Номер 11, страница 238 - гдз по алгебре 11 класс учебник Арефьева, Пирютко

Алгебра, 11 класс Учебник, авторы: Арефьева Ирина Глебовна, Пирютко Ольга Николаевна, издательство Народная асвета, Минск, 2020, бирюзового цвета

Авторы: Арефьева И. Г., Пирютко О. Н.

Тип: Учебник

Издательство: Народная асвета

Год издания: 2020 - 2025

Цвет обложки: бирюзовый, зелёный с графиком

ISBN: 978-985-03-3165-6

Популярные ГДЗ в 11 классе

Тематические тесты. Тест 3. Применение свойств тригонометрических функций и формул тригонометрии - номер 11, страница 238.

№11 (с. 238)
Условие. №11 (с. 238)
скриншот условия
Алгебра, 11 класс Учебник, авторы: Арефьева Ирина Глебовна, Пирютко Ольга Николаевна, издательство Народная асвета, Минск, 2020, бирюзового цвета, страница 238, номер 11, Условие

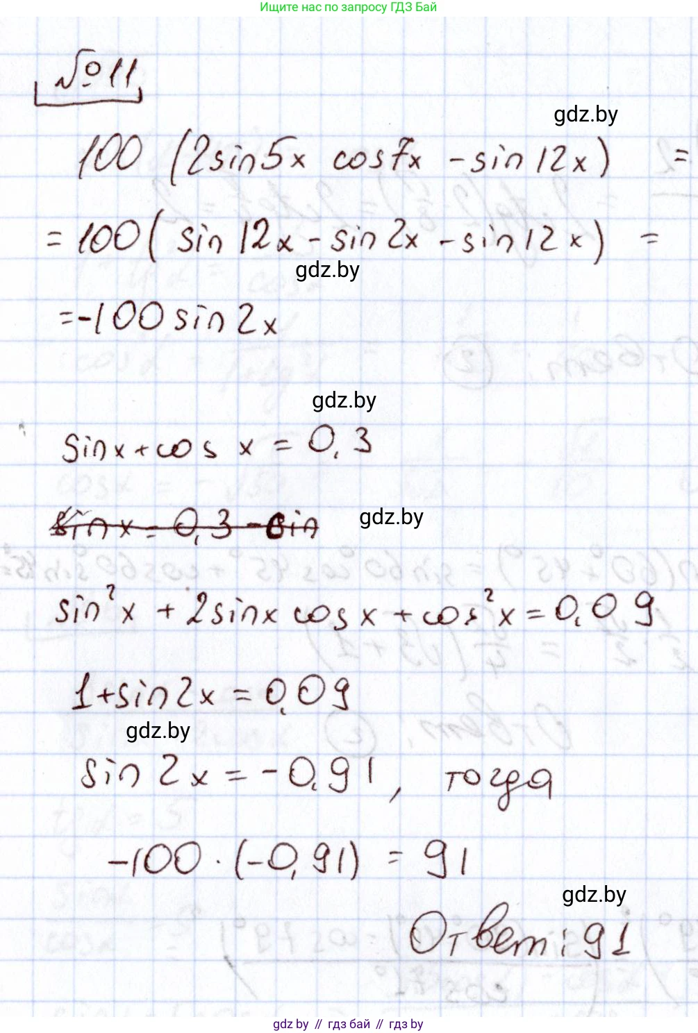
11. Найдите значение выражения $100 \cdot (2\sin 5x \cos 7x - \sin 12x)$, если $\sin x + \cos x = 0,3$.

Решение. №11 (с. 238)
Алгебра, 11 класс Учебник, авторы: Арефьева Ирина Глебовна, Пирютко Ольга Николаевна, издательство Народная асвета, Минск, 2020, бирюзового цвета, страница 238, номер 11, Решение
Решение 2. №11 (с. 238)

Для решения задачи сначала упростим выражение в скобках: $2\sin(5x)\cos(7x) - \sin(12x)$.

Воспользуемся тригонометрической формулой преобразования произведения в сумму:

$2\sin(\alpha)\cos(\beta) = \sin(\alpha + \beta) + \sin(\alpha - \beta)$

Применим эту формулу для $2\sin(5x)\cos(7x)$, где $\alpha = 5x$ и $\beta = 7x$:

$2\sin(5x)\cos(7x) = \sin(5x + 7x) + \sin(5x - 7x) = \sin(12x) + \sin(-2x)$.

Так как синус является нечетной функцией, $\sin(-2x) = -\sin(2x)$. Следовательно, выражение принимает вид:

$2\sin(5x)\cos(7x) = \sin(12x) - \sin(2x)$.

Теперь подставим это в выражение, стоящее в скобках в исходном задании:

$2\sin(5x)\cos(7x) - \sin(12x) = (\sin(12x) - \sin(2x)) - \sin(12x) = -\sin(2x)$.

Таким образом, исходное выражение $100 \cdot (2\sin(5x)\cos(7x) - \sin(12x))$ можно переписать как:

$100 \cdot (-\sin(2x)) = -100\sin(2x)$.

Теперь необходимо найти значение $\sin(2x)$, используя данное условие $\sin(x) + \cos(x) = 0,3$.

Возведем обе части этого равенства в квадрат:

$(\sin(x) + \cos(x))^2 = (0,3)^2$.

Раскроем скобки в левой части по формуле квадрата суммы:

$\sin^2(x) + 2\sin(x)\cos(x) + \cos^2(x) = 0,09$.

Используя основное тригонометрическое тождество $\sin^2(x) + \cos^2(x) = 1$ и формулу синуса двойного угла $\sin(2x) = 2\sin(x)\cos(x)$, получим:

$1 + \sin(2x) = 0,09$.

Отсюда выразим $\sin(2x)$:

$\sin(2x) = 0,09 - 1 = -0,91$.

Наконец, подставим найденное значение $\sin(2x)$ в упрощенное выражение $-100\sin(2x)$:

$-100\sin(2x) = -100 \cdot (-0,91) = 91$.

Ответ: 91

Помогло решение? Оставьте отзыв в комментариях ниже.

Присоединяйтесь к Телеграм-группе @gdz_by_belarus

Присоединиться

Мы подготовили для вас ответ c подробным объяснением домашего задания по алгебре за 11 класс, для упражнения номер 11 расположенного на странице 238 к учебнику 2020 года издания для учащихся школ и гимназий.

Теперь на нашем сайте ГДЗ.ТОП вы всегда легко и бесплатно найдёте условие с правильным ответом на вопрос «Как решить ДЗ» и «Как сделать» задание по алгебре к упражнению №11 (с. 238), авторов: Арефьева (Ирина Глебовна), Пирютко (Ольга Николаевна), учебного пособия издательства Народная асвета.