Номер 9, страница 99 - гдз по алгебре 11 класс учебник Арефьева, Пирютко

Алгебра, 11 класс Учебник, авторы: Арефьева Ирина Глебовна, Пирютко Ольга Николаевна, издательство Народная асвета, Минск, 2020, бирюзового цвета

Авторы: Арефьева И. Г., Пирютко О. Н.

Тип: Учебник

Издательство: Народная асвета

Год издания: 2020 - 2025

Цвет обложки: бирюзовый, зелёный с графиком

ISBN: 978-985-03-3165-6

Популярные ГДЗ в 11 классе

Глава 2. Показательная функция. Я проверяю свои знания - номер 9, страница 99.

№9 (с. 99)
Условие. №9 (с. 99)
скриншот условия
Алгебра, 11 класс Учебник, авторы: Арефьева Ирина Глебовна, Пирютко Ольга Николаевна, издательство Народная асвета, Минск, 2020, бирюзового цвета, страница 99, номер 9, Условие

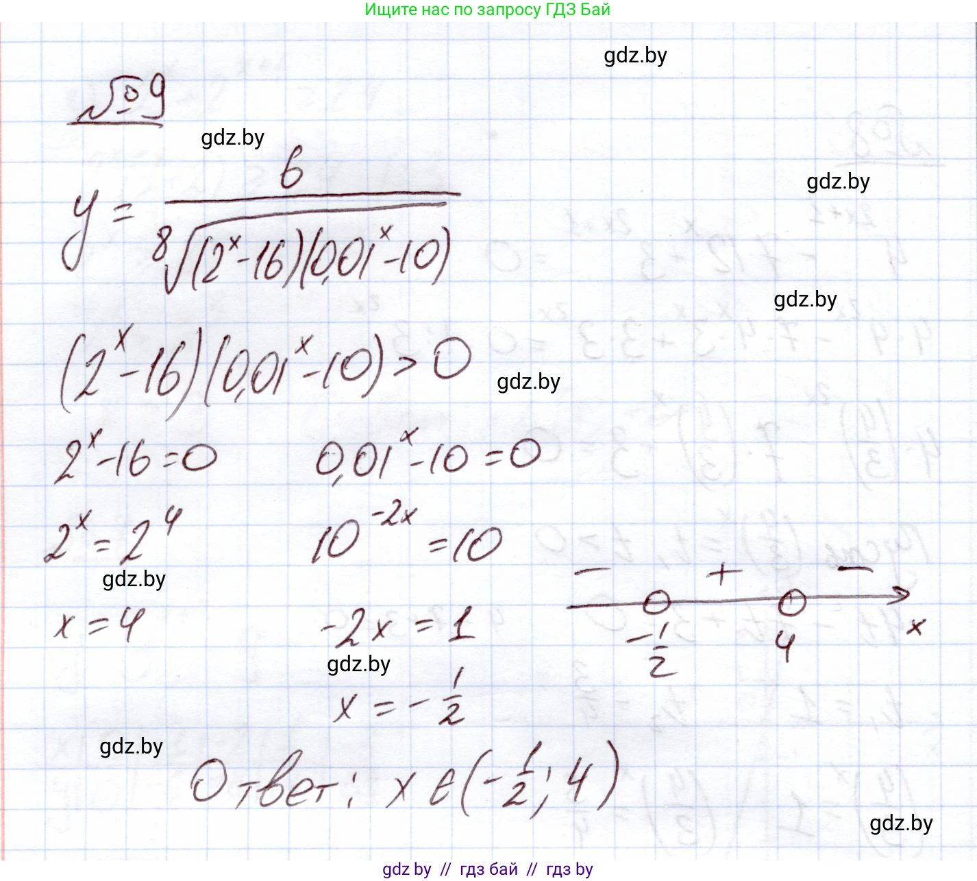
9. Найдите область определения функции $y = \frac{6}{\sqrt[8]{(2^x - 16)(0.01^x - 10)}}$

