Номер 9, страница 45 - гдз по алгебре 11 класс учебник Арефьева, Пирютко

Алгебра, 11 класс Учебник, авторы: Арефьева Ирина Глебовна, Пирютко Ольга Николаевна, издательство Народная асвета, Минск, 2020, бирюзового цвета

Авторы: Арефьева И. Г., Пирютко О. Н.

Тип: Учебник

Издательство: Народная асвета

Год издания: 2020 - 2025

Цвет обложки: бирюзовый, зелёный с графиком

ISBN: 978-985-03-3165-6

Популярные ГДЗ в 11 классе

Глава 1. Обобщение понятия степени. Я проверяю свои знания - номер 9, страница 45.

№9 (с. 45)
Условие. №9 (с. 45)
скриншот условия
Алгебра, 11 класс Учебник, авторы: Арефьева Ирина Глебовна, Пирютко Ольга Николаевна, издательство Народная асвета, Минск, 2020, бирюзового цвета, страница 45, номер 9, Условие

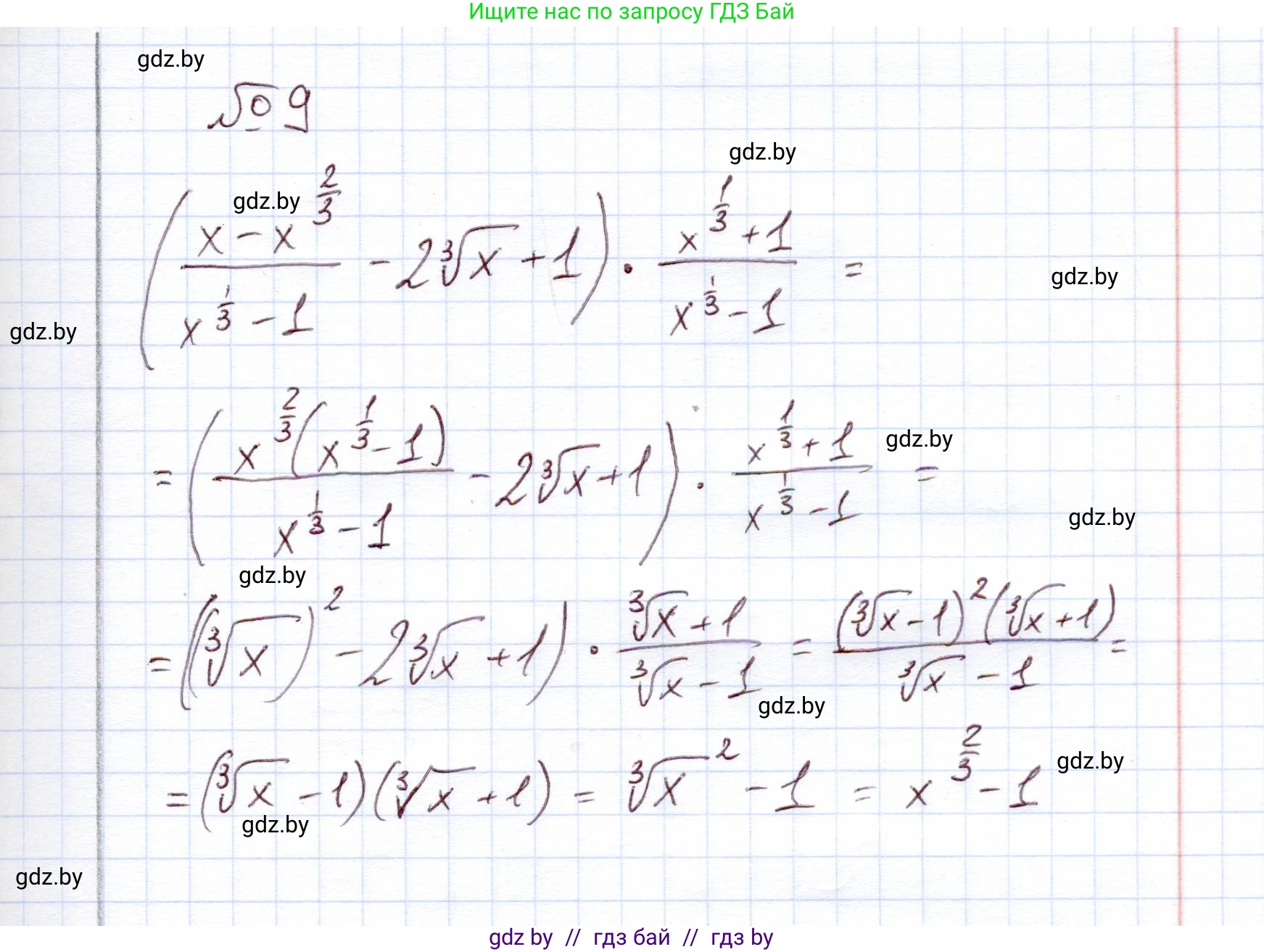
9. Упростите выражение $\left( \frac{x - x^{\frac{2}{3}}}{x^{\frac{1}{3}} - 1} - 2\sqrt[3]{x} + 1 \right) \cdot \frac{x^{\frac{1}{3}} + 1}{x^{\frac{1}{3}} - 1}$

