Номер 114, страница 83 - гдз по геометрии 7 класс учебник Казаков

Геометрия, 7 класс Учебник, автор: Казаков Валерий Владимирович, издательство Народная асвета, Минск, 2022, бирюзового цвета

Авторы: Казаков В. В.

Тип: Учебник

Издательство: Народная асвета

Год издания: 2022 - 2025

Цвет обложки: бирюзовый

ISBN: 978-985-03-3797-9

Допущено Министерством образования Республики Беларусь

Популярные ГДЗ в 7 классе

Глава 2. Признаки равенства треугольников. Параграф 13. Третий признак равенства треугольников. Задания к § 13. Решаем самостоятельно - номер 114, страница 83.

№114 (с. 83)
Условие. №114 (с. 83)
скриншот условия
Геометрия, 7 класс Учебник, автор: Казаков Валерий Владимирович, издательство Народная асвета, Минск, 2022, бирюзового цвета, страница 83, номер 114, Условие

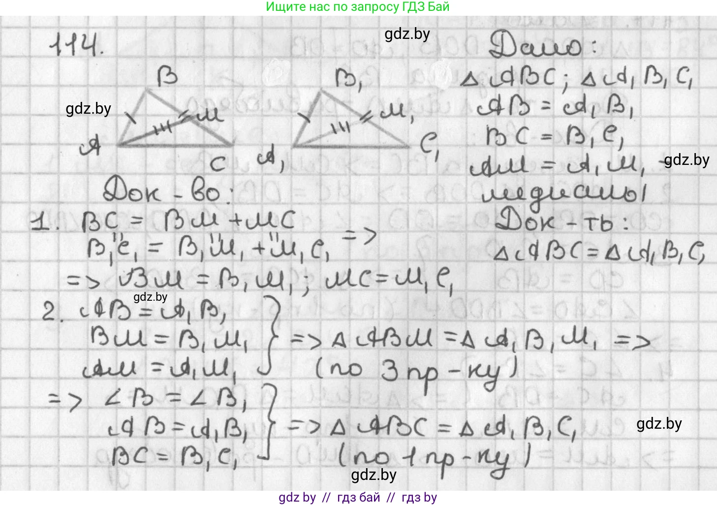
114. Докажите, что если у треугольников $ABC$ и $A_1B_1C_1$ $AB = A_1B_1$, $BC = B_1C_1$ и медиана $AM$ равна медиане $A_1M_1$, то такие треугольники равны между собой.

Решение 1. №114 (с. 83)
Геометрия, 7 класс Учебник, автор: Казаков Валерий Владимирович, издательство Народная асвета, Минск, 2022, бирюзового цвета, страница 83, номер 114, Решение 1
Решение 2. №114 (с. 83)
Геометрия, 7 класс Учебник, автор: Казаков Валерий Владимирович, издательство Народная асвета, Минск, 2022, бирюзового цвета, страница 83, номер 114, Решение 2
Решение 3. №114 (с. 83)

Рассмотрим два треугольника $ \triangle ABC $ и $ \triangle A_1B_1C_1 $.

По условию задачи нам дано:

  • $AB = A_1B_1$
  • $BC = B_1C_1$
  • $AM$ – медиана треугольника $ \triangle ABC $, проведенная к стороне $BC$.
  • $A_1M_1$ – медиана треугольника $ \triangle A_1B_1C_1 $, проведенная к стороне $B_1C_1$.
  • $AM = A_1M_1$

Нужно доказать, что $ \triangle ABC \cong \triangle A_1B_1C_1 $.

Доказательство:

1. Поскольку $AM$ является медианой, точка $M$ – середина стороны $BC$. Следовательно, $BM = \frac{1}{2}BC$.
Аналогично, так как $A_1M_1$ – медиана, точка $M_1$ – середина стороны $B_1C_1$. Следовательно, $B_1M_1 = \frac{1}{2}B_1C_1$.

2. Из условия известно, что $BC = B_1C_1$. Отсюда следует, что половины этих сторон также равны:$BM = \frac{1}{2}BC = \frac{1}{2}B_1C_1 = B_1M_1$.

3. Теперь рассмотрим треугольники $ \triangle ABM $ и $ \triangle A_1B_1M_1 $. У них:

  • $AB = A_1B_1$ (по условию)
  • $AM = A_1M_1$ (по условию)
  • $BM = B_1M_1$ (как мы доказали в пункте 2)

Таким образом, $ \triangle ABM \cong \triangle A_1B_1M_1 $ по третьему признаку равенства треугольников (по трем сторонам).

4. Из равенства треугольников $ \triangle ABM $ и $ \triangle A_1B_1M_1 $ следует равенство их соответствующих углов. В частности, $ \angle ABM = \angle A_1B_1M_1 $.Поскольку луч $BM$ совпадает с лучом $BC$, а луч $B_1M_1$ совпадает с лучом $B_1C_1$, то $ \angle ABC = \angle A_1B_1C_1 $ (или просто $ \angle B = \angle B_1 $).

5. Наконец, рассмотрим исходные треугольники $ \triangle ABC $ и $ \triangle A_1B_1C_1 $. В них:

  • $AB = A_1B_1$ (по условию)
  • $BC = B_1C_1$ (по условию)
  • $ \angle B = \angle B_1 $ (как мы доказали в пункте 4)

Следовательно, $ \triangle ABC \cong \triangle A_1B_1C_1 $ по первому признаку равенства треугольников (по двум сторонам и углу между ними).Что и требовалось доказать.

Ответ: Утверждение доказано. Треугольники $ABC$ и $A_1B_1C_1$ равны по второму признаку равенства треугольников (по двум сторонам и медиане, проведенной к третьей стороне), что сводится к доказательству их равенства по первому признаку (по двум сторонам и углу между ними).

Помогло решение? Оставьте отзыв в комментариях ниже.

Присоединяйтесь к Телеграм-группе @gdz_by_belarus

Присоединиться

Мы подготовили для вас ответ c подробным объяснением домашего задания по геометрии за 7 класс, для упражнения номер 114 расположенного на странице 83 к учебнику 2022 года издания для учащихся школ и гимназий.

Теперь на нашем сайте ГДЗ.ТОП вы всегда легко и бесплатно найдёте условие с правильным ответом на вопрос «Как решить ДЗ» и «Как сделать» задание по геометрии к упражнению №114 (с. 83), автора: Казаков (Валерий Владимирович), учебного пособия издательства Народная асвета.