Номер 13, страница 249 - гдз по алгебре 11 класс учебник Арефьева, Пирютко

Алгебра, 11 класс Учебник, авторы: Арефьева Ирина Глебовна, Пирютко Ольга Николаевна, издательство Народная асвета, Минск, 2020, бирюзового цвета

Авторы: Арефьева И. Г., Пирютко О. Н.

Тип: Учебник

Издательство: Народная асвета

Год издания: 2020 - 2025

Цвет обложки: бирюзовый, зелёный с графиком

ISBN: 978-985-03-3165-6

Популярные ГДЗ в 11 классе

Тематические тесты. Тест 7. Применение свойств показательной функции. Показательные уравнения - номер 13, страница 249.

№13 (с. 249)
Условие. №13 (с. 249)
скриншот условия
Алгебра, 11 класс Учебник, авторы: Арефьева Ирина Глебовна, Пирютко Ольга Николаевна, издательство Народная асвета, Минск, 2020, бирюзового цвета, страница 249, номер 13, Условие

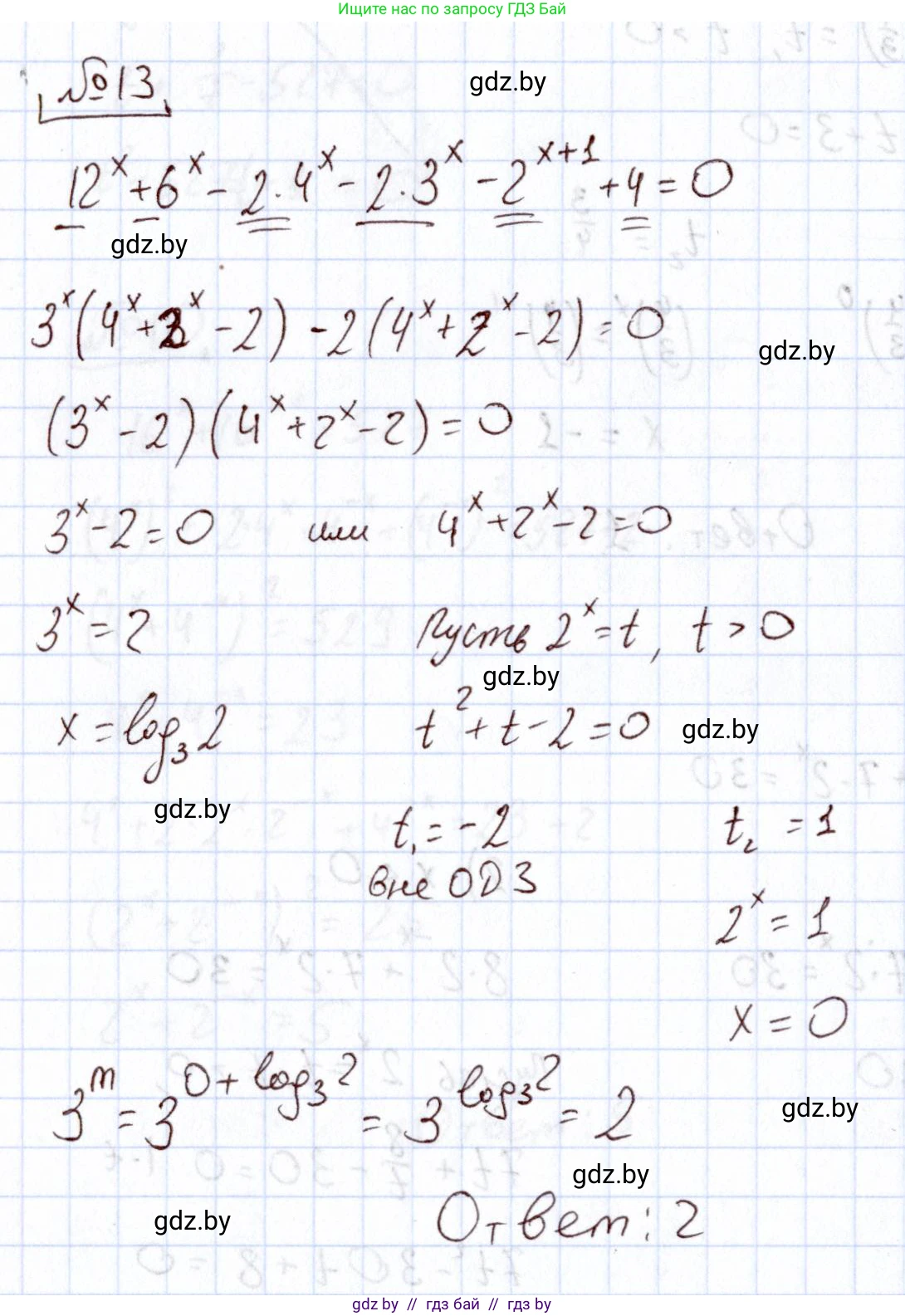
13. Найдите значение выражения $3^m$, где $m$ — сумма корней уравнения

