Номер 3.105, страница 171 - гдз по алгебре 7 класс учебник Арефьева, Пирютко

Алгебра, 7 класс Учебник, авторы: Арефьева Ирина Глебовна, Пирютко Ольга Николаевна, издательство Народная асвета, Минск, 2022, зелёного цвета

Авторы: Арефьева И. Г., Пирютко О. Н.

Тип: Учебник

Издательство: Народная асвета

Год издания: 2022 - 2025

Цвет обложки: зелёный с графиком

ISBN: ISBN 978-985-03-3770-2

Допущено Министерством образования Республики Беларусь

Популярные ГДЗ в 7 классе

Глава 3. Линейные уравнения. Линейные неравенства. Линейная функция. Параграф 16. Решение текстовых задач с помощью линейных уравнений - номер 3.105, страница 171.

№3.105 (с. 171)
Условие. №3.105 (с. 171)
скриншот условия
Алгебра, 7 класс Учебник, авторы: Арефьева Ирина Глебовна, Пирютко Ольга Николаевна, издательство Народная асвета, Минск, 2022, зелёного цвета, страница 171, номер 3.105, Условие

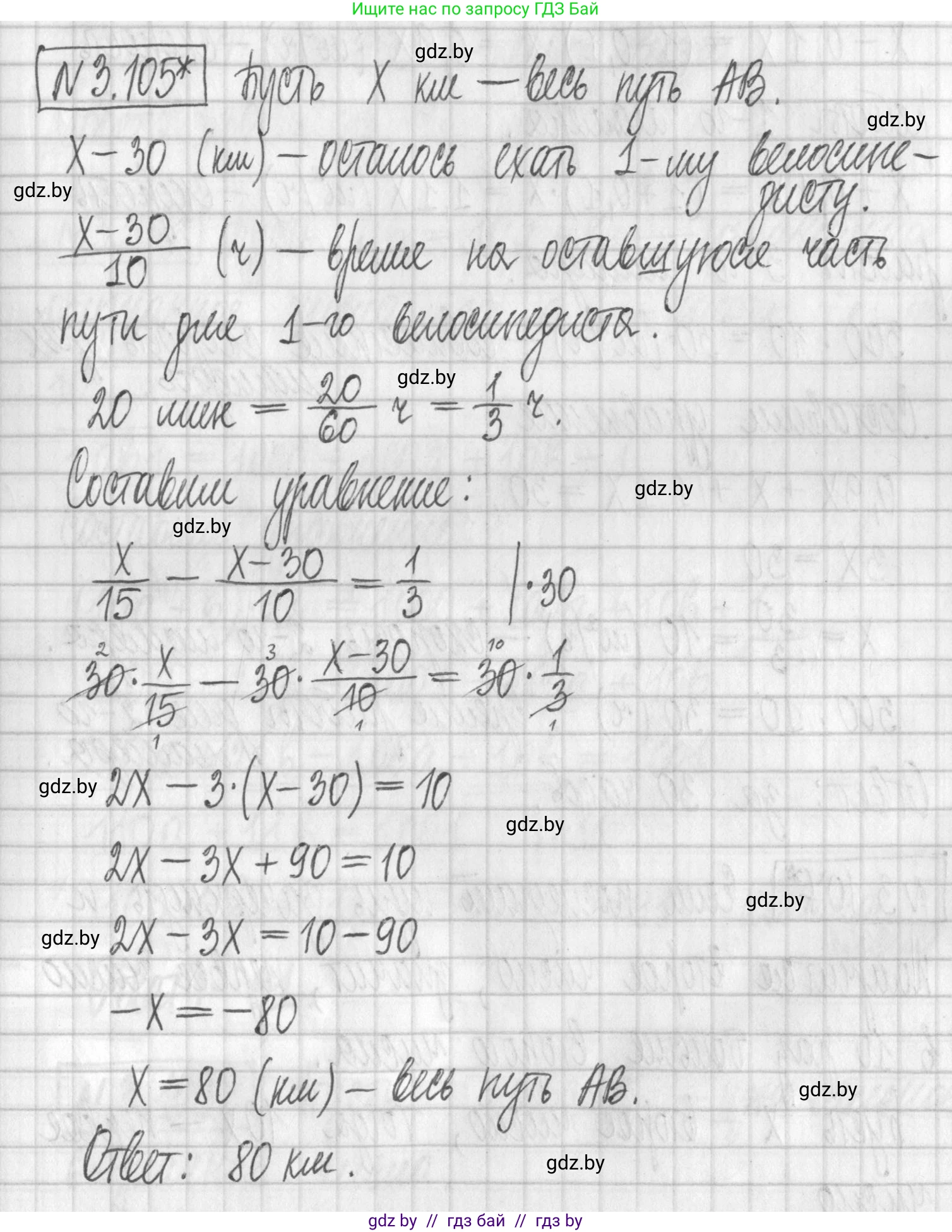
3.105*. Из пункта A в пункт B выехал велосипедист со скоростью $10 \frac{\text{км}}{\text{ч}}$. Он проехал 30 км, когда из пункта A со скоростью $15 \frac{\text{км}}{\text{ч}}$ выехал второй велосипедист, который прибыл в пункт B на 20 мин позже первого. Найдите расстояние между пунктами A и B.

