Номер 229, страница 73 - гдз по геометрии 11 класс учебник Латотин, Чеботаревский

Геометрия, 11 класс Учебник, авторы: Латотин Леонид Александрович, Чеботаревский Борис Дмитриевич, Горбунова Ирина Владимировна, Цыбулько Оксана Евгеньевна, издательство Белорусская Энциклопедия имени Петруся Бровки, Минск, 2020, белого цвета

Авторы: Латотин Л. А., Чеботаревский Б. Д., Горбунова И. В., Цыбулько О. Е.

Тип: Учебник

Издательство: Белорусская Энциклопедия имени Петруся Бровки

Год издания: 2020 - 2025

Уровень обучения: базовый и повышенный

Цвет обложки: белый в клеточку

ISBN: 978-985-11-1251-3

Допущено Министерством образования Республики Беларусь

Популярные ГДЗ в 11 классе

Раздел 2. Пирамида и конус. Параграф 4. Конус - номер 229, страница 73.

№229 (с. 73)
Условие. №229 (с. 73)
скриншот условия
Геометрия, 11 класс Учебник, авторы: Латотин Леонид Александрович, Чеботаревский Борис Дмитриевич, Горбунова Ирина Владимировна, Цыбулько Оксана Евгеньевна, издательство Белорусская Энциклопедия имени Петруся Бровки, Минск, 2020, белого цвета, страница 73, номер 229, Условие

229. Высота конуса равна 4 см, а радиус — 6 см. Найдите полную поверхность правильной $n$-угольной пирамиды, вписанной в конус, учитывая, что:

а) $n = 3$;

б) $n = 4$;

в) $n = 6$;

г) $n = 5$.

Решение 1. №229 (с. 73)
Геометрия, 11 класс Учебник, авторы: Латотин Леонид Александрович, Чеботаревский Борис Дмитриевич, Горбунова Ирина Владимировна, Цыбулько Оксана Евгеньевна, издательство Белорусская Энциклопедия имени Петруся Бровки, Минск, 2020, белого цвета, страница 73, номер 229, Решение 1 Геометрия, 11 класс Учебник, авторы: Латотин Леонид Александрович, Чеботаревский Борис Дмитриевич, Горбунова Ирина Владимировна, Цыбулько Оксана Евгеньевна, издательство Белорусская Энциклопедия имени Петруся Бровки, Минск, 2020, белого цвета, страница 73, номер 229, Решение 1 (продолжение 2) Геометрия, 11 класс Учебник, авторы: Латотин Леонид Александрович, Чеботаревский Борис Дмитриевич, Горбунова Ирина Владимировна, Цыбулько Оксана Евгеньевна, издательство Белорусская Энциклопедия имени Петруся Бровки, Минск, 2020, белого цвета, страница 73, номер 229, Решение 1 (продолжение 3) Геометрия, 11 класс Учебник, авторы: Латотин Леонид Александрович, Чеботаревский Борис Дмитриевич, Горбунова Ирина Владимировна, Цыбулько Оксана Евгеньевна, издательство Белорусская Энциклопедия имени Петруся Бровки, Минск, 2020, белого цвета, страница 73, номер 229, Решение 1 (продолжение 4) Геометрия, 11 класс Учебник, авторы: Латотин Леонид Александрович, Чеботаревский Борис Дмитриевич, Горбунова Ирина Владимировна, Цыбулько Оксана Евгеньевна, издательство Белорусская Энциклопедия имени Петруся Бровки, Минск, 2020, белого цвета, страница 73, номер 229, Решение 1 (продолжение 5)
Решение 2. №229 (с. 73)
Геометрия, 11 класс Учебник, авторы: Латотин Леонид Александрович, Чеботаревский Борис Дмитриевич, Горбунова Ирина Владимировна, Цыбулько Оксана Евгеньевна, издательство Белорусская Энциклопедия имени Петруся Бровки, Минск, 2020, белого цвета, страница 73, номер 229, Решение 2 Геометрия, 11 класс Учебник, авторы: Латотин Леонид Александрович, Чеботаревский Борис Дмитриевич, Горбунова Ирина Владимировна, Цыбулько Оксана Евгеньевна, издательство Белорусская Энциклопедия имени Петруся Бровки, Минск, 2020, белого цвета, страница 73, номер 229, Решение 2 (продолжение 2)
Решение 3. №229 (с. 73)

Для решения задачи найдем полную поверхность правильной n-угольной пирамиды, вписанной в конус. Полная поверхность пирамиды $S_{полн}$ равна сумме площади её основания $S_{осн}$ и площади боковой поверхности $S_{бок}$:

$S_{полн} = S_{осн} + S_{бок}$

Параметры конуса: высота $H = 4$ см, радиус основания $R = 6$ см. Так как пирамида вписана в конус, её высота равна высоте конуса ($H = 4$ см), а основание пирамиды (правильный n-угольник) вписано в окружность основания конуса. Радиус этой окружности равен $R = 6$ см.

