Номер 3.146, страница 183 - гдз по алгебре 7 класс учебник Арефьева, Пирютко

Алгебра, 7 класс Учебник, авторы: Арефьева Ирина Глебовна, Пирютко Ольга Николаевна, издательство Народная асвета, Минск, 2022, зелёного цвета

Авторы: Арефьева И. Г., Пирютко О. Н.

Тип: Учебник

Издательство: Народная асвета

Год издания: 2022 - 2025

Цвет обложки: зелёный с графиком

ISBN: ISBN 978-985-03-3770-2

Допущено Министерством образования Республики Беларусь

Популярные ГДЗ в 7 классе

Глава 3. Линейные уравнения. Линейные неравенства. Линейная функция. Параграф 17. Числовые неравенства - номер 3.146, страница 183.

№3.146 (с. 183)
Условие. №3.146 (с. 183)
скриншот условия
Алгебра, 7 класс Учебник, авторы: Арефьева Ирина Глебовна, Пирютко Ольга Николаевна, издательство Народная асвета, Минск, 2022, зелёного цвета, страница 183, номер 3.146, Условие

3.146. Докажите неравенство:

а) $(a + 1)(a + 3) > a(a + 4)$;

б) $2b(b + 12) < (3b + 4)^2$;

в) $\frac{a^2 + 1}{2} \ge a$.

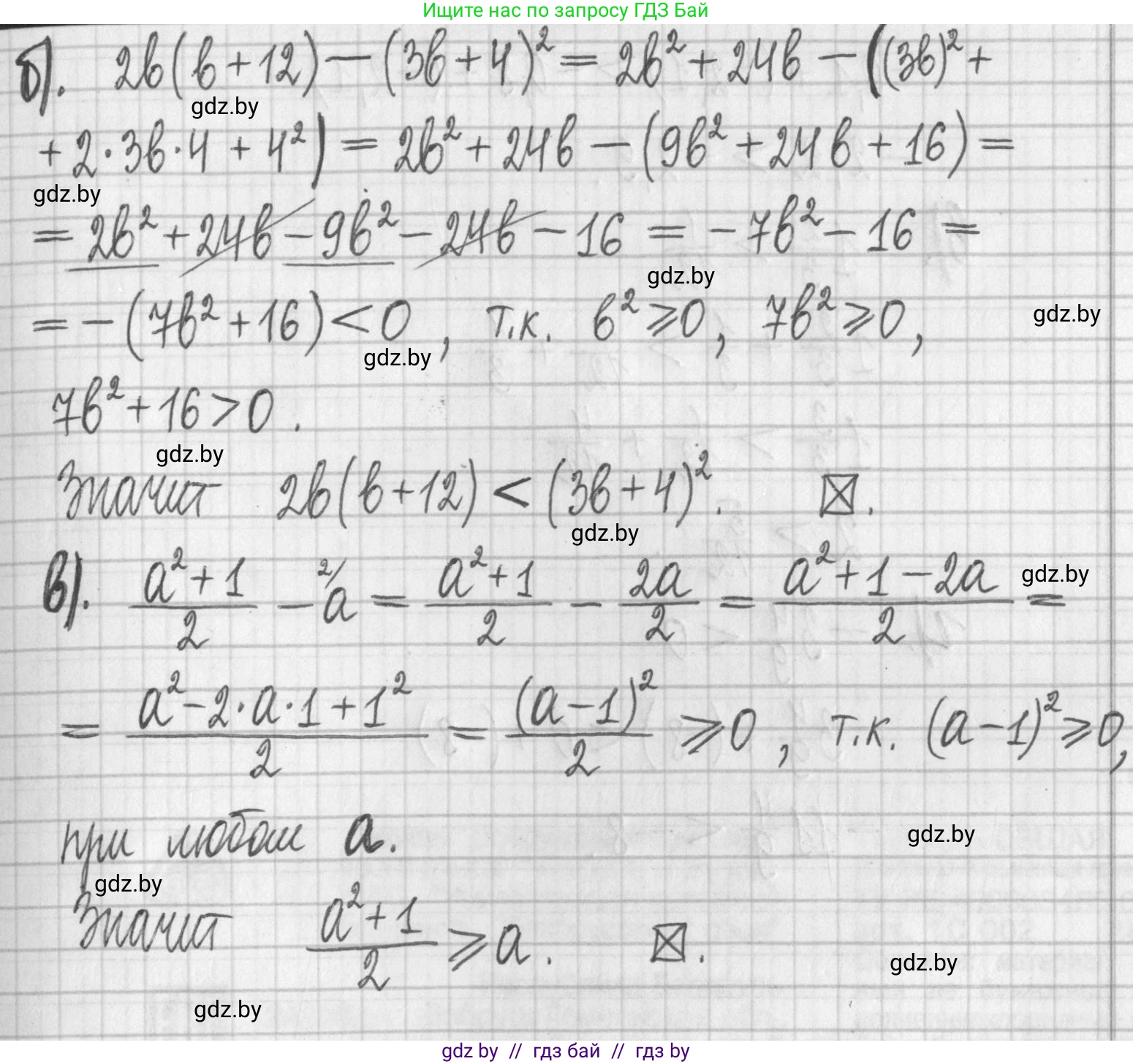
Решение. №3.146 (с. 183)
Алгебра, 7 класс Учебник, авторы: Арефьева Ирина Глебовна, Пирютко Ольга Николаевна, издательство Народная асвета, Минск, 2022, зелёного цвета, страница 183, номер 3.146, Решение Алгебра, 7 класс Учебник, авторы: Арефьева Ирина Глебовна, Пирютко Ольга Николаевна, издательство Народная асвета, Минск, 2022, зелёного цвета, страница 183, номер 3.146, Решение (продолжение 2)
Решение 2. №3.146 (с. 183)