Решение. №9 (с. 99)
Алгебра, 11 класс Учебник, авторы: Арефьева Ирина Глебовна, Пирютко Ольга Николаевна, издательство Народная асвета, Минск, 2020, бирюзового цвета, страница 99, номер 9, Решение
Решение 2. №9 (с. 99)

Область определения данной функции $y = \frac{6}{\sqrt[8]{(2^x - 16)(0,01^x - 10)}}$ находится из условия, что выражение, стоящее под корнем четной степени (в данном случае, 8-й степени), должно быть положительным. Кроме того, это выражение находится в знаменателе, поэтому оно не может быть равно нулю. Объединяя эти два условия, получаем, что подкоренное выражение должно быть строго больше нуля.

Таким образом, мы должны решить следующее неравенство:

$(2^x - 16)(0,01^x - 10) > 0$

Решим это неравенство методом интервалов. Для этого найдем нули каждого множителя, приравняв их к нулю.

1. Найдем нуль первого множителя:
$2^x - 16 = 0$
$2^x = 16$
$2^x = 2^4$
$x_1 = 4$

2. Найдем нуль второго множителя:
$0,01^x - 10 = 0$
Преобразуем основание $0,01$ в степень числа 10: $0,01 = \frac{1}{100} = 10^{-2}$.
$(10^{-2})^x = 10^1$
$10^{-2x} = 10^1$
Так как основания степеней равны, приравниваем показатели:
$-2x = 1$
$x_2 = -0,5$

Теперь отметим найденные точки $x = -0,5$ и $x = 4$ на числовой прямой. Они разбивают прямую на три интервала: $(-\infty; -0,5)$, $(-0,5; 4)$ и $(4; +\infty)$. Определим знак выражения $(2^x - 16)(0,01^x - 10)$ на каждом из этих интервалов, подставив в него по одной контрольной точке из каждого интервала.

  • Интервал $(4; +\infty)$. Возьмем контрольную точку $x = 5$.
    Первый множитель: $2^5 - 16 = 32 - 16 = 16 > 0$.
    Второй множитель: $0,01^5 - 10 = (10^{-2})^5 - 10 = 10^{-10} - 10 < 0$.
    Знак произведения: $(+) \cdot (-) = (-)$.

  • Интервал $(-0,5; 4)$. Возьмем контрольную точку $x = 0$.
    Первый множитель: $2^0 - 16 = 1 - 16 = -15 < 0$.
    Второй множитель: $0,01^0 - 10 = 1 - 10 = -9 < 0$.
    Знак произведения: $(-) \cdot (-) = (+)$.

  • Интервал $(-\infty; -0,5)$. Возьмем контрольную точку $x = -1$.
    Первый множитель: $2^{-1} - 16 = 0,5 - 16 = -15,5 < 0$.
    Второй множитель: $0,01^{-1} - 10 = (10^{-2})^{-1} - 10 = 10^2 - 10 = 100 - 10 = 90 > 0$.
    Знак произведения: $(-) \cdot (+) = (-)$.

Поскольку мы решаем неравенство со знаком "$>$", нас интересует интервал, на котором произведение положительно. Таким интервалом является $(-0,5; 4)$.

Следовательно, область определения функции есть интервал от -0,5 до 4, не включая концы.

Ответ: $x \in (-0,5; 4)$.

Помогло решение? Оставьте отзыв в комментариях ниже.

Присоединяйтесь к Телеграм-группе @gdz_by_belarus

Присоединиться

Мы подготовили для вас ответ c подробным объяснением домашего задания по алгебре за 11 класс, для упражнения номер 9 расположенного на странице 99 к учебнику 2020 года издания для учащихся школ и гимназий.

Теперь на нашем сайте ГДЗ.ТОП вы всегда легко и бесплатно найдёте условие с правильным ответом на вопрос «Как решить ДЗ» и «Как сделать» задание по алгебре к упражнению №9 (с. 99), авторов: Арефьева (Ирина Глебовна), Пирютко (Ольга Николаевна), учебного пособия издательства Народная асвета.