Номер 3.106, страница 171 - гдз по алгебре 7 класс учебник Арефьева, Пирютко

Алгебра, 7 класс Учебник, авторы: Арефьева Ирина Глебовна, Пирютко Ольга Николаевна, издательство Народная асвета, Минск, 2022, зелёного цвета

Авторы: Арефьева И. Г., Пирютко О. Н.

Тип: Учебник

Издательство: Народная асвета

Год издания: 2022 - 2025

Цвет обложки: зелёный с графиком

ISBN: ISBN 978-985-03-3770-2

Допущено Министерством образования Республики Беларусь

Популярные ГДЗ в 7 классе

Глава 3. Линейные уравнения. Линейные неравенства. Линейная функция. Параграф 16. Решение текстовых задач с помощью линейных уравнений - номер 3.106, страница 171.

№3.106 (с. 171)
Условие. №3.106 (с. 171)
скриншот условия
Алгебра, 7 класс Учебник, авторы: Арефьева Ирина Глебовна, Пирютко Ольга Николаевна, издательство Народная асвета, Минск, 2022, зелёного цвета, страница 171, номер 3.106, Условие

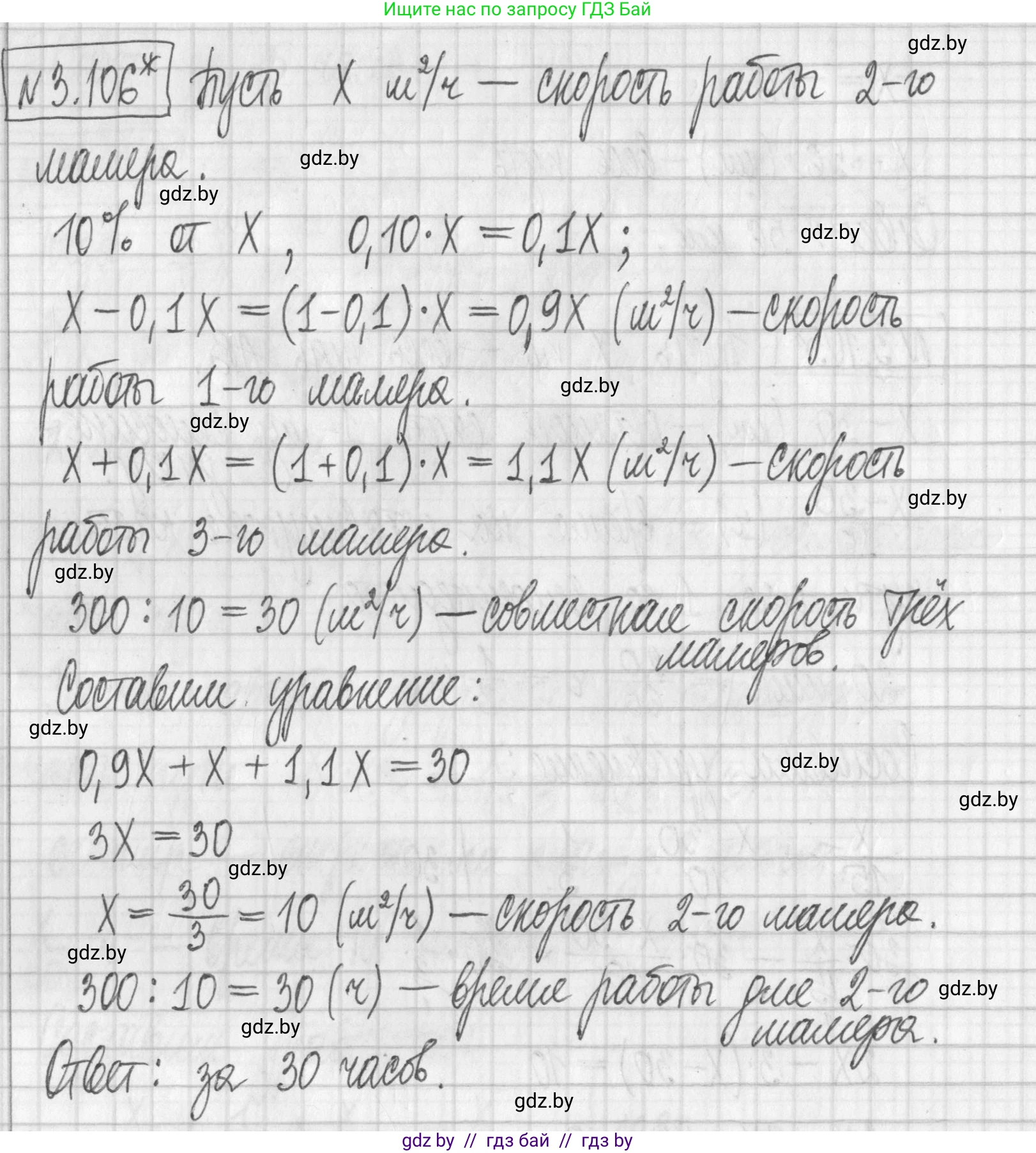
3.106*. Известно, что за 1 ч первый маляр красит площадь, на 10 % меньшую, чем второй, а третий — на 10 % большую, чем второй маляр. Втроем, работая одновременно, маляры покрасили стену площадью $300 \text{ м}^2$ за 10 ч. За сколько часов покрасил бы эту стену второй маляр, работая отдельно?