Решение. №9 (с. 45)
Алгебра, 11 класс Учебник, авторы: Арефьева Ирина Глебовна, Пирютко Ольга Николаевна, издательство Народная асвета, Минск, 2020, бирюзового цвета, страница 45, номер 9, Решение
Решение 2. №9 (с. 45)

9.

Для упрощения данного выражения удобно ввести замену. Обозначим $y = x^{\frac{1}{3}}$.

Тогда можно выразить другие степени $x$ через $y$:

$x^{\frac{2}{3}} = (x^{\frac{1}{3}})^2 = y^2$

$x = (x^{\frac{1}{3}})^3 = y^3$

$\sqrt[3]{x} = x^{\frac{1}{3}} = y$

Теперь подставим новую переменную $y$ в исходное выражение:

$\left( \frac{x - x^{\frac{2}{3}}}{x^{\frac{1}{3}} - 1} - 2\sqrt[3]{x} + 1 \right) \cdot \frac{x^{\frac{1}{3}} + 1}{x^{\frac{1}{3}} - 1} = \left( \frac{y^3 - y^2}{y - 1} - 2y + 1 \right) \cdot \frac{y + 1}{y - 1}$

Упростим выражение в скобках по действиям. Сначала преобразуем дробь:

$\frac{y^3 - y^2}{y - 1} = \frac{y^2(y - 1)}{y - 1}$

При условии, что $y - 1 \neq 0$ (т.е. $x \neq 1$), мы можем сократить дробь на $(y - 1)$:

$\frac{y^2(y - 1)}{y - 1} = y^2$

Теперь подставим результат обратно в скобки:

$y^2 - 2y + 1$

Полученное выражение является формулой квадрата разности:

$y^2 - 2y + 1 = (y - 1)^2$

Теперь все исходное выражение принимает вид:

$(y - 1)^2 \cdot \frac{y + 1}{y - 1}$

Сокращаем на $(y - 1)$:

$(y - 1) \cdot (y + 1)$

Это формула разности квадратов:

$(y - 1)(y + 1) = y^2 - 1$

На последнем шаге выполним обратную замену, подставив $y = x^{\frac{1}{3}}$:

$y^2 - 1 = (x^{\frac{1}{3}})^2 - 1 = x^{\frac{2}{3}} - 1$

Ответ: $x^{\frac{2}{3}} - 1$

Помогло решение? Оставьте отзыв в комментариях ниже.

Присоединяйтесь к Телеграм-группе @gdz_by_belarus

Присоединиться

Мы подготовили для вас ответ c подробным объяснением домашего задания по алгебре за 11 класс, для упражнения номер 9 расположенного на странице 45 к учебнику 2020 года издания для учащихся школ и гимназий.

Теперь на нашем сайте ГДЗ.ТОП вы всегда легко и бесплатно найдёте условие с правильным ответом на вопрос «Как решить ДЗ» и «Как сделать» задание по алгебре к упражнению №9 (с. 45), авторов: Арефьева (Ирина Глебовна), Пирютко (Ольга Николаевна), учебного пособия издательства Народная асвета.