Номер 52, страница 172 - гдз по алгебре 11 класс учебник Арефьева, Пирютко

Алгебра, 11 класс Учебник, авторы: Арефьева Ирина Глебовна, Пирютко Ольга Николаевна, издательство Народная асвета, Минск, 2020, бирюзового цвета

Авторы: Арефьева И. Г., Пирютко О. Н.

Тип: Учебник

Издательство: Народная асвета

Год издания: 2020 - 2025

Цвет обложки: бирюзовый, зелёный с графиком

ISBN: 978-985-03-3165-6

Популярные ГДЗ в 11 классе

Упражнения для итогового повторения. Числа и вычисления - номер 52, страница 172.

№52 (с. 172)
Условие. №52 (с. 172)
скриншот условия
Алгебра, 11 класс Учебник, авторы: Арефьева Ирина Глебовна, Пирютко Ольга Николаевна, издательство Народная асвета, Минск, 2020, бирюзового цвета, страница 172, номер 52, Условие Алгебра, 11 класс Учебник, авторы: Арефьева Ирина Глебовна, Пирютко Ольга Николаевна, издательство Народная асвета, Минск, 2020, бирюзового цвета, страница 172, номер 52, Условие (продолжение 2)

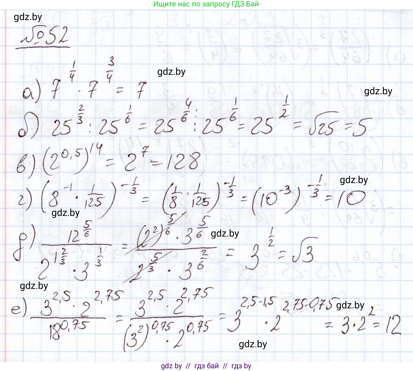
52. Воспользуйтесь свойствами степени с рациональным показателем и вычислите:

а) $7^{\frac{1}{4}} \cdot 7^{\frac{3}{4}};

б) $25^{\frac{2}{3}} : 25^{\frac{1}{6}};

в) $(2^{0,5})^{14};

г) $(8^{-1} \cdot \frac{1}{125})^{-\frac{1}{3}};

д) $\frac{12^6}{2^{\frac{1}{2}} \cdot 3^{\frac{1}{3}}};

е) $\frac{3^{2,5} \cdot 2^{2,75}}{18^{0,75}}.

Решение. №52 (с. 172)
Алгебра, 11 класс Учебник, авторы: Арефьева Ирина Глебовна, Пирютко Ольга Николаевна, издательство Народная асвета, Минск, 2020, бирюзового цвета, страница 172, номер 52, Решение
Решение 2. №52 (с. 172)

а) Для вычисления произведения $7^{\frac{1}{4}} \cdot 7^{\frac{3}{4}}$ воспользуемся свойством умножения степеней с одинаковым основанием: $a^m \cdot a^n = a^{m+n}$. В данном случае основание $a=7$, а показатели $m=\frac{1}{4}$ и $n=\frac{3}{4}$.

Складываем показатели степеней:

$7^{\frac{1}{4}} \cdot 7^{\frac{3}{4}} = 7^{\frac{1}{4} + \frac{3}{4}} = 7^{\frac{1+3}{4}} = 7^{\frac{4}{4}} = 7^1 = 7$.

Ответ: 7.

б) Для вычисления частного $25^{\frac{2}{3}} : 25^{\frac{1}{6}}$ применим свойство деления степеней с одинаковым основанием: $a^m : a^n = a^{m-n}$. Здесь основание $a=25$, показатели $m=\frac{2}{3}$ и $n=\frac{1}{6}$.

Вычитаем показатели, приведя их к общему знаменателю 6:

$25^{\frac{2}{3}} : 25^{\frac{1}{6}} = 25^{\frac{2}{3} - \frac{1}{6}} = 25^{\frac{4}{6} - \frac{1}{6}} = 25^{\frac{3}{6}} = 25^{\frac{1}{2}}$.

Степень с показателем $\frac{1}{2}$ эквивалентна квадратному корню:

$25^{\frac{1}{2}} = \sqrt{25} = 5$.

Ответ: 5.

в) Чтобы вычислить $(2^{0,5})^{14}$, используем свойство возведения степени в степень: $(a^m)^n = a^{m \cdot n}$. В этом примере $a=2$, $m=0,5$, $n=14$.

Перемножаем показатели:

$(2^{0,5})^{14} = 2^{0,5 \cdot 14} = 2^7$.

