Номер 75, страница 175 - гдз по алгебре 11 класс учебник Арефьева, Пирютко

Алгебра, 11 класс Учебник, авторы: Арефьева Ирина Глебовна, Пирютко Ольга Николаевна, издательство Народная асвета, Минск, 2020, бирюзового цвета

Авторы: Арефьева И. Г., Пирютко О. Н.

Тип: Учебник

Издательство: Народная асвета

Год издания: 2020 - 2025

Цвет обложки: бирюзовый, зелёный с графиком

ISBN: 978-985-03-3165-6

Популярные ГДЗ в 11 классе

Упражнения для итогового повторения. Числа и вычисления - номер 75, страница 175.

№75 (с. 175)
Условие. №75 (с. 175)
скриншот условия
Алгебра, 11 класс Учебник, авторы: Арефьева Ирина Глебовна, Пирютко Ольга Николаевна, издательство Народная асвета, Минск, 2020, бирюзового цвета, страница 175, номер 75, Условие

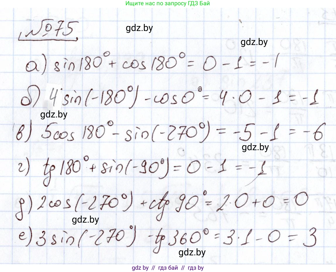
75. Найдите значение выражения:

а) $\sin180^\circ + \cos180^\circ;$

б) $4\sin(-180^\circ) - \cos0^\circ;$

в) $5\cos180^\circ - \sin(-270^\circ);$

г) $\operatorname{tg}180^\circ + \sin(-90^\circ);$

д) $2\cos(-270^\circ) + \operatorname{ctg}90^\circ;$

е) $3\sin(-270^\circ) - \operatorname{tg}360^\circ.$

Решение. №75 (с. 175)
Алгебра, 11 класс Учебник, авторы: Арефьева Ирина Глебовна, Пирютко Ольга Николаевна, издательство Народная асвета, Минск, 2020, бирюзового цвета, страница 175, номер 75, Решение
Решение 2. №75 (с. 175)

а) Для того чтобы найти значение выражения $sin180^\circ + cos180^\circ$, нужно знать значения синуса и косинуса для угла $180^\circ$.
На единичной окружности угол $180^\circ$ соответствует точке с координатами $(-1, 0)$. Синус угла — это ордината (координата y), а косинус — абсцисса (координата x) этой точки.
Следовательно, $sin180^\circ = 0$ и $cos180^\circ = -1$.
Подставим эти значения в выражение:
$sin180^\circ + cos180^\circ = 0 + (-1) = -1$.
Ответ: -1

б) Рассмотрим выражение $4sin(-180^\circ) - cos0^\circ$.
Функция синус является нечетной, поэтому $sin(-\alpha) = -sin(\alpha)$.
$sin(-180^\circ) = -sin(180^\circ) = -0 = 0$.
Значение косинуса для угла $0^\circ$ равно $1$, так как точка на единичной окружности имеет координаты $(1, 0)$.
$cos0^\circ = 1$.
Подставим полученные значения в выражение:
$4 \cdot sin(-180^\circ) - cos0^\circ = 4 \cdot 0 - 1 = 0 - 1 = -1$.
Ответ: -1

в) Найдем значение выражения $5cos180^\circ - sin(-270^\circ)$.
Как мы уже знаем, $cos180^\circ = -1$.
Используем свойство нечетности синуса: $sin(-270^\circ) = -sin(270^\circ)$.
Угол $270^\circ$ на единичной окружности соответствует точке с координатами $(0, -1)$.
Следовательно, $sin(270^\circ) = -1$.
Тогда $sin(-270^\circ) = -(-1) = 1$.
Подставим значения в исходное выражение:
$5 \cdot cos180^\circ - sin(-270^\circ) = 5 \cdot (-1) - 1 = -5 - 1 = -6$.
Ответ: -6

г) Рассмотрим выражение $tg180^\circ + sin(-90^\circ)$.
Тангенс определяется как отношение синуса к косинусу: $tg\alpha = \frac{sin\alpha}{cos\alpha}$.
$tg180^\circ = \frac{sin180^\circ}{cos180^\circ} = \frac{0}{-1} = 0$.
Используем свойство нечетности синуса: $sin(-90^\circ) = -sin(90^\circ)$.
Угол $90^\circ$ на единичной окружности соответствует точке с координатами $(0, 1)$, поэтому $sin90^\circ = 1$.
$sin(-90^\circ) = -1$.
Подставляем значения в выражение:
$tg180^\circ + sin(-90^\circ) = 0 + (-1) = -1$.
Ответ: -1

д) Найдем значение выражения $2cos(-270^\circ) + ctg90^\circ$.
Функция косинус является четной, поэтому $cos(-\alpha) = cos(\alpha)$.
$cos(-270^\circ) = cos(270^\circ)$.
Угол $270^\circ$ на единичной окружности соответствует точке с координатами $(0, -1)$, поэтому $cos270^\circ = 0$.
Котангенс определяется как отношение косинуса к синусу: $ctg\alpha = \frac{cos\alpha}{sin\alpha}$.
$ctg90^\circ = \frac{cos90^\circ}{sin90^\circ} = \frac{0}{1} = 0$.
Подставляем значения в выражение:
$2 \cdot cos(-270^\circ) + ctg90^\circ = 2 \cdot 0 + 0 = 0$.
Ответ: 0

е) Рассмотрим выражение $3sin(-270^\circ) - tg360^\circ$.
Из пункта в) мы знаем, что $sin(-270^\circ) = 1$.
Угол $360^\circ$ совпадает с углом $0^\circ$, точка на единичной окружности имеет координаты $(1, 0)$.
$tg360^\circ = \frac{sin360^\circ}{cos360^\circ} = \frac{0}{1} = 0$.
Подставляем значения в выражение:
$3 \cdot sin(-270^\circ) - tg360^\circ = 3 \cdot 1 - 0 = 3$.
Ответ: 3

Помогло решение? Оставьте отзыв в комментариях ниже.

Присоединяйтесь к Телеграм-группе @gdz_by_belarus

Присоединиться

Мы подготовили для вас ответ c подробным объяснением домашего задания по алгебре за 11 класс, для упражнения номер 75 расположенного на странице 175 к учебнику 2020 года издания для учащихся школ и гимназий.

Теперь на нашем сайте ГДЗ.ТОП вы всегда легко и бесплатно найдёте условие с правильным ответом на вопрос «Как решить ДЗ» и «Как сделать» задание по алгебре к упражнению №75 (с. 175), авторов: Арефьева (Ирина Глебовна), Пирютко (Ольга Николаевна), учебного пособия издательства Народная асвета.