Общие формулы для правильного n-угольника, вписанного в окружность радиуса $R$:

  • Сторона n-угольника: $a_n = 2R \sin(\frac{180^\circ}{n})$
  • Апофема n-угольника (радиус вписанной окружности): $r_n = R \cos(\frac{180^\circ}{n})$
  • Площадь основания (n-угольника): $S_{осн} = \frac{1}{2} n a_n r_n = \frac{1}{2} n R^2 \sin(\frac{360^\circ}{n})$

Площадь боковой поверхности пирамиды: $S_{бок} = \frac{1}{2} P \cdot h_a$, где $P = n \cdot a_n$ — периметр основания, а $h_a$ — апофема пирамиды (высота боковой грани). Апофему пирамиды найдем по теореме Пифагора из прямоугольного треугольника, образованного высотой пирамиды $H$ и апофемой основания $r_n$:

$h_a = \sqrt{H^2 + r_n^2}$

Подставим известные значения $H=4$ см и $R=6$ см в формулы для каждого случая.

а) n = 3

Основание — правильный (равносторонний) треугольник.

1. Найдем площадь основания. Сторона треугольника $a_3 = 2R \sin(\frac{180^\circ}{3}) = 2 \cdot 6 \cdot \sin(60^\circ) = 12 \cdot \frac{\sqrt{3}}{2} = 6\sqrt{3}$ см.
Площадь равностороннего треугольника: $S_{осн} = \frac{a_3^2 \sqrt{3}}{4} = \frac{(6\sqrt{3})^2 \sqrt{3}}{4} = \frac{108\sqrt{3}}{4} = 27\sqrt{3}$ см2.

2. Найдем площадь боковой поверхности.
Апофема основания: $r_3 = R \cos(\frac{180^\circ}{3}) = 6 \cdot \cos(60^\circ) = 6 \cdot \frac{1}{2} = 3$ см.
Апофема пирамиды: $h_a = \sqrt{H^2 + r_3^2} = \sqrt{4^2 + 3^2} = \sqrt{16 + 9} = \sqrt{25} = 5$ см.
Периметр основания: $P = 3 \cdot a_3 = 3 \cdot 6\sqrt{3} = 18\sqrt{3}$ см.
$S_{бок} = \frac{1}{2} P \cdot h_a = \frac{1}{2} \cdot 18\sqrt{3} \cdot 5 = 45\sqrt{3}$ см2.

3. Найдем полную поверхность пирамиды.
$S_{полн} = S_{осн} + S_{бок} = 27\sqrt{3} + 45\sqrt{3} = 72\sqrt{3}$ см2.

Ответ: $72\sqrt{3}$ см2.

