Номер 82, страница 175 - гдз по алгебре 11 класс учебник Арефьева, Пирютко

Алгебра, 11 класс Учебник, авторы: Арефьева Ирина Глебовна, Пирютко Ольга Николаевна, издательство Народная асвета, Минск, 2020, бирюзового цвета

Авторы: Арефьева И. Г., Пирютко О. Н.

Тип: Учебник

Издательство: Народная асвета

Год издания: 2020 - 2025

Цвет обложки: бирюзовый, зелёный с графиком

ISBN: 978-985-03-3165-6

Популярные ГДЗ в 11 классе

Упражнения для итогового повторения. Числа и вычисления - номер 82, страница 175.

№82 (с. 175)
Условие. №82 (с. 175)
скриншот условия
Алгебра, 11 класс Учебник, авторы: Арефьева Ирина Глебовна, Пирютко Ольга Николаевна, издательство Народная асвета, Минск, 2020, бирюзового цвета, страница 175, номер 82, Условие

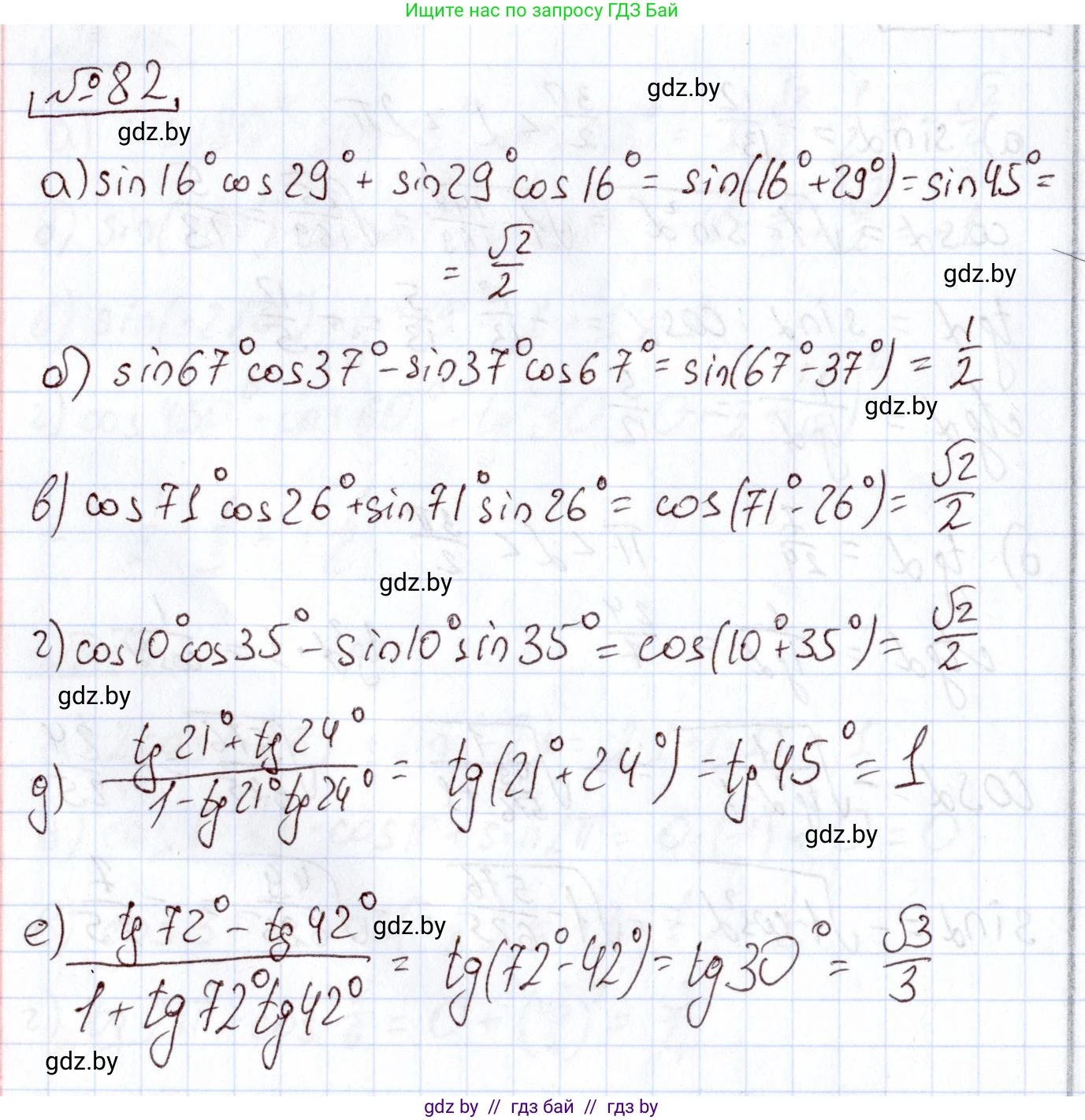
82. С помощью формул сложения вычислите:

a) $\sin 16^\circ \cos 29^\circ + \sin 29^\circ \cos 16^\circ$;

б) $\sin 67^\circ \cos 37^\circ - \sin 37^\circ \cos 67^\circ$;

в) $\cos 71^\circ \cos 26^\circ + \sin 71^\circ \sin 26^\circ$;

г) $\cos 10^\circ \cos 35^\circ - \sin 10^\circ \sin 35^\circ$;

д) $\frac{\operatorname{tg} 21^\circ + \operatorname{tg} 24^\circ}{1 - \operatorname{tg} 21^\circ \operatorname{tg} 24^\circ}$;

е) $\frac{\operatorname{tg} 72^\circ - \operatorname{tg} 42^\circ}{1 + \operatorname{tg} 72^\circ \operatorname{tg} 42^\circ}$.

