Номер 1.166, страница 47 - гдз по алгебре 8 класс учебник Арефьева, Пирютко

Алгебра, 8 класс Учебник, авторы: Арефьева Ирина Глебовна, Пирютко Ольга Николаевна, издательство Адукацыя i выхаванне, Минск, 2024, бирюзового цвета

Авторы: Арефьева И. Г., Пирютко О. Н.

Тип: Учебник

Издательство: Адукацыя i выхаванне

Год издания: 2024 - 2025

Цвет обложки: бирюзовый с графиком

ISBN: ISBN 978-985-03-4081-8

Допущено Министерством образования Республики Беларусь

Популярные ГДЗ в 8 классе

Глава 1. Квадратные корни и их свойства. Действительные числа. Параграф 3. Свойства квадратных корней - номер 1.166, страница 47.

№1.166 (с. 47)
Условие. №1.166 (с. 47)
скриншот условия
Алгебра, 8 класс Учебник, авторы: Арефьева Ирина Глебовна, Пирютко Ольга Николаевна, издательство Адукацыя i выхаванне, Минск, 2024, бирюзового цвета, страница 47, номер 1.166, Условие

1.166. Упростите выражение:

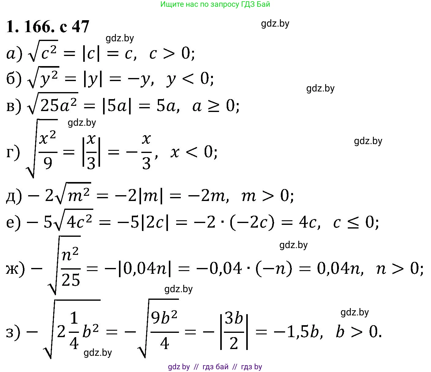
а) $\sqrt{c^2}$, если $c > 0$;

б) $\sqrt{y^2}$, если $y < 0$;

в) $\sqrt{25a^2}$, если $a \ge 0$;

г) $\sqrt{\frac{x^2}{9}}$, если $x < 0$;

д) $-2\sqrt{m^2}$, если $m > 0$;

е) $-5\sqrt{4c^2}$, если $c \le 0$;

ж) $-\sqrt{\frac{n^2}{25}}$, если $n > 0$;

з) $-\sqrt{2\frac{1}{4}b^2}$, если $b > 0$.

Решение. №1.166 (с. 47)
Алгебра, 8 класс Учебник, авторы: Арефьева Ирина Глебовна, Пирютко Ольга Николаевна, издательство Адукацыя i выхаванне, Минск, 2024, бирюзового цвета, страница 47, номер 1.166, Решение
Решение 2. №1.166 (с. 47)

Для упрощения данных выражений используется основное свойство арифметического квадратного корня: $\sqrt{a^2} = |a|$.

Напомним определение модуля числа $|x|$:

  • $|x| = x$, если $x \ge 0$ (модуль неотрицательного числа равен самому числу).
  • $|x| = -x$, если $x < 0$ (модуль отрицательного числа равен противоположному ему числу).

а) Упростить $\sqrt{c^2}$, если $c > 0$.
Согласно свойству квадратного корня, $\sqrt{c^2} = |c|$.
Так как по условию $c > 0$, то есть $c$ — положительное число, то $|c| = c$.
Ответ: $c$.

б) Упростить $\sqrt{y^2}$, если $y < 0$.
Используем свойство $\sqrt{y^2} = |y|$.
Так как по условию $y < 0$, то есть $y$ — отрицательное число, то $|y| = -y$.
Ответ: $-y$.

в) Упростить $\sqrt{25a^2}$, если $a \ge 0$.
Представим подкоренное выражение в виде квадрата: $\sqrt{25a^2} = \sqrt{(5a)^2}$.
Применим свойство корня: $\sqrt{(5a)^2} = |5a|$.
Поскольку по условию $a \ge 0$, то и $5a \ge 0$. Следовательно, $|5a| = 5a$.
Ответ: $5a$.

г) Упростить $\sqrt{\frac{x^2}{9}}$, если $x < 0$.
Представим подкоренное выражение в виде квадрата: $\sqrt{\frac{x^2}{9}} = \sqrt{(\frac{x}{3})^2}$.
Применим свойство корня: $\sqrt{(\frac{x}{3})^2} = |\frac{x}{3}|$.
Поскольку по условию $x < 0$, то и $\frac{x}{3} < 0$. Следовательно, $|\frac{x}{3}| = -\frac{x}{3}$.
Ответ: $-\frac{x}{3}$.

д) Упростить $-2\sqrt{m^2}$, если $m > 0$.
Упростим корень: $\sqrt{m^2} = |m|$. Выражение примет вид $-2|m|$.
Так как по условию $m > 0$, то $|m| = m$.
В итоге получаем: $-2 \cdot m = -2m$.
Ответ: $-2m$.

е) Упростить $-5\sqrt{4c^2}$, если $c \le 0$.
Представим подкоренное выражение в виде квадрата: $-5\sqrt{(2c)^2}$.
Упростим корень: $-5|2c|$.
Поскольку по условию $c \le 0$, то и $2c \le 0$. Следовательно, $|2c| = -2c$.
В итоге получаем: $-5 \cdot (-2c) = 10c$.
Ответ: $10c$.

ж) Упростить $-\sqrt{\frac{n^2}{25}}$, если $n > 0$.
Представим подкоренное выражение в виде квадрата: $-\sqrt{(\frac{n}{5})^2}$.
Упростим корень: $-|\frac{n}{5}|$.
Так как по условию $n > 0$, то и $\frac{n}{5} > 0$. Следовательно, $|\frac{n}{5}| = \frac{n}{5}$.
В итоге получаем: $-\frac{n}{5}$.
Ответ: $-\frac{n}{5}$.

з) Упростить $-\sqrt{2\frac{1}{4}b^2}$, если $b > 0$.
Сначала преобразуем смешанное число в неправильную дробь: $2\frac{1}{4} = \frac{2 \cdot 4 + 1}{4} = \frac{9}{4}$.
Выражение примет вид: $-\sqrt{\frac{9}{4}b^2} = -\sqrt{(\frac{3}{2}b)^2}$.
Упростим корень: $-|\frac{3}{2}b|$.
Поскольку по условию $b > 0$, то и $\frac{3}{2}b > 0$. Следовательно, $|\frac{3}{2}b| = \frac{3}{2}b$.
В итоге получаем: $-\frac{3}{2}b$.
Выделим целую часть: $-\frac{3}{2}b = -1\frac{1}{2}b$.
Ответ: -1$\frac{1}{2}b$.

Помогло решение? Оставьте отзыв в комментариях ниже.

Присоединяйтесь к Телеграм-группе @gdz_by_belarus

Присоединиться

Мы подготовили для вас ответ c подробным объяснением домашего задания по алгебре за 8 класс, для упражнения номер 1.166 расположенного на странице 47 к учебнику 2024 года издания для учащихся школ и гимназий.

Теперь на нашем сайте ГДЗ.ТОП вы всегда легко и бесплатно найдёте условие с правильным ответом на вопрос «Как решить ДЗ» и «Как сделать» задание по алгебре к упражнению №1.166 (с. 47), авторов: Арефьева (Ирина Глебовна), Пирютко (Ольга Николаевна), учебного пособия издательства Адукацыя i выхаванне.