Номер 91, страница 176 - гдз по алгебре 11 класс учебник Арефьева, Пирютко

Алгебра, 11 класс Учебник, авторы: Арефьева Ирина Глебовна, Пирютко Ольга Николаевна, издательство Народная асвета, Минск, 2020, бирюзового цвета

Авторы: Арефьева И. Г., Пирютко О. Н.

Тип: Учебник

Издательство: Народная асвета

Год издания: 2020 - 2025

Цвет обложки: бирюзовый, зелёный с графиком

ISBN: 978-985-03-3165-6

Популярные ГДЗ в 11 классе

Упражнения для итогового повторения. Числа и вычисления - номер 91, страница 176.

№91 (с. 176)
Условие. №91 (с. 176)
скриншот условия
Алгебра, 11 класс Учебник, авторы: Арефьева Ирина Глебовна, Пирютко Ольга Николаевна, издательство Народная асвета, Минск, 2020, бирюзового цвета, страница 176, номер 91, Условие

91. Найдите значение выражения:

a) $sin(\arccos(\frac{1}{2}))$

б) $cos(2\operatorname{arctg}1)$

в) $\operatorname{ctg}(2\arcsin(\frac{1}{\sqrt{2}}))$

г) $cos(\arccos(-\frac{1}{2}) + \frac{\pi}{3})$

д) $\operatorname{tg}(2\operatorname{arctg}(-\frac{\sqrt{3}}{3}) + \frac{\pi}{6})$

е) $sin(\operatorname{arctg}\sqrt{3} + 2\arccos\frac{1}{2})$

Решение. №91 (с. 176)
Алгебра, 11 класс Учебник, авторы: Арефьева Ирина Глебовна, Пирютко Ольга Николаевна, издательство Народная асвета, Минск, 2020, бирюзового цвета, страница 176, номер 91, Решение
Решение 2. №91 (с. 176)

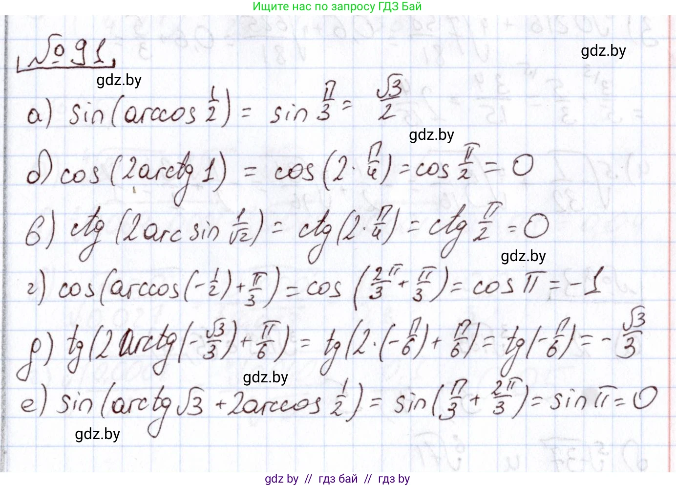
а) $sin(arccos\frac{1}{2})$

Сначала найдем значение выражения в скобках. По определению, $arccos\frac{1}{2}$ — это угол $\alpha$ из промежутка $[0; \pi]$, косинус которого равен $\frac{1}{2}$.

$cos(\alpha) = \frac{1}{2}$

Этому условию в заданном промежутке соответствует угол $\alpha = \frac{\pi}{3}$.

Теперь подставим это значение в исходное выражение:

$sin(arccos\frac{1}{2}) = sin(\frac{\pi}{3})$

Значение синуса для угла $\frac{\pi}{3}$ является табличным:

$sin(\frac{\pi}{3}) = \frac{\sqrt{3}}{2}$

Ответ: $\frac{\sqrt{3}}{2}$.

б) $cos(2arctg1)$

Найдем значение $arctg1$. По определению, $arctg1$ — это угол $\alpha$ из промежутка $(-\frac{\pi}{2}; \frac{\pi}{2})$, тангенс которого равен 1.

$tg(\alpha) = 1$

Этому условию соответствует угол $\alpha = \frac{\pi}{4}$.

Подставим найденное значение в выражение:

$cos(2 \cdot \frac{\pi}{4}) = cos(\frac{2\pi}{4}) = cos(\frac{\pi}{2})$

Значение косинуса для угла $\frac{\pi}{2}$ равно 0.

$cos(\frac{\pi}{2}) = 0$

Ответ: $0$.

