Номер 1.167, страница 47 - гдз по алгебре 8 класс учебник Арефьева, Пирютко

Алгебра, 8 класс Учебник, авторы: Арефьева Ирина Глебовна, Пирютко Ольга Николаевна, издательство Адукацыя i выхаванне, Минск, 2024, бирюзового цвета

Авторы: Арефьева И. Г., Пирютко О. Н.

Тип: Учебник

Издательство: Адукацыя i выхаванне

Год издания: 2024 - 2025

Цвет обложки: бирюзовый с графиком

ISBN: ISBN 978-985-03-4081-8

Допущено Министерством образования Республики Беларусь

Популярные ГДЗ в 8 классе

Глава 1. Квадратные корни и их свойства. Действительные числа. Параграф 3. Свойства квадратных корней - номер 1.167, страница 47.

№1.167 (с. 47)
Условие. №1.167 (с. 47)
скриншот условия
Алгебра, 8 класс Учебник, авторы: Арефьева Ирина Глебовна, Пирютко Ольга Николаевна, издательство Адукацыя i выхаванне, Минск, 2024, бирюзового цвета, страница 47, номер 1.167, Условие

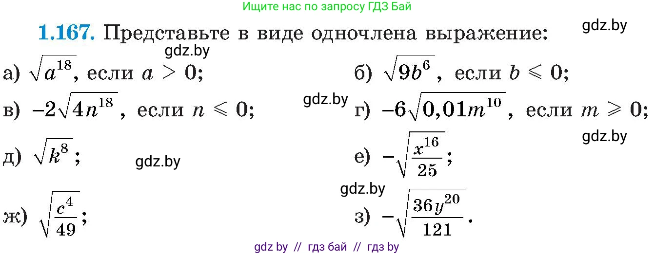
1.167. Представьте в виде одночлена выражение:

а) $\sqrt{a^{18}}$, если $a > 0$;

б) $\sqrt{9b^6}$, если $b \le 0$;

в) $-2\sqrt{4n^{18}}$, если $n \le 0$;

г) $-6\sqrt{0,01m^{10}}$, если $m \ge 0$;

д) $\sqrt{k^8}$;

е) $-\sqrt{\frac{x^{16}}{25}};

ж) $\sqrt{\frac{c^4}{49}};

з) $-\sqrt{\frac{36y^{20}}{121}}.

Решение. №1.167 (с. 47)
Алгебра, 8 класс Учебник, авторы: Арефьева Ирина Глебовна, Пирютко Ольга Николаевна, издательство Адукацыя i выхаванне, Минск, 2024, бирюзового цвета, страница 47, номер 1.167, Решение
Решение 2. №1.167 (с. 47)

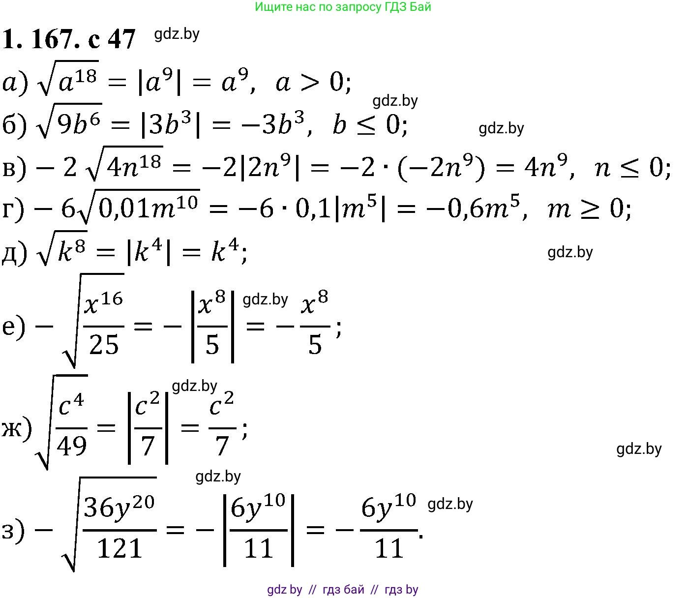
а) Для упрощения выражения $\sqrt{a^{18}}$ воспользуемся свойством арифметического квадратного корня $\sqrt{x^2} = |x|$. Представим подкоренное выражение в виде полного квадрата: $a^{18} = (a^9)^2$.
Следовательно, $\sqrt{a^{18}} = \sqrt{(a^9)^2} = |a^9|$.
Согласно условию, $a > 0$. Если основание степени положительно, то и любая его степень будет положительна, то есть $a^9 > 0$.
Поэтому, $|a^9| = a^9$.
Ответ: $a^9$.