$12^x + 6^x - 2 \cdot 4^x - 2 \cdot 3^x - 2^{x+1} + 4 = 0$.

Решение. №13 (с. 249)
Алгебра, 11 класс Учебник, авторы: Арефьева Ирина Глебовна, Пирютко Ольга Николаевна, издательство Народная асвета, Минск, 2020, бирюзового цвета, страница 249, номер 13, Решение
Решение 2. №13 (с. 249)

Для решения задачи сначала найдем корни данного уравнения:$12^x + 6^x - 2 \cdot 4^x - 2 \cdot 3^x - 2^{x+1} + 4 = 0$

Преобразуем уравнение, разложив основания степеней на простые множители: $12 = 3 \cdot 4 = 3 \cdot 2^2$, $6 = 2 \cdot 3$, $4 = 2^2$.$(3 \cdot 2^2)^x + (2 \cdot 3)^x - 2 \cdot (2^2)^x - 2 \cdot 3^x - 2^x \cdot 2^1 + 4 = 0$$3^x \cdot (2^2)^x + 2^x \cdot 3^x - 2 \cdot (2^2)^x - 2 \cdot 3^x - 2 \cdot 2^x + 4 = 0$$3^x \cdot 2^{2x} + 2^x \cdot 3^x - 2 \cdot 2^{2x} - 2 \cdot 3^x - 2 \cdot 2^x + 4 = 0$

Сгруппируем слагаемые методом разложения на множители. Сгруппируем члены, содержащие $3^x$, и оставшиеся члены:$(3^x \cdot 2^{2x} + 2^x \cdot 3^x - 2 \cdot 3^x) - (2 \cdot 2^{2x} + 2 \cdot 2^x - 4) = 0$Вынесем общие множители из каждой группы:$3^x(2^{2x} + 2^x - 2) - 2(2^{2x} + 2^x - 2) = 0$

Теперь вынесем общий множитель $(2^{2x} + 2^x - 2)$ за скобки:$(3^x - 2)(2^{2x} + 2^x - 2) = 0$

Произведение равно нулю, если один из множителей равен нулю. Это приводит к двум уравнениям:

1) $3^x - 2 = 0 \implies 3^x = 2$. Отсюда находим первый корень: $x_1 = \log_3 2$.

2) $2^{2x} + 2^x - 2 = 0$. Это квадратное уравнение относительно $2^x$. Сделаем замену $t = 2^x$, где $t > 0$.$t^2 + t - 2 = 0$. Корни этого квадратного уравнения: $t_1 = 1$ и $t_2 = -2$. Корень $t_2 = -2$ является посторонним, так как $t=2^x$ должно быть положительным. Возвращаемся к замене с $t_1 = 1$:$2^x = 1 \implies 2^x = 2^0$. Отсюда находим второй корень: $x_2 = 0$.

По условию, $m$ – это сумма корней уравнения.$m = x_1 + x_2 = \log_3 2 + 0 = \log_3 2$.

Наконец, найдем значение выражения $3^m$:$3^m = 3^{\log_3 2}$. Используя основное логарифмическое тождество $a^{\log_a b} = b$, получаем:$3^{\log_3 2} = 2$.

Ответ: 2

Помогло решение? Оставьте отзыв в комментариях ниже.

Присоединяйтесь к Телеграм-группе @gdz_by_belarus

Присоединиться

Мы подготовили для вас ответ c подробным объяснением домашего задания по алгебре за 11 класс, для упражнения номер 13 расположенного на странице 249 к учебнику 2020 года издания для учащихся школ и гимназий.

Теперь на нашем сайте ГДЗ.ТОП вы всегда легко и бесплатно найдёте условие с правильным ответом на вопрос «Как решить ДЗ» и «Как сделать» задание по алгебре к упражнению №13 (с. 249), авторов: Арефьева (Ирина Глебовна), Пирютко (Ольга Николаевна), учебного пособия издательства Народная асвета.