в) $ctg(2arcsin\frac{1}{\sqrt{2}})$

Найдем значение $arcsin\frac{1}{\sqrt{2}}$. По определению, $arcsin\frac{1}{\sqrt{2}}$ — это угол $\alpha$ из промежутка $[-\frac{\pi}{2}; \frac{\pi}{2}]$, синус которого равен $\frac{1}{\sqrt{2}}$.

$sin(\alpha) = \frac{1}{\sqrt{2}} = \frac{\sqrt{2}}{2}$

Этому условию соответствует угол $\alpha = \frac{\pi}{4}$.

Подставим найденное значение в выражение:

$ctg(2 \cdot \frac{\pi}{4}) = ctg(\frac{2\pi}{4}) = ctg(\frac{\pi}{2})$

Котангенс равен отношению косинуса к синусу. $ctg(\frac{\pi}{2}) = \frac{cos(\frac{\pi}{2})}{sin(\frac{\pi}{2})} = \frac{0}{1} = 0$.

Ответ: $0$.

г) $cos(arccos(-\frac{1}{2}) + \frac{\pi}{3})$

Найдем значение $arccos(-\frac{1}{2})$. По определению, $arccos(-\frac{1}{2})$ — это угол $\alpha$ из промежутка $[0; \pi]$, косинус которого равен $-\frac{1}{2}$.

$cos(\alpha) = -\frac{1}{2}$

Этому условию соответствует угол $\alpha = \frac{2\pi}{3}$.

Подставим найденное значение в выражение:

$cos(\frac{2\pi}{3} + \frac{\pi}{3}) = cos(\frac{2\pi+\pi}{3}) = cos(\frac{3\pi}{3}) = cos(\pi)$

Значение косинуса для угла $\pi$ равно -1.

$cos(\pi) = -1$

Ответ: $-1$.

д) $tg(2arctg(-\frac{\sqrt{3}}{3}) + \frac{\pi}{6})$

Найдем значение $arctg(-\frac{\sqrt{3}}{3})$. По определению, $arctg(-\frac{\sqrt{3}}{3})$ — это угол $\alpha$ из промежутка $(-\frac{\pi}{2}; \frac{\pi}{2})$, тангенс которого равен $-\frac{\sqrt{3}}{3}$.

$tg(\alpha) = -\frac{\sqrt{3}}{3}$

Этому условию соответствует угол $\alpha = -\frac{\pi}{6}$.

Подставим найденное значение в выражение:

$tg(2 \cdot (-\frac{\pi}{6}) + \frac{\pi}{6}) = tg(-\frac{2\pi}{6} + \frac{\pi}{6}) = tg(-\frac{\pi}{6})$

Так как тангенс - нечетная функция, $tg(-x) = -tg(x)$.

$tg(-\frac{\pi}{6}) = -tg(\frac{\pi}{6}) = -\frac{\sqrt{3}}{3}$

Ответ: $-\frac{\sqrt{3}}{3}$.

е) $sin(arctg\sqrt{3} + 2arccos\frac{1}{2})$

Найдем значения обратных тригонометрических функций по отдельности.

1. $arctg\sqrt{3}$. Это угол $\alpha$ из $(-\frac{\pi}{2}; \frac{\pi}{2})$, для которого $tg(\alpha) = \sqrt{3}$. Этому соответствует $\alpha = \frac{\pi}{3}$.

2. $arccos\frac{1}{2}$. Это угол $\beta$ из $[0; \pi]$, для которого $cos(\beta) = \frac{1}{2}$. Этому соответствует $\beta = \frac{\pi}{3}$.

Теперь подставим найденные значения в исходное выражение:

$sin(\frac{\pi}{3} + 2 \cdot \frac{\pi}{3}) = sin(\frac{\pi}{3} + \frac{2\pi}{3}) = sin(\frac{3\pi}{3}) = sin(\pi)$

Значение синуса для угла $\pi$ равно 0.

$sin(\pi) = 0$

Ответ: $0$.

Помогло решение? Оставьте отзыв в комментариях ниже.

Присоединяйтесь к Телеграм-группе @gdz_by_belarus

Присоединиться

Мы подготовили для вас ответ c подробным объяснением домашего задания по алгебре за 11 класс, для упражнения номер 91 расположенного на странице 176 к учебнику 2020 года издания для учащихся школ и гимназий.

Теперь на нашем сайте ГДЗ.ТОП вы всегда легко и бесплатно найдёте условие с правильным ответом на вопрос «Как решить ДЗ» и «Как сделать» задание по алгебре к упражнению №91 (с. 176), авторов: Арефьева (Ирина Глебовна), Пирютко (Ольга Николаевна), учебного пособия издательства Народная асвета.