Номер 14, страница 249 - гдз по алгебре 11 класс учебник Арефьева, Пирютко

Алгебра, 11 класс Учебник, авторы: Арефьева Ирина Глебовна, Пирютко Ольга Николаевна, издательство Народная асвета, Минск, 2020, бирюзового цвета

Авторы: Арефьева И. Г., Пирютко О. Н.

Тип: Учебник

Издательство: Народная асвета

Год издания: 2020 - 2025

Цвет обложки: бирюзовый, зелёный с графиком

ISBN: 978-985-03-3165-6

Популярные ГДЗ в 11 классе

Тематические тесты. Тест 7. Применение свойств показательной функции. Показательные уравнения - номер 14, страница 249.

№14 (с. 249)
Условие. №14 (с. 249)
скриншот условия
Алгебра, 11 класс Учебник, авторы: Арефьева Ирина Глебовна, Пирютко Ольга Николаевна, издательство Народная асвета, Минск, 2020, бирюзового цвета, страница 249, номер 14, Условие

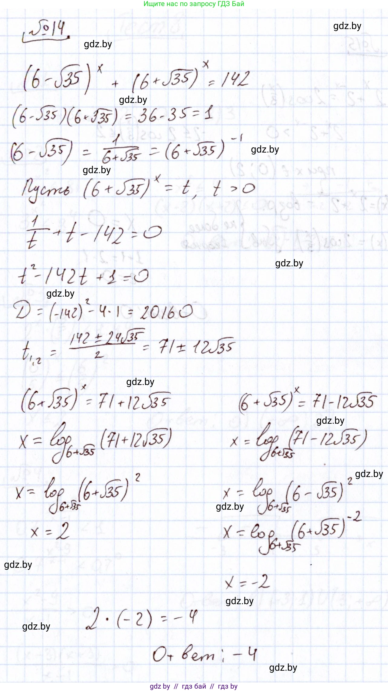
14. Найдите произведение корней уравнения

$(6 - \sqrt{35})^x + (6 + \sqrt{35})^x = 142.$

Решение. №14 (с. 249)
Алгебра, 11 класс Учебник, авторы: Арефьева Ирина Глебовна, Пирютко Ольга Николаевна, издательство Народная асвета, Минск, 2020, бирюзового цвета, страница 249, номер 14, Решение
Решение 2. №14 (с. 249)

Данное уравнение является показательным: $(6 - \sqrt{35})^x + (6 + \sqrt{35})^x = 142$.
Обратим внимание, что основания степеней $6 - \sqrt{35}$ и $6 + \sqrt{35}$ являются сопряженными числами. Найдем их произведение, используя формулу разности квадратов $(a-b)(a+b) = a^2 - b^2$:
$(6 - \sqrt{35}) \cdot (6 + \sqrt{35}) = 6^2 - (\sqrt{35})^2 = 36 - 35 = 1$.
Из этого следует, что числа являются взаимно обратными, то есть $6 - \sqrt{35} = \frac{1}{6 + \sqrt{35}} = (6 + \sqrt{35})^{-1}$.

Сделаем замену переменной. Пусть $t = (6 + \sqrt{35})^x$. Поскольку основание $6 + \sqrt{35} > 0$, значение $t$ всегда будет положительным ($t > 0$).
Тогда первый член уравнения можно выразить через $t$:
$(6 - \sqrt{35})^x = ((6 + \sqrt{35})^{-1})^x = (6 + \sqrt{35})^{-x} = t^{-1} = \frac{1}{t}$.
Подставив замену в исходное уравнение, получим:
$\frac{1}{t} + t = 142$.

Это уравнение сводится к квадратному. Умножим обе части на $t$ (что допустимо, так как $t \neq 0$):
$1 + t^2 = 142t$
$t^2 - 142t + 1 = 0$.

Решим это квадратное уравнение относительно $t$. Можно найти корни по общей формуле, а можно проверить гипотезу, что корни связаны с квадратом выражения $(6 + \sqrt{35})$.
$(6 + \sqrt{35})^2 = 6^2 + 2 \cdot 6 \cdot \sqrt{35} + (\sqrt{35})^2 = 36 + 12\sqrt{35} + 35 = 71 + 12\sqrt{35}$.
$(6 + \sqrt{35})^{-2} = \frac{1}{(6 + \sqrt{35})^2} = \frac{1}{71 + 12\sqrt{35}} = \frac{71 - 12\sqrt{35}}{(71 + 12\sqrt{35})(71 - 12\sqrt{35})} = \frac{71 - 12\sqrt{35}}{71^2 - (12\sqrt{35})^2} = \frac{71 - 12\sqrt{35}}{5041 - 5040} = 71 - 12\sqrt{35}$.
Таким образом, мы получили два возможных значения для $t$: $t_1 = 71 + 12\sqrt{35}$ и $t_2 = 71 - 12\sqrt{35}$. Проверим их по теореме Виета для уравнения $t^2 - 142t + 1 = 0$:
Сумма корней: $t_1 + t_2 = (71 + 12\sqrt{35}) + (71 - 12\sqrt{35}) = 142$. Верно.
Произведение корней: $t_1 \cdot t_2 = (71 + 12\sqrt{35})(71 - 12\sqrt{35}) = 1$. Верно.
Значит, корни для $t$ найдены правильно.

Теперь выполним обратную замену для каждого из корней $t$:
1) $(6 + \sqrt{35})^x = t_1 = 71 + 12\sqrt{35}$.
Поскольку $71 + 12\sqrt{35} = (6 + \sqrt{35})^2$, получаем уравнение:
$(6 + \sqrt{35})^x = (6 + \sqrt{35})^2$.
Отсюда первый корень исходного уравнения $x_1 = 2$.

2) $(6 + \sqrt{35})^x = t_2 = 71 - 12\sqrt{35}$.
Поскольку $71 - 12\sqrt{35} = (6 + \sqrt{35})^{-2}$, получаем уравнение:
$(6 + \sqrt{35})^x = (6 + \sqrt{35})^{-2}$.
Отсюда второй корень исходного уравнения $x_2 = -2$.

Мы нашли два корня уравнения: $2$ и $-2$.
Требуется найти их произведение:
$x_1 \cdot x_2 = 2 \cdot (-2) = -4$.
Ответ: -4.

Помогло решение? Оставьте отзыв в комментариях ниже.

Присоединяйтесь к Телеграм-группе @gdz_by_belarus

Присоединиться

Мы подготовили для вас ответ c подробным объяснением домашего задания по алгебре за 11 класс, для упражнения номер 14 расположенного на странице 249 к учебнику 2020 года издания для учащихся школ и гимназий.

Теперь на нашем сайте ГДЗ.ТОП вы всегда легко и бесплатно найдёте условие с правильным ответом на вопрос «Как решить ДЗ» и «Как сделать» задание по алгебре к упражнению №14 (с. 249), авторов: Арефьева (Ирина Глебовна), Пирютко (Ольга Николаевна), учебного пособия издательства Народная асвета.