а) Чтобы доказать неравенство $(a + 1)(a + 3) > a(a + 4)$, преобразуем его, раскрыв скобки в обеих частях.

Левая часть: $(a + 1)(a + 3) = a^2 + 3a + a + 3 = a^2 + 4a + 3$.

Правая часть: $a(a + 4) = a^2 + 4a$.

Подставим полученные выражения в исходное неравенство:

$a^2 + 4a + 3 > a^2 + 4a$

Вычтем из обеих частей выражение $a^2 + 4a$:

$(a^2 + 4a + 3) - (a^2 + 4a) > 0$

$3 > 0$

В результате преобразований мы получили верное числовое неравенство $3 > 0$, которое не зависит от значения переменной $a$. Это означает, что исходное неравенство справедливо для любого действительного числа $a$.

Ответ: Неравенство доказано.

б) Докажем неравенство $2b(b + 12) < (3b + 4)^2$.

Раскроем скобки в левой и правой частях неравенства. В правой части используем формулу квадрата суммы $(x+y)^2 = x^2+2xy+y^2$.

Левая часть: $2b(b + 12) = 2b^2 + 24b$.

Правая часть: $(3b + 4)^2 = (3b)^2 + 2 \cdot 3b \cdot 4 + 4^2 = 9b^2 + 24b + 16$.

Теперь неравенство имеет вид:

$2b^2 + 24b < 9b^2 + 24b + 16$

Перенесем все члены в правую часть, чтобы сравнить выражение с нулем:

$0 < (9b^2 - 2b^2) + (24b - 24b) + 16$

$0 < 7b^2 + 16$

Проанализируем полученное выражение $7b^2 + 16$. Для любого действительного числа $b$ его квадрат $b^2$ является неотрицательным, то есть $b^2 \ge 0$. Тогда $7b^2 \ge 0$. Если к неотрицательному числу прибавить положительное число 16, результат всегда будет положительным: $7b^2 + 16 \ge 16 > 0$.

Таким образом, неравенство $0 < 7b^2 + 16$ верно при любом значении $b$.

Ответ: Неравенство доказано.

в) Докажем неравенство $\frac{a^2 + 1}{2} \ge a$.

Для доказательства выполним равносильные преобразования. Умножим обе части неравенства на 2. Поскольку 2 > 0, знак неравенства сохранится:

$2 \cdot \frac{a^2 + 1}{2} \ge 2 \cdot a$

$a^2 + 1 \ge 2a$

Перенесем член $2a$ из правой части в левую с противоположным знаком:

$a^2 - 2a + 1 \ge 0$

Левая часть этого неравенства представляет собой полный квадрат разности по формуле $x^2 - 2xy + y^2 = (x-y)^2$:

$(a - 1)^2 \ge 0$

Квадрат любого действительного числа всегда больше или равен нулю. Следовательно, неравенство $(a - 1)^2 \ge 0$ является верным при любом значении $a$. Равенство достигается при $a = 1$.

Ответ: Неравенство доказано.

Помогло решение? Оставьте отзыв в комментариях ниже.

Присоединяйтесь к Телеграм-группе @gdz_by_belarus

Присоединиться

Мы подготовили для вас ответ c подробным объяснением домашего задания по алгебре за 7 класс, для упражнения номер 3.146 расположенного на странице 183 к учебнику 2022 года издания для учащихся школ и гимназий.

Теперь на нашем сайте ГДЗ.ТОП вы всегда легко и бесплатно найдёте условие с правильным ответом на вопрос «Как решить ДЗ» и «Как сделать» задание по алгебре к упражнению №3.146 (с. 183), авторов: Арефьева (Ирина Глебовна), Пирютко (Ольга Николаевна), учебного пособия издательства Народная асвета.