Вычисляем значение $2^7$:

$2^7 = 2 \cdot 2 \cdot 2 \cdot 2 \cdot 2 \cdot 2 \cdot 2 = 128$.

Ответ: 128.

г) Для вычисления выражения $(8^{-1} \cdot \frac{1}{125})^{-\frac{1}{3}}$ сначала упростим выражение в скобках. Используем определение отрицательной степени $a^{-n} = \frac{1}{a^n}$.

$8^{-1} = \frac{1}{8}$ и $\frac{1}{125} = 125^{-1}$.

Тогда выражение в скобках: $\frac{1}{8} \cdot \frac{1}{125} = \frac{1}{8 \cdot 125} = \frac{1}{1000}$.

Теперь возводим полученный результат в степень $-\frac{1}{3}$:

$(\frac{1}{1000})^{-\frac{1}{3}} = (1000^{-1})^{-\frac{1}{3}}$.

По свойству возведения степени в степень $(a^m)^n = a^{m \cdot n}$:

$1000^{(-1) \cdot (-\frac{1}{3})} = 1000^{\frac{1}{3}} = \sqrt[3]{1000} = 10$.

Ответ: 10.

д) В выражении $\frac{12^{\frac{5}{6}}}{2^{1\frac{2}{3}} \cdot 3^{\frac{1}{3}}}$ сначала преобразуем смешанную дробь в показателе в неправильную: $1\frac{2}{3} = \frac{5}{3}$.

Теперь разложим основание 12 в числителе на простые множители: $12 = 4 \cdot 3 = 2^2 \cdot 3$. Применим свойство $(a \cdot b)^n = a^n \cdot b^n$:

$12^{\frac{5}{6}} = (2^2 \cdot 3)^{\frac{5}{6}} = (2^2)^{\frac{5}{6}} \cdot 3^{\frac{5}{6}} = 2^{2 \cdot \frac{5}{6}} \cdot 3^{\frac{5}{6}} = 2^{\frac{10}{6}} \cdot 3^{\frac{5}{6}} = 2^{\frac{5}{3}} \cdot 3^{\frac{5}{6}}$.

Подставим это в исходное выражение:

$\frac{2^{\frac{5}{3}} \cdot 3^{\frac{5}{6}}}{2^{\frac{5}{3}} \cdot 3^{\frac{1}{3}}}$.

Сокращаем $2^{\frac{5}{3}}$ и применяем свойство деления степеней $\frac{a^m}{a^n} = a^{m-n}$ для основания 3:

$3^{\frac{5}{6} - \frac{1}{3}} = 3^{\frac{5}{6} - \frac{2}{6}} = 3^{\frac{3}{6}} = 3^{\frac{1}{2}} = \sqrt{3}$.

Ответ: $\sqrt{3}$.

е) Чтобы вычислить $\frac{3^{2,5} \cdot 2^{2,75}}{18^{0,75}}$, разложим основание 18 в знаменателе на множители $18 = 2 \cdot 9 = 2 \cdot 3^2$.

Применим свойства степени к знаменателю:

$18^{0,75} = (2 \cdot 3^2)^{0,75} = 2^{0,75} \cdot (3^2)^{0,75} = 2^{0,75} \cdot 3^{2 \cdot 0,75} = 2^{0,75} \cdot 3^{1,5}$.

Подставим полученное выражение в исходную дробь:

$\frac{3^{2,5} \cdot 2^{2,75}}{3^{1,5} \cdot 2^{0,75}}$.

Сгруппируем степени с одинаковыми основаниями и применим свойство $\frac{a^m}{a^n} = a^{m-n}$:

$\frac{3^{2,5}}{3^{1,5}} \cdot \frac{2^{2,75}}{2^{0,75}} = 3^{2,5 - 1,5} \cdot 2^{2,75 - 0,75} = 3^1 \cdot 2^2$.

Вычисляем результат:

$3 \cdot 4 = 12$.

Ответ: 12.

Помогло решение? Оставьте отзыв в комментариях ниже.

Присоединяйтесь к Телеграм-группе @gdz_by_belarus

Присоединиться

Мы подготовили для вас ответ c подробным объяснением домашего задания по алгебре за 11 класс, для упражнения номер 52 расположенного на странице 172 к учебнику 2020 года издания для учащихся школ и гимназий.

Теперь на нашем сайте ГДЗ.ТОП вы всегда легко и бесплатно найдёте условие с правильным ответом на вопрос «Как решить ДЗ» и «Как сделать» задание по алгебре к упражнению №52 (с. 172), авторов: Арефьева (Ирина Глебовна), Пирютко (Ольга Николаевна), учебного пособия издательства Народная асвета.