Номер 472, страница 230 - гдз по алгебре 11 класс учебник Арефьева, Пирютко

Алгебра, 11 класс Учебник, авторы: Арефьева Ирина Глебовна, Пирютко Ольга Николаевна, издательство Народная асвета, Минск, 2020, бирюзового цвета

Авторы: Арефьева И. Г., Пирютко О. Н.

Тип: Учебник

Издательство: Народная асвета

Год издания: 2020 - 2025

Цвет обложки: бирюзовый, зелёный с графиком

ISBN: 978-985-03-3165-6

Популярные ГДЗ в 11 классе

Упражнения для итогового повторения. Функции и их свойства - номер 472, страница 230.

№472 (с. 230)
Условие. №472 (с. 230)
скриншот условия
Алгебра, 11 класс Учебник, авторы: Арефьева Ирина Глебовна, Пирютко Ольга Николаевна, издательство Народная асвета, Минск, 2020, бирюзового цвета, страница 230, номер 472, Условие

472. Функция задана формулой $f(x) = \log_3(x - 1)$.

а) Найдите область определения и множество значений функции.

б) Постройте график данной функции.

в) Найдите $f(2)$; $f(4)$; $f(28)$.

г) Определите, в какой точке график функции $y = f(x)$ пересекает ось абсцисс.

д) Найдите абсциссу точки пересечения графика данной функции и прямой $y = 2$.

е) Найдите наименьшее и наибольшее значения данной функции на отрезке $[2; 10]$.

ж) Найдите корень уравнения $f(x) = -3$.

з) Решите неравенство $f(x) \le 1$.

Решение. №472 (с. 230)
Алгебра, 11 класс Учебник, авторы: Арефьева Ирина Глебовна, Пирютко Ольга Николаевна, издательство Народная асвета, Минск, 2020, бирюзового цвета, страница 230, номер 472, Решение
Решение 2. №472 (с. 230)

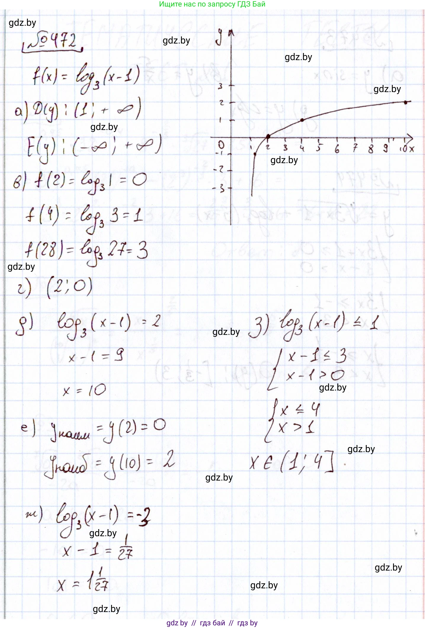
а) Для нахождения области определения функции $f(x) = \log_3(x-1)$ необходимо, чтобы аргумент логарифма был строго больше нуля: $x - 1 > 0$, откуда $x > 1$. Таким образом, область определения функции $D(f) = (1; +\infty)$. Множеством значений логарифмической функции является множество всех действительных чисел, поэтому $E(f) = (-\infty; +\infty)$. Ответ: Область определения: $(1; +\infty)$; множество значений: $(-\infty; +\infty)$.

б) График функции $f(x) = \log_3(x-1)$ получается из графика базовой логарифмической функции $y = \log_3(x)$ сдвигом на 1 единицу вправо вдоль оси Ox. Вертикальная асимптота графика смещается в $x = 1$. Ключевые точки графика: (2, 0), так как $f(2) = \log_3(1) = 0$; (4, 1), так как $f(4) = \log_3(3) = 1$; (10, 2), так как $f(10) = \log_3(9) = 2$. Функция возрастает на всей области определения. Ответ: График функции $f(x) = \log_3(x-1)$ — это логарифмическая кривая с вертикальной асимптотой $x=1$, проходящая через точки (2, 0), (4, 1) и возрастающая на всей области определения.

в) Для нахождения значений функции подставляем соответствующие значения аргумента $x$ в формулу $f(x) = \log_3(x-1)$.
$f(2) = \log_3(2-1) = \log_3(1) = 0$.
$f(4) = \log_3(4-1) = \log_3(3) = 1$.
$f(28) = \log_3(28-1) = \log_3(27) = \log_3(3^3) = 3$.
Ответ: $f(2) = 0$; $f(4) = 1$; $f(28) = 3$.

г) Точка пересечения графика с осью абсцисс (осью Ox) имеет ординату $y=0$. Решаем уравнение $f(x) = 0$:
$\log_3(x-1) = 0$
$x-1 = 3^0$
$x-1 = 1$
$x = 2$
Таким образом, точка пересечения имеет координаты (2, 0). Ответ: В точке (2, 0).

д) Для нахождения абсциссы точки пересечения графика функции и прямой $y=2$ необходимо решить уравнение $f(x) = 2$:
$\log_3(x-1) = 2$
$x-1 = 3^2$
$x-1 = 9$
$x = 10$
Ответ: Абсцисса точки пересечения равна 10.

е) Так как основание логарифма $3 > 1$, функция $f(x) = \log_3(x-1)$ является возрастающей на всей области определения. Следовательно, на отрезке $[2; 10]$ наименьшее значение достигается в левом конце отрезка, а наибольшее — в правом.
Наименьшее значение: $f_{наим} = f(2) = \log_3(2-1) = \log_3(1) = 0$.
Наибольшее значение: $f_{наиб} = f(10) = \log_3(10-1) = \log_3(9) = 2$.
Ответ: Наименьшее значение функции на отрезке $[2; 10]$ равно 0, а наибольшее значение равно 2.

ж) Для нахождения корня уравнения $f(x) = -3$ решим его:
$\log_3(x-1) = -3$
$x-1 = 3^{-3}$
$x-1 = \frac{1}{27}$
$x = 1 + \frac{1}{27} = \frac{28}{27}$
Ответ: Корень уравнения $x = \frac{28}{27}$.

з) Решим неравенство $f(x) \le 1$, то есть $\log_3(x-1) \le 1$. Во-первых, учтем область определения: $x-1 > 0 \Rightarrow x > 1$. Во-вторых, решим само неравенство. Так как основание логарифма $3 > 1$, функция возрастающая, и знак неравенства сохраняется:
$\log_3(x-1) \le \log_3(3)$
$x-1 \le 3$
$x \le 4$
Объединяя оба условия ($x>1$ и $x \le 4$), получаем решение $1 < x \le 4$. Ответ: $x \in (1; 4]$.

Помогло решение? Оставьте отзыв в комментариях ниже.

Присоединяйтесь к Телеграм-группе @gdz_by_belarus

Присоединиться

Мы подготовили для вас ответ c подробным объяснением домашего задания по алгебре за 11 класс, для упражнения номер 472 расположенного на странице 230 к учебнику 2020 года издания для учащихся школ и гимназий.

Теперь на нашем сайте ГДЗ.ТОП вы всегда легко и бесплатно найдёте условие с правильным ответом на вопрос «Как решить ДЗ» и «Как сделать» задание по алгебре к упражнению №472 (с. 230), авторов: Арефьева (Ирина Глебовна), Пирютко (Ольга Николаевна), учебного пособия издательства Народная асвета.