Номер 11, страница 233 - гдз по алгебре 11 класс учебник Арефьева, Пирютко

Алгебра, 11 класс Учебник, авторы: Арефьева Ирина Глебовна, Пирютко Ольга Николаевна, издательство Народная асвета, Минск, 2020, бирюзового цвета

Авторы: Арефьева И. Г., Пирютко О. Н.

Тип: Учебник

Издательство: Народная асвета

Год издания: 2020 - 2025

Цвет обложки: бирюзовый, зелёный с графиком

ISBN: 978-985-03-3165-6

Популярные ГДЗ в 11 классе

Тематические тесты. Тест 1. Применение свойств степени и корня для преобразования выражений - номер 11, страница 233.

№11 (с. 233)
Условие. №11 (с. 233)
скриншот условия
Алгебра, 11 класс Учебник, авторы: Арефьева Ирина Глебовна, Пирютко Ольга Николаевна, издательство Народная асвета, Минск, 2020, бирюзового цвета, страница 233, номер 11, Условие

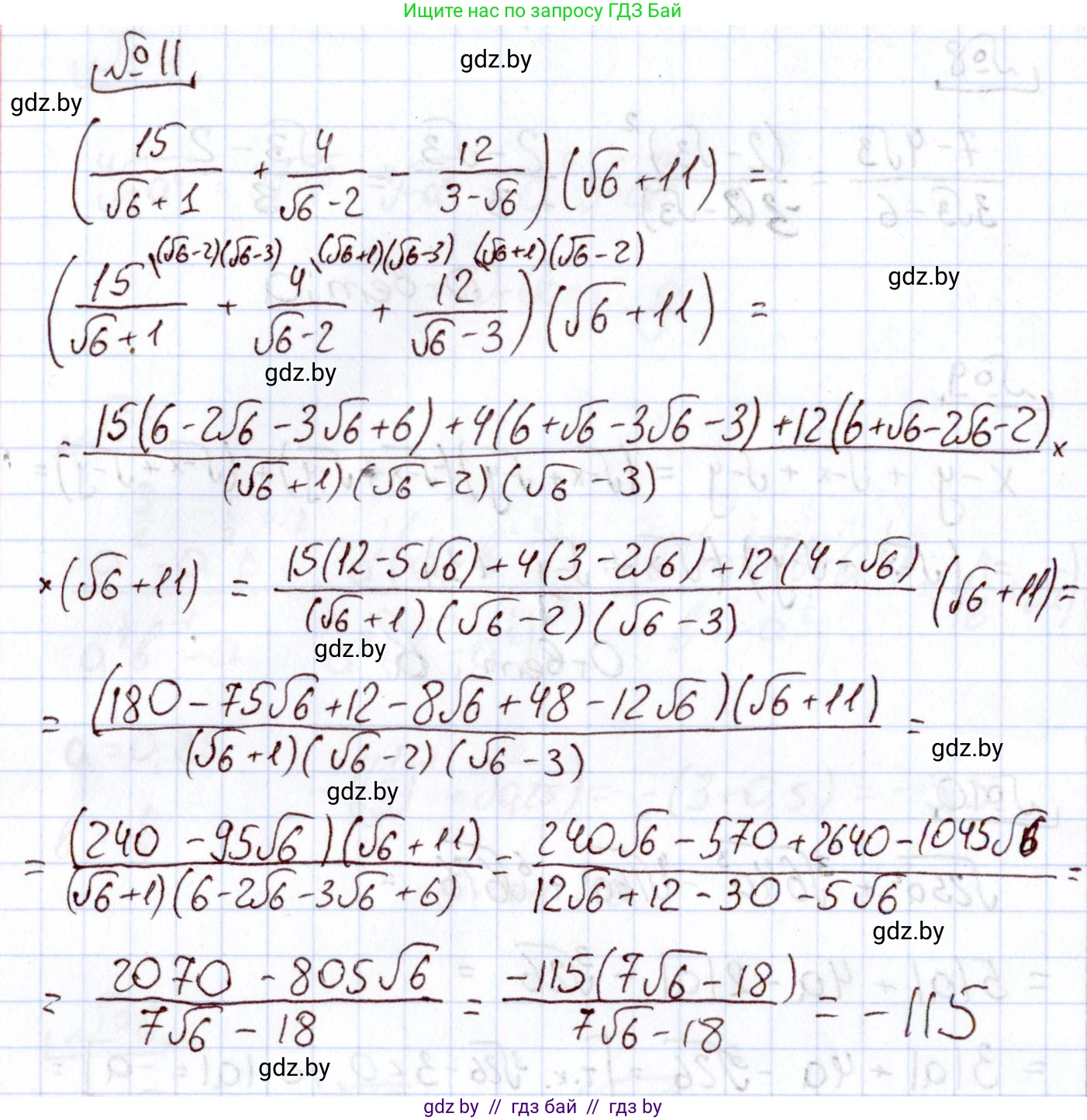
11. Найдите значение выражения

$(\frac{15}{\sqrt{6} + 1} + \frac{4}{\sqrt{6} - 2} - \frac{12}{3 - \sqrt{6}}) \cdot (\sqrt{6} + 11)$

