Номер 1.68, страница 18 - гдз по алгебре 7 класс учебник Арефьева, Пирютко

Алгебра, 7 класс Учебник, авторы: Арефьева Ирина Глебовна, Пирютко Ольга Николаевна, издательство Народная асвета, Минск, 2022, зелёного цвета

Авторы: Арефьева И. Г., Пирютко О. Н.

Тип: Учебник

Издательство: Народная асвета

Год издания: 2022 - 2025

Цвет обложки: зелёный с графиком

ISBN: ISBN 978-985-03-3770-2

Допущено Министерством образования Республики Беларусь

Популярные ГДЗ в 7 классе

Глава 1. Степень с натуральным и целым показателями. Параграф 1. Степень с натуральным показателем и ее свойства - номер 1.68, страница 18.

№1.68 (с. 18)
Условие. №1.68 (с. 18)
скриншот условия
Алгебра, 7 класс Учебник, авторы: Арефьева Ирина Глебовна, Пирютко Ольга Николаевна, издательство Народная асвета, Минск, 2022, зелёного цвета, страница 18, номер 1.68, Условие

1.68. Какое свойство нужно использовать для записи произведения степеней в виде степени? Представьте произведение степеней в виде степени:

а) $3^4 \cdot 3^8;$

б) $9^6 \cdot 9;$

в) $b^5 \cdot b^6;$

г) $(2a)^3 \cdot (2a)^4;$

д) $c^3 c^4 c^8;$

е) $a^2 a^9 a.$

Решение. №1.68 (с. 18)
Алгебра, 7 класс Учебник, авторы: Арефьева Ирина Глебовна, Пирютко Ольга Николаевна, издательство Народная асвета, Минск, 2022, зелёного цвета, страница 18, номер 1.68, Решение
Решение 2. №1.68 (с. 18)

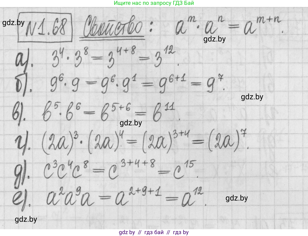
Для того чтобы записать произведение степеней в виде одной степени, необходимо использовать свойство умножения степеней с одинаковым основанием.

Это свойство формулируется так: при умножении степеней с одинаковым основанием, основание оставляют прежним, а показатели степеней складывают.

Формула этого свойства: $a^m \cdot a^n = a^{m+n}$

Решим представленные примеры, используя это свойство.

а) Дано произведение $3^4 \cdot 3^8$. Основание у степеней одинаковое и равно 3. Чтобы представить это произведение в виде степени, нужно сложить показатели 4 и 8.

$3^4 \cdot 3^8 = 3^{4+8} = 3^{12}$

Ответ: $3^{12}$

б) Дано произведение $9^6 \cdot 9$. Любое число без показателя степени можно рассматривать как число в первой степени, то есть $9 = 9^1$. Основание у степеней одинаковое и равно 9. Складываем показатели 6 и 1.

$9^6 \cdot 9 = 9^6 \cdot 9^1 = 9^{6+1} = 9^7$

Ответ: $9^7$

в) Дано произведение $b^5 \cdot b^6$. Основание у степеней одинаковое и равно $b$. Складываем показатели 5 и 6.

$b^5 \cdot b^6 = b^{5+6} = b^{11}$

Ответ: $b^{11}$

г) Дано произведение $(2a)^3 \cdot (2a)^4$. В данном случае основание степени — это целое выражение $(2a)$. Оно одинаковое для обоих множителей. Складываем показатели 3 и 4.

$(2a)^3 \cdot (2a)^4 = (2a)^{3+4} = (2a)^7$

Ответ: $(2a)^7$

д) Дано произведение $c^3 c^4 c^8$. Свойство умножения степеней применяется и для трех множителей с одинаковым основанием $c$. Складываем все три показателя: 3, 4 и 8.

$c^3 \cdot c^4 \cdot c^8 = c^{3+4+8} = c^{15}$

Ответ: $c^{15}$

е) Дано произведение $a^2 a^9 a$. Множитель $a$ равен $a^1$. Основание у всех множителей одинаковое и равно $a$. Складываем показатели 2, 9 и 1.

$a^2 \cdot a^9 \cdot a = a^2 \cdot a^9 \cdot a^1 = a^{2+9+1} = a^{12}$

Ответ: $a^{12}$

Помогло решение? Оставьте отзыв в комментариях ниже.

Присоединяйтесь к Телеграм-группе @gdz_by_belarus

Присоединиться

Мы подготовили для вас ответ c подробным объяснением домашего задания по алгебре за 7 класс, для упражнения номер 1.68 расположенного на странице 18 к учебнику 2022 года издания для учащихся школ и гимназий.

Теперь на нашем сайте ГДЗ.ТОП вы всегда легко и бесплатно найдёте условие с правильным ответом на вопрос «Как решить ДЗ» и «Как сделать» задание по алгебре к упражнению №1.68 (с. 18), авторов: Арефьева (Ирина Глебовна), Пирютко (Ольга Николаевна), учебного пособия издательства Народная асвета.