Решение. №3.105 (с. 171)
Алгебра, 7 класс Учебник, авторы: Арефьева Ирина Глебовна, Пирютко Ольга Николаевна, издательство Народная асвета, Минск, 2022, зелёного цвета, страница 171, номер 3.105, Решение
Решение 2. №3.105 (с. 171)

Для решения задачи необходимо составить уравнение, связывающее время, скорость и расстояние для двух велосипедистов. Обозначим искомое расстояние между пунктами А и В как $S$ (в км).

1. Анализ начальных условий и времени.

Скорость первого велосипедиста $v_1 = 10 \frac{км}{ч}$.
Скорость второго велосипедиста $v_2 = 15 \frac{км}{ч}$.
Первый велосипедист проехал 30 км до того, как выехал второй. Найдем, сколько времени ему на это потребовалось (это будет временная фора первого велосипедиста):
$t_{фора} = \frac{30 \text{ км}}{10 \frac{км}{ч}} = 3$ часа.
Это означает, что второй велосипедист выехал на 3 часа позже первого.

2. Составление и решение уравнения.

Выразим время, которое каждый велосипедист потратил на весь путь $S$:
Время первого велосипедиста: $t_1 = \frac{S}{v_1} = \frac{S}{10}$ часов.
Время второго велосипедиста: $t_2 = \frac{S}{v_2} = \frac{S}{15}$ часов.

По условию, второй велосипедист прибыл в пункт В на 20 минут позже первого. Переведем 20 минут в часы:
$20 \text{ мин} = \frac{20}{60} \text{ часа} = \frac{1}{3}$ часа.

Теперь составим уравнение. Общее время второго велосипедиста (с учетом его позднего старта) на $\frac{1}{3}$ часа больше, чем общее время первого:
$t_1 + \frac{1}{3} = t_{фора} + t_2$
Подставим выражения для $t_1$ и $t_2$:
$\frac{S}{10} + \frac{1}{3} = 3 + \frac{S}{15}$

Для решения уравнения перенесем слагаемые с переменной $S$ в левую часть, а числовые значения — в правую:
$\frac{S}{10} - \frac{S}{15} = 3 - \frac{1}{3}$

Приведем дроби к общему знаменателю. Для левой части это 30, для правой — 3.
$\frac{3S}{30} - \frac{2S}{30} = \frac{9}{3} - \frac{1}{3}$
$\frac{3S - 2S}{30} = \frac{8}{3}$
$\frac{S}{30} = \frac{8}{3}$

Найдем $S$:
$S = \frac{8 \cdot 30}{3} = 8 \cdot 10 = 80$

Ответ: Расстояние между пунктами А и В равно 80 км.

Помогло решение? Оставьте отзыв в комментариях ниже.

Присоединяйтесь к Телеграм-группе @gdz_by_belarus

Присоединиться

Мы подготовили для вас ответ c подробным объяснением домашего задания по алгебре за 7 класс, для упражнения номер 3.105 расположенного на странице 171 к учебнику 2022 года издания для учащихся школ и гимназий.

Теперь на нашем сайте ГДЗ.ТОП вы всегда легко и бесплатно найдёте условие с правильным ответом на вопрос «Как решить ДЗ» и «Как сделать» задание по алгебре к упражнению №3.105 (с. 171), авторов: Арефьева (Ирина Глебовна), Пирютко (Ольга Николаевна), учебного пособия издательства Народная асвета.