Решение. №11 (с. 233)
Алгебра, 11 класс Учебник, авторы: Арефьева Ирина Глебовна, Пирютко Ольга Николаевна, издательство Народная асвета, Минск, 2020, бирюзового цвета, страница 233, номер 11, Решение
Решение 2. №11 (с. 233)

Для того чтобы найти значение выражения, мы будем упрощать его по частям. Сначала выполним действия в первых скобках.

Выражение в скобках: $(\frac{15}{\sqrt{6} + 1} + \frac{4}{\sqrt{6} - 2} - \frac{12}{3 - \sqrt{6}})$.

Чтобы сложить и вычесть дроби, необходимо избавиться от иррациональности в знаменателях. Для этого домножим числитель и знаменатель каждой дроби на выражение, сопряженное знаменателю. Будем использовать формулу разности квадратов: $(a-b)(a+b) = a^2 - b^2$.

1. Упростим первую дробь:

$\frac{15}{\sqrt{6} + 1} = \frac{15 \cdot (\sqrt{6} - 1)}{(\sqrt{6} + 1) \cdot (\sqrt{6} - 1)} = \frac{15(\sqrt{6} - 1)}{(\sqrt{6})^2 - 1^2} = \frac{15(\sqrt{6} - 1)}{6 - 1} = \frac{15(\sqrt{6} - 1)}{5} = 3(\sqrt{6} - 1) = 3\sqrt{6} - 3$.

2. Упростим вторую дробь:

$\frac{4}{\sqrt{6} - 2} = \frac{4 \cdot (\sqrt{6} + 2)}{(\sqrt{6} - 2) \cdot (\sqrt{6} + 2)} = \frac{4(\sqrt{6} + 2)}{(\sqrt{6})^2 - 2^2} = \frac{4(\sqrt{6} + 2)}{6 - 4} = \frac{4(\sqrt{6} + 2)}{2} = 2(\sqrt{6} + 2) = 2\sqrt{6} + 4$.

3. Упростим третью дробь:

$\frac{12}{3 - \sqrt{6}} = \frac{12 \cdot (3 + \sqrt{6})}{(3 - \sqrt{6}) \cdot (3 + \sqrt{6})} = \frac{12(3 + \sqrt{6})}{3^2 - (\sqrt{6})^2} = \frac{12(3 + \sqrt{6})}{9 - 6} = \frac{12(3 + \sqrt{6})}{3} = 4(3 + \sqrt{6}) = 12 + 4\sqrt{6}$.

Теперь подставим полученные значения обратно в выражение в скобках:

$(3\sqrt{6} - 3) + (2\sqrt{6} + 4) - (12 + 4\sqrt{6})$.

Раскроем скобки и приведем подобные слагаемые:

$3\sqrt{6} - 3 + 2\sqrt{6} + 4 - 12 - 4\sqrt{6} = (3\sqrt{6} + 2\sqrt{6} - 4\sqrt{6}) + (-3 + 4 - 12) = \sqrt{6} - 11$.

Теперь исходное выражение можно записать в виде:

$(\sqrt{6} - 11) \cdot (\sqrt{6} + 11)$.

Это произведение также представляет собой формулу разности квадратов $(a-b)(a+b) = a^2-b^2$, где $a = \sqrt{6}$ и $b = 11$.

$(\sqrt{6})^2 - 11^2 = 6 - 121 = -115$.

Ответ: -115.

Помогло решение? Оставьте отзыв в комментариях ниже.

Присоединяйтесь к Телеграм-группе @gdz_by_belarus

Присоединиться

Мы подготовили для вас ответ c подробным объяснением домашего задания по алгебре за 11 класс, для упражнения номер 11 расположенного на странице 233 к учебнику 2020 года издания для учащихся школ и гимназий.

Теперь на нашем сайте ГДЗ.ТОП вы всегда легко и бесплатно найдёте условие с правильным ответом на вопрос «Как решить ДЗ» и «Как сделать» задание по алгебре к упражнению №11 (с. 233), авторов: Арефьева (Ирина Глебовна), Пирютко (Ольга Николаевна), учебного пособия издательства Народная асвета.