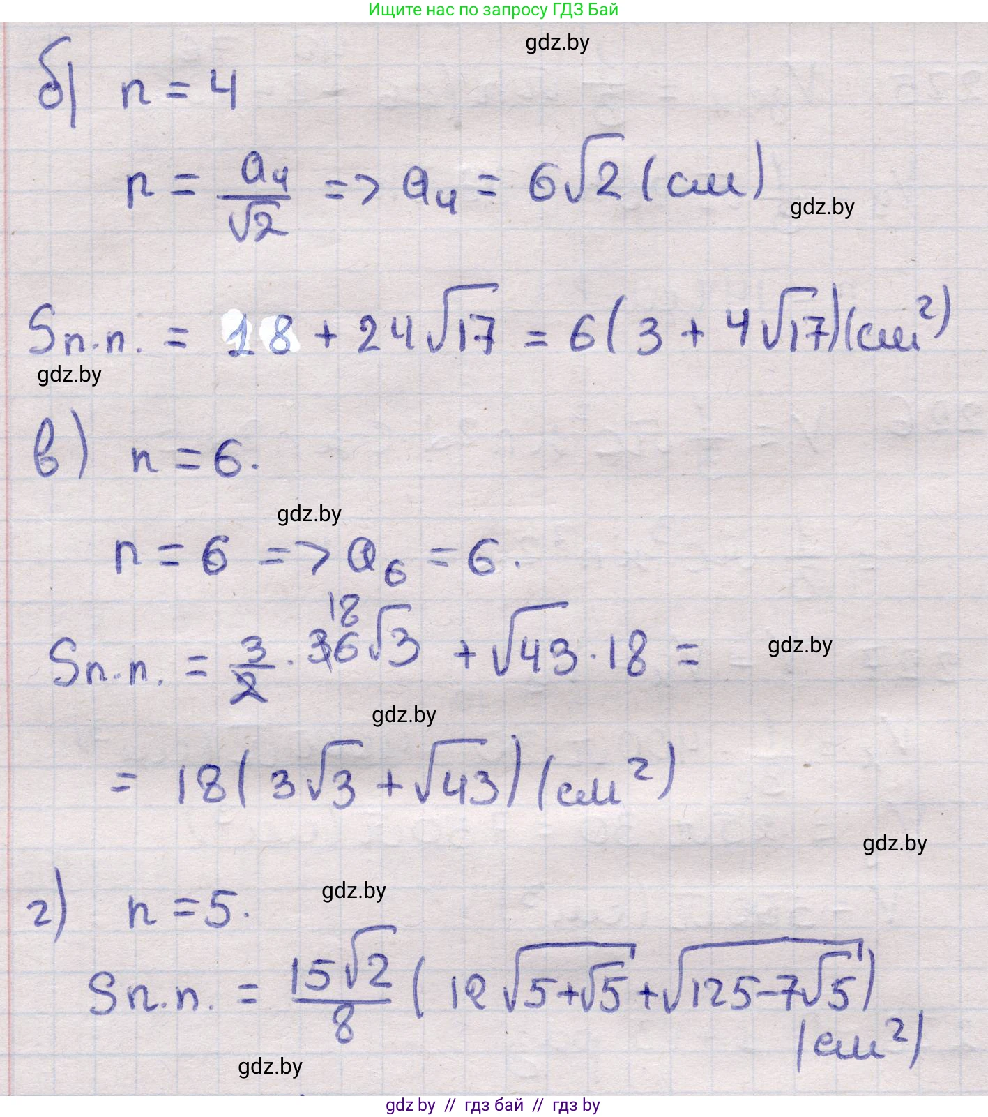
б) n = 4

Основание — квадрат.

1. Найдем площадь основания. Сторона квадрата $a_4 = 2R \sin(\frac{180^\circ}{4}) = 2 \cdot 6 \cdot \sin(45^\circ) = 12 \cdot \frac{\sqrt{2}}{2} = 6\sqrt{2}$ см.
Площадь квадрата: $S_{осн} = a_4^2 = (6\sqrt{2})^2 = 72$ см2.

2. Найдем площадь боковой поверхности.
Апофема основания: $r_4 = R \cos(\frac{180^\circ}{4}) = 6 \cdot \cos(45^\circ) = 6 \cdot \frac{\sqrt{2}}{2} = 3\sqrt{2}$ см.
Апофема пирамиды: $h_a = \sqrt{H^2 + r_4^2} = \sqrt{4^2 + (3\sqrt{2})^2} = \sqrt{16 + 18} = \sqrt{34}$ см.
Периметр основания: $P = 4 \cdot a_4 = 4 \cdot 6\sqrt{2} = 24\sqrt{2}$ см.
$S_{бок} = \frac{1}{2} P \cdot h_a = \frac{1}{2} \cdot 24\sqrt{2} \cdot \sqrt{34} = 12\sqrt{68} = 12\sqrt{4 \cdot 17} = 24\sqrt{17}$ см2.

3. Найдем полную поверхность пирамиды.
$S_{полн} = S_{осн} + S_{бок} = 72 + 24\sqrt{17} = 24(3 + \sqrt{17})$ см2.

Ответ: $24(3 + \sqrt{17})$ см2.

в) n = 6

Основание — правильный шестиугольник.

1. Найдем площадь основания. Сторона шестиугольника $a_6 = 2R \sin(\frac{180^\circ}{6}) = 2 \cdot 6 \cdot \sin(30^\circ) = 12 \cdot \frac{1}{2} = 6$ см. (Для правильного шестиугольника сторона равна радиусу описанной окружности).
Площадь правильного шестиугольника: $S_{осн} = \frac{3\sqrt{3}}{2} a_6^2 = \frac{3\sqrt{3}}{2} \cdot 6^2 = \frac{3\sqrt{3} \cdot 36}{2} = 54\sqrt{3}$ см2.

