Номер 15, страница 210 - гдз по алгебре 7-9 класс сборник задач Арефьева, Пирютко

Алгебра, 7-9 класс Сборник задач, авторы: Арефьева Ирина Глебовна, Пирютко Ольга Николаевна, издательство Народная асвета, Минск, 2020

Авторы: Арефьева И. Г., Пирютко О. Н.

Тип: Сборник задач

Издательство: Народная асвета

Год издания: 2020 - 2025

Цвет обложки: синий с графиками

Допущено Министерством образования Республики Беларусь

Популярные ГДЗ в 7 классе

Итоговые тесты. 9 класс - номер 15, страница 210.

№15 (с. 210)
Условие. №15 (с. 210)
скриншот условия
Алгебра, 7-9 класс Сборник задач, авторы: Арефьева Ирина Глебовна, Пирютко Ольга Николаевна, издательство Народная асвета, Минск, 2020, страница 210, номер 15, Условие

15. Найдите наибольший корень уравнения

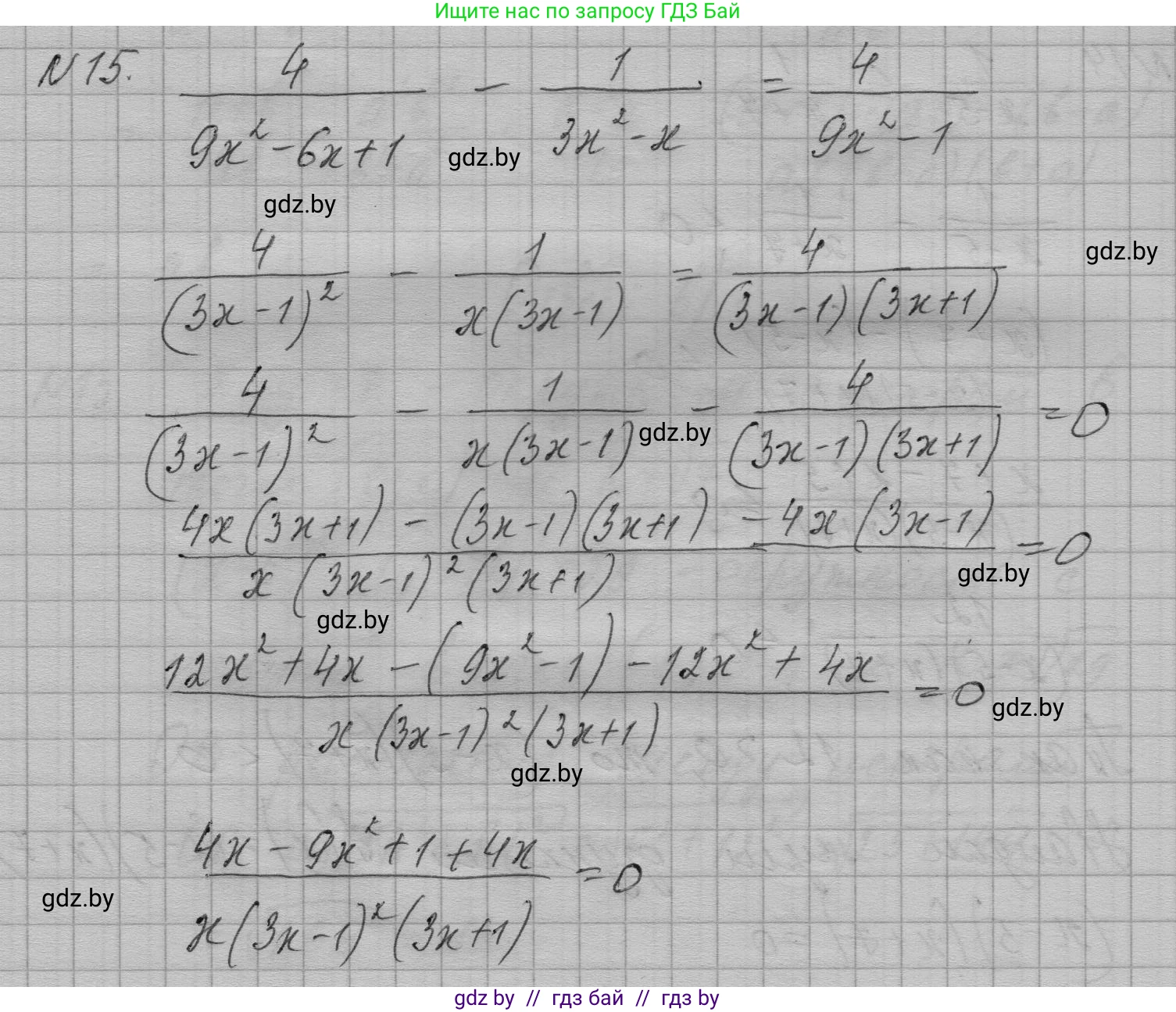
$\frac{4}{9x^2 - 6x + 1} - \frac{1}{3x^2 - x} = \frac{4}{9x^2 - 1}$

Решение. №15 (с. 210)
Алгебра, 7-9 класс Сборник задач, авторы: Арефьева Ирина Глебовна, Пирютко Ольга Николаевна, издательство Народная асвета, Минск, 2020, страница 210, номер 15, Решение Алгебра, 7-9 класс Сборник задач, авторы: Арефьева Ирина Глебовна, Пирютко Ольга Николаевна, издательство Народная асвета, Минск, 2020, страница 210, номер 15, Решение (продолжение 2)
Решение 2. №15 (с. 210)

Для решения данного дробно-рационального уравнения первым шагом найдем область допустимых значений (ОДЗ), а затем преобразуем уравнение к более простому виду.