Решение. №82 (с. 175)
Алгебра, 11 класс Учебник, авторы: Арефьева Ирина Глебовна, Пирютко Ольга Николаевна, издательство Народная асвета, Минск, 2020, бирюзового цвета, страница 175, номер 82, Решение
Решение 2. №82 (с. 175)

а) Данное выражение $\sin16^\circ\cos29^\circ + \sin29^\circ\cos16^\circ$ соответствует формуле синуса суммы двух углов: $\sin(\alpha + \beta) = \sin\alpha\cos\beta + \cos\alpha\sin\beta$.
В нашем случае $\alpha = 16^\circ$ и $\beta = 29^\circ$.
Следовательно, выражение равно $\sin(16^\circ + 29^\circ) = \sin(45^\circ)$.
Значение синуса $45^\circ$ является табличным: $\sin(45^\circ) = \frac{\sqrt{2}}{2}$.
Ответ: $\frac{\sqrt{2}}{2}$

б) Данное выражение $\sin67^\circ\cos37^\circ - \sin37^\circ\cos67^\circ$ соответствует формуле синуса разности двух углов: $\sin(\alpha - \beta) = \sin\alpha\cos\beta - \cos\alpha\sin\beta$.
В нашем случае $\alpha = 67^\circ$ и $\beta = 37^\circ$.
Следовательно, выражение равно $\sin(67^\circ - 37^\circ) = \sin(30^\circ)$.
Значение синуса $30^\circ$ является табличным: $\sin(30^\circ) = \frac{1}{2}$.
Ответ: $\frac{1}{2}$

в) Данное выражение $\cos71^\circ\cos26^\circ + \sin71^\circ\sin26^\circ$ соответствует формуле косинуса разности двух углов: $\cos(\alpha - \beta) = \cos\alpha\cos\beta + \sin\alpha\sin\beta$.
В нашем случае $\alpha = 71^\circ$ и $\beta = 26^\circ$.
Следовательно, выражение равно $\cos(71^\circ - 26^\circ) = \cos(45^\circ)$.
Значение косинуса $45^\circ$ является табличным: $\cos(45^\circ) = \frac{\sqrt{2}}{2}$.
Ответ: $\frac{\sqrt{2}}{2}$

г) Данное выражение $\cos10^\circ\cos35^\circ - \sin10^\circ\sin35^\circ$ соответствует формуле косинуса суммы двух углов: $\cos(\alpha + \beta) = \cos\alpha\cos\beta - \sin\alpha\sin\beta$.
В нашем случае $\alpha = 10^\circ$ и $\beta = 35^\circ$.
Следовательно, выражение равно $\cos(10^\circ + 35^\circ) = \cos(45^\circ)$.
Значение косинуса $45^\circ$ является табличным: $\cos(45^\circ) = \frac{\sqrt{2}}{2}$.
Ответ: $\frac{\sqrt{2}}{2}$

д) Данное выражение $\frac{\text{tg}21^\circ + \text{tg}24^\circ}{1 - \text{tg}21^\circ\text{tg}24^\circ}$ соответствует формуле тангенса суммы двух углов: $\text{tg}(\alpha + \beta) = \frac{\text{tg}\alpha + \text{tg}\beta}{1 - \text{tg}\alpha\text{tg}\beta}$.
В нашем случае $\alpha = 21^\circ$ и $\beta = 24^\circ$.
Следовательно, выражение равно $\text{tg}(21^\circ + 24^\circ) = \text{tg}(45^\circ)$.
Значение тангенса $45^\circ$ является табличным: $\text{tg}(45^\circ) = 1$.
Ответ: $1$

е) Данное выражение $\frac{\text{tg}72^\circ - \text{tg}42^\circ}{1 + \text{tg}72^\circ\text{tg}42^\circ}$ соответствует формуле тангенса разности двух углов: $\text{tg}(\alpha - \beta) = \frac{\text{tg}\alpha - \text{tg}\beta}{1 + \text{tg}\alpha\text{tg}\beta}$.
В нашем случае $\alpha = 72^\circ$ и $\beta = 42^\circ$.
Следовательно, выражение равно $\text{tg}(72^\circ - 42^\circ) = \text{tg}(30^\circ)$.
Значение тангенса $30^\circ$ является табличным: $\text{tg}(30^\circ) = \frac{\sqrt{3}}{3}$.
Ответ: $\frac{\sqrt{3}}{3}$

Помогло решение? Оставьте отзыв в комментариях ниже.

Присоединяйтесь к Телеграм-группе @gdz_by_belarus

Присоединиться

Мы подготовили для вас ответ c подробным объяснением домашего задания по алгебре за 11 класс, для упражнения номер 82 расположенного на странице 175 к учебнику 2020 года издания для учащихся школ и гимназий.

Теперь на нашем сайте ГДЗ.ТОП вы всегда легко и бесплатно найдёте условие с правильным ответом на вопрос «Как решить ДЗ» и «Как сделать» задание по алгебре к упражнению №82 (с. 175), авторов: Арефьева (Ирина Глебовна), Пирютко (Ольга Николаевна), учебного пособия издательства Народная асвета.