Номер 9, страница 249 - гдз по алгебре 11 класс учебник Арефьева, Пирютко

Алгебра, 11 класс Учебник, авторы: Арефьева Ирина Глебовна, Пирютко Ольга Николаевна, издательство Народная асвета, Минск, 2020, бирюзового цвета

Авторы: Арефьева И. Г., Пирютко О. Н.

Тип: Учебник

Издательство: Народная асвета

Год издания: 2020 - 2025

Цвет обложки: бирюзовый, зелёный с графиком

ISBN: 978-985-03-3165-6

Популярные ГДЗ в 11 классе

Тематические тесты. Тест 7. Применение свойств показательной функции. Показательные уравнения - номер 9, страница 249.

№9 (с. 249)
Условие. №9 (с. 249)
скриншот условия
Алгебра, 11 класс Учебник, авторы: Арефьева Ирина Глебовна, Пирютко Ольга Николаевна, издательство Народная асвета, Минск, 2020, бирюзового цвета, страница 249, номер 9, Условие

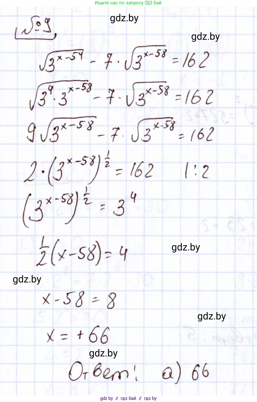
9. Решите уравнение

$ \sqrt{3^{x-54}} - 7\sqrt{3^{x-58}} = 162. $

a) 66;

б) 58;

В) 54;

Г) 68;

Д) 60.

Решение. №9 (с. 249)
Алгебра, 11 класс Учебник, авторы: Арефьева Ирина Глебовна, Пирютко Ольга Николаевна, издательство Народная асвета, Минск, 2020, бирюзового цвета, страница 249, номер 9, Решение
Решение 2. №9 (с. 249)

Исходное уравнение:

$$ \sqrt{3^{x-54}} - 7\sqrt{3^{x-58}} = 162 $$

Для решения этого уравнения преобразуем его, используя свойства степеней. Во-первых, представим корень как степень $1/2$:

$$ (3^{x-54})^{1/2} - 7 \cdot (3^{x-58})^{1/2} = 162 $$

Используя свойство $(a^m)^n = a^{m \cdot n}$, получаем:

$$ 3^{\frac{x-54}{2}} - 7 \cdot 3^{\frac{x-58}{2}} = 162 $$

Чтобы выделить общий множитель, преобразуем показатель степени первого слагаемого:

$$ \frac{x-54}{2} = \frac{x-58+4}{2} = \frac{x-58}{2} + \frac{4}{2} = \frac{x-58}{2} + 2 $$

Подставим это выражение обратно в уравнение и применим свойство $a^{b+c} = a^b \cdot a^c$:

$$ 3^{\frac{x-58}{2} + 2} - 7 \cdot 3^{\frac{x-58}{2}} = 162 $$$$ 3^{\frac{x-58}{2}} \cdot 3^2 - 7 \cdot 3^{\frac{x-58}{2}} = 162 $$$$ 9 \cdot 3^{\frac{x-58}{2}} - 7 \cdot 3^{\frac{x-58}{2}} = 162 $$

Теперь можно вынести общий множитель $3^{\frac{x-58}{2}}$ за скобки:

$$ (9 - 7) \cdot 3^{\frac{x-58}{2}} = 162 $$$$ 2 \cdot 3^{\frac{x-58}{2}} = 162 $$

Разделим обе части уравнения на 2:

$$ 3^{\frac{x-58}{2}} = \frac{162}{2} $$$$ 3^{\frac{x-58}{2}} = 81 $$

Мы знаем, что $81$ это $3$ в четвертой степени ($81 = 3^4$). Заменим 81 на $3^4$:

$$ 3^{\frac{x-58}{2}} = 3^4 $$

Так как основания степеней равны, мы можем приравнять их показатели:

$$ \frac{x-58}{2} = 4 $$

Решим полученное линейное уравнение относительно $x$:

$$ x - 58 = 4 \cdot 2 $$$$ x - 58 = 8 $$$$ x = 8 + 58 $$$$ x = 66 $$

Для проверки подставим найденное значение $x=66$ в исходное уравнение:

$$ \sqrt{3^{66-54}} - 7\sqrt{3^{66-58}} = \sqrt{3^{12}} - 7\sqrt{3^8} = 3^6 - 7 \cdot 3^4 = 729 - 7 \cdot 81 = 729 - 567 = 162 $$

Так как $162 = 162$, решение найдено верно.

Ответ: $66$.

Помогло решение? Оставьте отзыв в комментариях ниже.

Присоединяйтесь к Телеграм-группе @gdz_by_belarus

Присоединиться

Мы подготовили для вас ответ c подробным объяснением домашего задания по алгебре за 11 класс, для упражнения номер 9 расположенного на странице 249 к учебнику 2020 года издания для учащихся школ и гимназий.

Теперь на нашем сайте ГДЗ.ТОП вы всегда легко и бесплатно найдёте условие с правильным ответом на вопрос «Как решить ДЗ» и «Как сделать» задание по алгебре к упражнению №9 (с. 249), авторов: Арефьева (Ирина Глебовна), Пирютко (Ольга Николаевна), учебного пособия издательства Народная асвета.