1. Нахождение области допустимых значений (ОДЗ)

Знаменатели дробей в уравнении не должны быть равны нулю. Установим ограничения для переменной $x$:

  • $9x^2 - 6x + 1 \neq 0$. Это полный квадрат: $(3x - 1)^2 \neq 0$, откуда $3x - 1 \neq 0$, следовательно, $x \neq \frac{1}{3}$.
  • $3x^2 - x \neq 0$. Вынесем $x$ за скобки: $x(3x - 1) \neq 0$, откуда $x \neq 0$ и $3x - 1 \neq 0$, то есть $x \neq \frac{1}{3}$.
  • $9x^2 - 1 \neq 0$. Это разность квадратов: $(3x - 1)(3x + 1) \neq 0$, откуда $3x - 1 \neq 0$ и $3x + 1 \neq 0$, то есть $x \neq \frac{1}{3}$ и $x \neq -\frac{1}{3}$.

Таким образом, область допустимых значений уравнения: $x \in \mathbb{R} \setminus \{-\frac{1}{3}, 0, \frac{1}{3}\}$.

2. Преобразование и решение уравнения

Перепишем уравнение, разложив знаменатели на множители:

$$ \frac{4}{(3x-1)^2} - \frac{1}{x(3x-1)} = \frac{4}{(3x-1)(3x+1)} $$

Поскольку в ОДЗ $x \neq \frac{1}{3}$, то выражение $3x - 1$ не равно нулю. Мы можем умножить обе части уравнения на $(3x - 1)$ для упрощения:

$$ \frac{4}{3x - 1} - \frac{1}{x} = \frac{4}{3x + 1} $$

Перенесем дроби с одинаковыми числителями в одну часть уравнения:

$$ \frac{4}{3x - 1} - \frac{4}{3x + 1} = \frac{1}{x} $$

Приведем дроби в левой части к общему знаменателю $(3x - 1)(3x + 1)$:

$$ \frac{4(3x + 1) - 4(3x - 1)}{(3x - 1)(3x + 1)} = \frac{1}{x} $$

Раскроем скобки и упростим числитель левой части:

$$ \frac{12x + 4 - 12x + 4}{9x^2 - 1} = \frac{1}{x} $$

$$ \frac{8}{9x^2 - 1} = \frac{1}{x} $$

Получили пропорцию. Используем правило перекрестного умножения:

$$ 8x = 1 \cdot (9x^2 - 1) $$

$$ 9x^2 - 8x - 1 = 0 $$

Решим полученное квадратное уравнение. Вычислим дискриминант:

$$ D = b^2 - 4ac = (-8)^2 - 4 \cdot 9 \cdot (-1) = 64 + 36 = 100 $$

Найдем корни уравнения:

$$ x_1 = \frac{-b + \sqrt{D}}{2a} = \frac{8 + \sqrt{100}}{2 \cdot 9} = \frac{8 + 10}{18} = \frac{18}{18} = 1 $$

$$ x_2 = \frac{-b - \sqrt{D}}{2a} = \frac{8 - \sqrt{100}}{2 \cdot 9} = \frac{8 - 10}{18} = \frac{-2}{18} = -\frac{1}{9} $$

3. Проверка корней и выбор ответа

Оба найденных корня ($x_1 = 1$ и $x_2 = -\frac{1}{9}$) входят в область допустимых значений, так как они не равны $-\frac{1}{3}$, $0$ или $\frac{1}{3}$.

В задании требуется найти наибольший корень. Сравним полученные значения:

$$ 1 > -\frac{1}{9} $$

Наибольшим корнем является 1.

Ответ: 1

Помогло решение? Оставьте отзыв в комментариях ниже.

Присоединяйтесь к Телеграм-группе @gdz_by_belarus

Присоединиться

Мы подготовили для вас ответ c подробным объяснением домашего задания по алгебре за 7-9 класс, для упражнения номер 15 расположенного на странице 210 к сборнику задач 2020 года издания для учащихся школ и гимназий.

Теперь на нашем сайте ГДЗ.ТОП вы всегда легко и бесплатно найдёте условие с правильным ответом на вопрос «Как решить ДЗ» и «Как сделать» задание по алгебре к упражнению №15 (с. 210), авторов: Арефьева (Ирина Глебовна), Пирютко (Ольга Николаевна), учебного пособия издательства Народная асвета.