждом из интервалов. Так как при переходе через каждую точку знак множителя меняется, знаки дроби будут чередоваться. Найдем знак в крайнем правом интервале $(6; +\infty)$, взяв, например, $x=10$: $\frac{10+5}{6-10} = \frac{15}{-4} < 0$.

Двигаясь справа налево, знаки будут чередоваться: минус, плюс, минус. Нам нужен интервал, где дробь положительна. Это интервал $(-5; 6)$.

Ответ: $(-5; 6)$.

в) $y = \log_{x+2}(7-x)$

Область определения логарифмической функции с переменным основанием находится из системы условий:

$\begin{cases} 7 - x > 0 \quad \text{(аргумент больше нуля)} \\ x + 2 > 0 \quad \text{(основание больше нуля)} \\ x + 2 \neq 1 \quad \text{(основание не равно единице)} \end{cases}$

Решим каждое неравенство:

$7 - x > 0 \implies x < 7$

$x + 2 > 0 \implies x > -2$

$x + 2 \neq 1 \implies x \neq -1$

Найдем пересечение этих условий. Из первых двух неравенств получаем интервал $(-2; 7)$. Третье условие исключает из этого интервала точку $x = -1$.

В результате область определения функции состоит из двух интервалов: $(-2; -1) \cup (-1; 7)$.

Ответ: $(-2; -1) \cup (-1; 7)$.

г) $y = \log_{3-x}(x^2 - 2x)$

Область определения данной функции определяется системой условий:

$\begin{cases} x^2 - 2x > 0 \\ 3 - x > 0 \\ 3 - x \neq 1 \end{cases}$

Рассмотрим каждое условие по отдельности.

1. $x^2 - 2x > 0 \implies x(x - 2) > 0$. Корни $x=0$ и $x=2$. Это парабола с ветвями вверх, значит, неравенство выполняется на интервалах $(-\infty; 0) \cup (2; +\infty)$.

2. $3 - x > 0 \implies x < 3$.

3. $3 - x \neq 1 \implies x \neq 2$.

Теперь необходимо найти пересечение всех трех условий. Условие $x < 3$ пересекается с $(-\infty; 0) \cup (2; +\infty)$, давая в результате $(-\infty; 0) \cup (2; 3)$.

Условие $x \neq 2$ уже выполняется для найденного множества, так как точка $x=2$ не входит в интервал $(2; 3)$.

Следовательно, область определения функции: $(-\infty; 0) \cup (2; 3)$.

Ответ: $(-\infty; 0) \cup (2; 3)$.

Помогло решение? Оставьте отзыв в комментариях ниже.

Присоединяйтесь к Телеграм-группе @gdz_by_belarus

Присоединиться

Мы подготовили для вас ответ c подробным объяснением домашего задания по алгебре за 11 класс, для упражнения номер 471 расположенного на странице 230 к учебнику 2020 года издания для учащихся школ и гимназий.

Теперь на нашем сайте ГДЗ.ТОП вы всегда легко и бесплатно найдёте условие с правильным ответом на вопрос «Как решить ДЗ» и «Как сделать» задание по алгебре к упражнению №471 (с. 230), авторов: Арефьева (Ирина Глебовна), Пирютко (Ольга Николаевна), учебного пособия издательства Народная асвета.