Решение. №3.106 (с. 171)
Алгебра, 7 класс Учебник, авторы: Арефьева Ирина Глебовна, Пирютко Ольга Николаевна, издательство Народная асвета, Минск, 2022, зелёного цвета, страница 171, номер 3.106, Решение
Решение 2. №3.106 (с. 171)

Для решения задачи введем переменные и последовательно выполним вычисления, исходя из условий.

1. Определение производительности (скорости работы) маляров относительно друг друга.

Пусть $v_2$ — производительность второго маляра, то есть площадь, которую он красит за 1 час (в м²/ч).

Согласно условию, первый маляр за 1 час красит площадь на 10% меньшую, чем второй. Его производительность $v_1$ равна:

$v_1 = v_2 - 0.10 \cdot v_2 = (1 - 0.1) \cdot v_2 = 0.9 v_2$

Третий маляр за 1 час красит площадь на 10% большую, чем второй. Его производительность $v_3$ равна:

$v_3 = v_2 + 0.10 \cdot v_2 = (1 + 0.1) \cdot v_2 = 1.1 v_2$

2. Нахождение общей производительности.

Когда маляры работают вместе, их производительности складываются. Общая производительность $v_{общ}$ равна сумме их индивидуальных производительностей:

$v_{общ} = v_1 + v_2 + v_3$

Подставим выражения для $v_1$ и $v_3$ через $v_2$:

$v_{общ} = 0.9 v_2 + v_2 + 1.1 v_2 = (0.9 + 1 + 1.1) v_2 = 3 v_2$

Из условия также известно, что втроем они покрасили стену площадью $A = 300$ м² за время $T = 10$ часов. Общую производительность можно найти по формуле $v = A / T$:

$v_{общ} = \frac{300 \text{ м²}}{10 \text{ ч}} = 30$ м²/ч

3. Вычисление производительности второго маляра.

Теперь мы можем приравнять два полученных выражения для общей производительности и найти $v_2$:

$3 v_2 = 30$

$v_2 = \frac{30}{3} = 10$ м²/ч

Таким образом, производительность второго маляра составляет 10 м² в час.

4. Расчет времени для второго маляра.

Теперь ответим на главный вопрос задачи: за сколько часов второй маляр покрасил бы стену площадью $A = 300$ м², работая отдельно? Обозначим это время как $T_2$.

$T_2 = \frac{A}{v_2} = \frac{300 \text{ м²}}{10 \text{ м²/ч}} = 30$ часов

За сколько часов покрасил бы эту стену второй маляр, работая отдельно? Ответ: 30.

Помогло решение? Оставьте отзыв в комментариях ниже.

Присоединяйтесь к Телеграм-группе @gdz_by_belarus

Присоединиться

Мы подготовили для вас ответ c подробным объяснением домашего задания по алгебре за 7 класс, для упражнения номер 3.106 расположенного на странице 171 к учебнику 2022 года издания для учащихся школ и гимназий.

Теперь на нашем сайте ГДЗ.ТОП вы всегда легко и бесплатно найдёте условие с правильным ответом на вопрос «Как решить ДЗ» и «Как сделать» задание по алгебре к упражнению №3.106 (с. 171), авторов: Арефьева (Ирина Глебовна), Пирютко (Ольга Николаевна), учебного пособия издательства Народная асвета.