Номер 12, страница 238 - гдз по алгебре 11 класс учебник Арефьева, Пирютко

Алгебра, 11 класс Учебник, авторы: Арефьева Ирина Глебовна, Пирютко Ольга Николаевна, издательство Народная асвета, Минск, 2020, бирюзового цвета

Авторы: Арефьева И. Г., Пирютко О. Н.

Тип: Учебник

Издательство: Народная асвета

Год издания: 2020 - 2025

Цвет обложки: бирюзовый, зелёный с графиком

ISBN: 978-985-03-3165-6

Популярные ГДЗ в 11 классе

Тематические тесты. Тест 3. Применение свойств тригонометрических функций и формул тригонометрии - номер 12, страница 238.

№12 (с. 238)
Условие. №12 (с. 238)
скриншот условия
Алгебра, 11 класс Учебник, авторы: Арефьева Ирина Глебовна, Пирютко Ольга Николаевна, издательство Народная асвета, Минск, 2020, бирюзового цвета, страница 238, номер 12, Условие

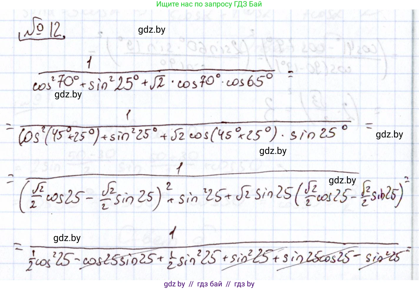
12. Найдите значение выражения $ \frac{1}{\cos^2 70^\circ + \sin^2 25^\circ + \sqrt{2} \cdot \cos 70^\circ \cdot \cos 65^\circ} $.

Решение. №12 (с. 238)
Алгебра, 11 класс Учебник, авторы: Арефьева Ирина Глебовна, Пирютко Ольга Николаевна, издательство Народная асвета, Минск, 2020, бирюзового цвета, страница 238, номер 12, Решение Алгебра, 11 класс Учебник, авторы: Арефьева Ирина Глебовна, Пирютко Ольга Николаевна, издательство Народная асвета, Минск, 2020, бирюзового цвета, страница 238, номер 12, Решение (продолжение 2)
Решение 2. №12 (с. 238)

Для нахождения значения выражения, упростим его знаменатель:

$$ Z = \cos^2 70^\circ + \sin^2 25^\circ + \sqrt{2} \cos 70^\circ \cos 65^\circ $$

Воспользуемся формулами приведения. Заметим, что $65^\circ = 90^\circ - 25^\circ$. Тогда $\cos 65^\circ = \cos(90^\circ - 25^\circ) = \sin 25^\circ$.

Подставим это в выражение для знаменателя:

$$ Z = \cos^2 70^\circ + \sin^2 25^\circ + \sqrt{2} \cos 70^\circ \sin 25^\circ $$

Теперь представим угол $70^\circ$ как сумму $45^\circ + 25^\circ$ и применим формулу косинуса суммы $\cos(\alpha + \beta) = \cos\alpha\cos\beta - \sin\alpha\sin\beta$:

$$ \cos 70^\circ = \cos(45^\circ + 25^\circ) = \cos 45^\circ \cos 25^\circ - \sin 45^\circ \sin 25^\circ $$

Так как $\cos 45^\circ = \sin 45^\circ = \frac{\sqrt{2}}{2}$, получаем:

$$ \cos 70^\circ = \frac{\sqrt{2}}{2} \cos 25^\circ - \frac{\sqrt{2}}{2} \sin 25^\circ = \frac{\sqrt{2}}{2}(\cos 25^\circ - \sin 25^\circ) $$

Подставим полученное выражение для $\cos 70^\circ$ в знаменатель $Z$:

$$ Z = \left(\frac{\sqrt{2}}{2}(\cos 25^\circ - \sin 25^\circ)\right)^2 + \sin^2 25^\circ + \sqrt{2} \cdot \left(\frac{\sqrt{2}}{2}(\cos 25^\circ - \sin 25^\circ)\right) \cdot \sin 25^\circ $$

Упростим полученное выражение. Возведем в квадрат первый член и раскроем скобки в последнем члене:

$$ Z = \frac{2}{4}(\cos 25^\circ - \sin 25^\circ)^2 + \sin^2 25^\circ + \frac{2}{2}(\cos 25^\circ - \sin 25^\circ)\sin 25^\circ $$

$$ Z = \frac{1}{2}(\cos^2 25^\circ - 2\sin 25^\circ \cos 25^\circ + \sin^2 25^\circ) + \sin^2 25^\circ + (\cos 25^\circ \sin 25^\circ - \sin^2 25^\circ) $$

Используя основное тригонометрическое тождество $\sin^2\alpha + \cos^2\alpha = 1$, получаем:

$$ Z = \frac{1}{2}(1 - 2\sin 25^\circ \cos 25^\circ) + \sin^2 25^\circ + \sin 25^\circ \cos 25^\circ - \sin^2 25^\circ $$

Раскроем скобки и приведем подобные слагаемые:

$$ Z = \frac{1}{2} - \sin 25^\circ \cos 25^\circ + \sin^2 25^\circ + \sin 25^\circ \cos 25^\circ - \sin^2 25^\circ $$

Все слагаемые, кроме первого, взаимно уничтожаются:

$$ Z = \frac{1}{2} $$

Теперь, когда мы нашли значение знаменателя, можем найти значение всего выражения:

$$ \frac{1}{Z} = \frac{1}{\frac{1}{2}} = 2 $$

Ответ: 2

Помогло решение? Оставьте отзыв в комментариях ниже.

Присоединяйтесь к Телеграм-группе @gdz_by_belarus

Присоединиться

Мы подготовили для вас ответ c подробным объяснением домашего задания по алгебре за 11 класс, для упражнения номер 12 расположенного на странице 238 к учебнику 2020 года издания для учащихся школ и гимназий.

Теперь на нашем сайте ГДЗ.ТОП вы всегда легко и бесплатно найдёте условие с правильным ответом на вопрос «Как решить ДЗ» и «Как сделать» задание по алгебре к упражнению №12 (с. 238), авторов: Арефьева (Ирина Глебовна), Пирютко (Ольга Николаевна), учебного пособия издательства Народная асвета.