Номер 89, страница 32 - гдз по геометрии 11 класс учебник Латотин, Чеботаревский

Геометрия, 11 класс Учебник, авторы: Латотин Леонид Александрович, Чеботаревский Борис Дмитриевич, Горбунова Ирина Владимировна, Цыбулько Оксана Евгеньевна, издательство Белорусская Энциклопедия имени Петруся Бровки, Минск, 2020, белого цвета

Авторы: Латотин Л. А., Чеботаревский Б. Д., Горбунова И. В., Цыбулько О. Е.

Тип: Учебник

Издательство: Белорусская Энциклопедия имени Петруся Бровки

Год издания: 2020 - 2025

Уровень обучения: базовый и повышенный

Цвет обложки: белый в клеточку

ISBN: 978-985-11-1251-3

Допущено Министерством образования Республики Беларусь

Популярные ГДЗ в 11 классе

Раздел 1. Призма и цилиндр. Параграф 2. Цилиндр - номер 89, страница 32.

№89 (с. 32)
Условие. №89 (с. 32)
скриншот условия
Геометрия, 11 класс Учебник, авторы: Латотин Леонид Александрович, Чеботаревский Борис Дмитриевич, Горбунова Ирина Владимировна, Цыбулько Оксана Евгеньевна, издательство Белорусская Энциклопедия имени Петруся Бровки, Минск, 2020, белого цвета, страница 32, номер 89, Условие

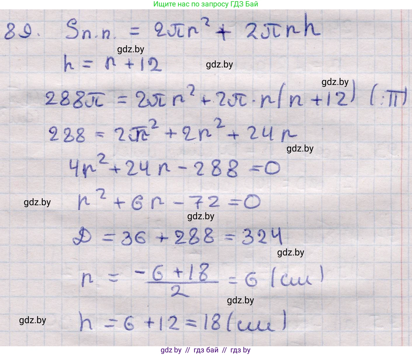
89. Найдите радиус основания цилиндра с полной поверхностью $288\pi \text{ см}^2$ и его высоту, учитывая, что она на $12 \text{ см}$ больше радиуса основания.

Решение 1. №89 (с. 32)
Геометрия, 11 класс Учебник, авторы: Латотин Леонид Александрович, Чеботаревский Борис Дмитриевич, Горбунова Ирина Владимировна, Цыбулько Оксана Евгеньевна, издательство Белорусская Энциклопедия имени Петруся Бровки, Минск, 2020, белого цвета, страница 32, номер 89, Решение 1 Геометрия, 11 класс Учебник, авторы: Латотин Леонид Александрович, Чеботаревский Борис Дмитриевич, Горбунова Ирина Владимировна, Цыбулько Оксана Евгеньевна, издательство Белорусская Энциклопедия имени Петруся Бровки, Минск, 2020, белого цвета, страница 32, номер 89, Решение 1 (продолжение 2)
Решение 2. №89 (с. 32)
Геометрия, 11 класс Учебник, авторы: Латотин Леонид Александрович, Чеботаревский Борис Дмитриевич, Горбунова Ирина Владимировна, Цыбулько Оксана Евгеньевна, издательство Белорусская Энциклопедия имени Петруся Бровки, Минск, 2020, белого цвета, страница 32, номер 89, Решение 2
Решение 3. №89 (с. 32)

Обозначим радиус основания цилиндра как $r$, а его высоту как $h$.

Площадь полной поверхности цилиндра вычисляется по формуле, которая представляет собой сумму площадей двух оснований и площади боковой поверхности:
$S_{полн} = 2 \cdot S_{осн} + S_{бок} = 2\pi r^2 + 2\pi rh = 2\pi r(r+h)$

Из условия задачи нам известно:
1) Площадь полной поверхности $S_{полн} = 288\pi$ см2.
2) Высота на 12 см больше радиуса: $h = r + 12$.

Подставим выражение для высоты $h$ из второго условия в формулу площади полной поверхности:
$S_{полн} = 2\pi r(r + (r + 12))$
$S_{полн} = 2\pi r(2r + 12)$

Теперь подставим известное значение площади $S_{полн}$ и решим получившееся уравнение относительно $r$:
$288\pi = 2\pi r(2r + 12)$

Разделим обе части уравнения на $2\pi$, чтобы упростить его:
$144 = r(2r + 12)$

Раскроем скобки и приведем уравнение к стандартному квадратному виду $ax^2 + bx + c = 0$:
$144 = 2r^2 + 12r$
$2r^2 + 12r - 144 = 0$

Разделим все члены уравнения на 2:
$r^2 + 6r - 72 = 0$

Решим полученное квадратное уравнение. Можно использовать теорему Виета или формулу для корней через дискриминант. Найдем дискриминант $D = b^2 - 4ac$:
$D = 6^2 - 4 \cdot 1 \cdot (-72) = 36 + 288 = 324$
$\sqrt{D} = \sqrt{324} = 18$

Теперь найдем корни уравнения:
$r_1 = \frac{-b + \sqrt{D}}{2a} = \frac{-6 + 18}{2 \cdot 1} = \frac{12}{2} = 6$
$r_2 = \frac{-b - \sqrt{D}}{2a} = \frac{-6 - 18}{2 \cdot 1} = \frac{-24}{2} = -12$

Поскольку радиус является геометрической величиной, он не может быть отрицательным. Следовательно, мы выбираем положительный корень $r = 6$.
Таким образом, радиус основания цилиндра равен 6 см.

Теперь, зная радиус, найдем высоту цилиндра по формуле $h = r + 12$:
$h = 6 + 12 = 18$ см.

Ответ: радиус основания цилиндра равен 6 см, высота цилиндра равна 18 см.

Помогло решение? Оставьте отзыв в комментариях ниже.

Присоединяйтесь к Телеграм-группе @gdz_by_belarus

Присоединиться

Мы подготовили для вас ответ c подробным объяснением домашего задания по геометрии за 11 класс, для упражнения номер 89 расположенного на странице 32 к учебнику 2020 года издания для учащихся школ и гимназий.

Теперь на нашем сайте ГДЗ.ТОП вы всегда легко и бесплатно найдёте условие с правильным ответом на вопрос «Как решить ДЗ» и «Как сделать» задание по геометрии к упражнению №89 (с. 32), авторов: Латотин (Леонид Александрович), Чеботаревский (Борис Дмитриевич), Горбунова (Ирина Владимировна), Цыбулько (Оксана Евгеньевна), базовый и повышенный уровень обучения учебного пособия издательства Белорусская Энциклопедия имени Петруся Бровки.