2. Найдем площадь боковой поверхности.
Апофема основания: $r_6 = R \cos(\frac{180^\circ}{6}) = 6 \cdot \cos(30^\circ) = 6 \cdot \frac{\sqrt{3}}{2} = 3\sqrt{3}$ см.
Апофема пирамиды: $h_a = \sqrt{H^2 + r_6^2} = \sqrt{4^2 + (3\sqrt{3})^2} = \sqrt{16 + 27} = \sqrt{43}$ см.
Периметр основания: $P = 6 \cdot a_6 = 6 \cdot 6 = 36$ см.
$S_{бок} = \frac{1}{2} P \cdot h_a = \frac{1}{2} \cdot 36 \cdot \sqrt{43} = 18\sqrt{43}$ см2.

3. Найдем полную поверхность пирамиды.
$S_{полн} = S_{осн} + S_{бок} = 54\sqrt{3} + 18\sqrt{43} = 18(3\sqrt{3} + \sqrt{43})$ см2.

Ответ: $18(3\sqrt{3} + \sqrt{43})$ см2.

г) n = 5

Основание — правильный пятиугольник.

1. Найдем площадь основания.
$S_{осн} = \frac{1}{2} n R^2 \sin(\frac{360^\circ}{n}) = \frac{1}{2} \cdot 5 \cdot 6^2 \sin(\frac{360^\circ}{5}) = \frac{5}{2} \cdot 36 \sin(72^\circ) = 90 \sin(72^\circ)$ см2.

2. Найдем площадь боковой поверхности.
Апофема основания: $r_5 = R \cos(\frac{180^\circ}{5}) = 6 \cos(36^\circ)$ см.
Апофема пирамиды: $h_a = \sqrt{H^2 + r_5^2} = \sqrt{4^2 + (6 \cos(36^\circ))^2} = \sqrt{16 + 36 \cos^2(36^\circ)}$ см.
Сторона основания: $a_5 = 2R \sin(\frac{180^\circ}{5}) = 2 \cdot 6 \sin(36^\circ) = 12 \sin(36^\circ)$ см.
Периметр основания: $P = 5 \cdot a_5 = 5 \cdot 12 \sin(36^\circ) = 60 \sin(36^\circ)$ см.
$S_{бок} = \frac{1}{2} P \cdot h_a = \frac{1}{2} \cdot 60 \sin(36^\circ) \cdot \sqrt{16 + 36 \cos^2(36^\circ)} = 30 \sin(36^\circ) \sqrt{16 + 36 \cos^2(36^\circ)}$ см2.

3. Найдем полную поверхность пирамиды.
$S_{полн} = S_{осн} + S_{бок} = 90 \sin(72^\circ) + 30 \sin(36^\circ) \sqrt{16 + 36 \cos^2(36^\circ)}$.
Вынесем общий множитель и упростим:
$S_{полн} = 90 \cdot (2 \sin(36^\circ)\cos(36^\circ)) + 30 \sin(36^\circ) \cdot 2\sqrt{4 + 9 \cos^2(36^\circ)}$
$S_{полн} = 180 \sin(36^\circ)\cos(36^\circ) + 60 \sin(36^\circ) \sqrt{4 + 9 \cos^2(36^\circ)}$
$S_{полн} = 60 \sin(36^\circ) (3\cos(36^\circ) + \sqrt{4 + 9 \cos^2(36^\circ)})$ см2.

Ответ: $60 \sin(36^\circ) (3\cos(36^\circ) + \sqrt{4 + 9 \cos^2(36^\circ)})$ см2.

Помогло решение? Оставьте отзыв в комментариях ниже.

Присоединяйтесь к Телеграм-группе @gdz_by_belarus

Присоединиться

Мы подготовили для вас ответ c подробным объяснением домашего задания по геометрии за 11 класс, для упражнения номер 229 расположенного на странице 73 к учебнику 2020 года издания для учащихся школ и гимназий.

Теперь на нашем сайте ГДЗ.ТОП вы всегда легко и бесплатно найдёте условие с правильным ответом на вопрос «Как решить ДЗ» и «Как сделать» задание по геометрии к упражнению №229 (с. 73), авторов: Латотин (Леонид Александрович), Чеботаревский (Борис Дмитриевич), Горбунова (Ирина Владимировна), Цыбулько (Оксана Евгеньевна), базовый и повышенный уровень обучения учебного пособия издательства Белорусская Энциклопедия имени Петруся Бровки.