б) Упростим выражение $\sqrt{9b^6}$. Сначала представим подкоренное выражение в виде полного квадрата: $9b^6 = (3b^3)^2$.
Используя свойство $\sqrt{x^2} = |x|$, получаем: $\sqrt{9b^6} = \sqrt{(3b^3)^2} = |3b^3| = 3|b^3|$.
По условию $b \le 0$. Если $b$ - не положительное число, то его нечетная степень $b^3$ также будет не положительной ($b^3 \le 0$).
По определению модуля, $|x| = -x$, если $x \le 0$. Значит, $|b^3| = -b^3$.
Подставим это в наше выражение: $3|b^3| = 3(-b^3) = -3b^3$.
Ответ: $-3b^3$.

в) Рассмотрим выражение $-2\sqrt{4n^{18}}$. Упростим выражение под корнем: $4n^{18} = (2n^9)^2$.
Тогда $-2\sqrt{4n^{18}} = -2\sqrt{(2n^9)^2} = -2|2n^9| = -2 \cdot 2|n^9| = -4|n^9|$.
По условию $n \le 0$. Нечетная степень не положительного числа также не положительна, то есть $n^9 \le 0$.
Следовательно, по определению модуля, $|n^9| = -n^9$.
Подставим в полученное выражение: $-4|n^9| = -4(-n^9) = 4n^9$.
Ответ: $4n^9$.

г) Упростим выражение $-6\sqrt{0,01m^{10}}$. Представим подкоренное выражение как квадрат: $0,01m^{10} = (0,1m^5)^2$.
Тогда $-6\sqrt{0,01m^{10}} = -6\sqrt{(0,1m^5)^2} = -6|0,1m^5| = -6 \cdot 0,1|m^5| = -0,6|m^5|$.
По условию $m \ge 0$. Нечетная степень не отрицательного числа также не отрицательна, то есть $m^5 \ge 0$.
Следовательно, по определению модуля, $|m^5| = m^5$.
Подставляем: $-0,6|m^5| = -0,6m^5$.
Ответ: $-0,6m^5$.

д) Для упрощения выражения $\sqrt{k^8}$ представим подкоренное выражение в виде полного квадрата: $k^8 = (k^4)^2$.
Тогда $\sqrt{k^8} = \sqrt{(k^4)^2} = |k^4|$.
Так как показатель степени 4 является четным числом, выражение $k^4$ всегда будет не отрицательным ($k^4 \ge 0$) при любом действительном значении $k$.
Следовательно, $|k^4| = k^4$.
Ответ: $k^4$.

е) Упростим выражение $-\sqrt{\frac{x^{16}}{25}}$. Представим выражение под корнем как квадрат: $\frac{x^{16}}{25} = (\frac{x^8}{5})^2$.
Тогда $-\sqrt{\frac{x^{16}}{25}} = -\sqrt{(\frac{x^8}{5})^2} = -|\frac{x^8}{5}|$.
Выражение $x^8$ имеет четную степень, поэтому $x^8 \ge 0$ для любого $x$. Значит, дробь $\frac{x^8}{5}$ также не отрицательна.
Следовательно, $|\frac{x^8}{5}| = \frac{x^8}{5}$.
Окончательно получаем: $-\frac{x^8}{5}$.
Ответ: $-\frac{x^8}{5}$.

ж) Упростим выражение $\sqrt{\frac{c^4}{49}}$. Представим подкоренное выражение как квадрат: $\frac{c^4}{49} = (\frac{c^2}{7})^2$.
Тогда $\sqrt{\frac{c^4}{49}} = \sqrt{(\frac{c^2}{7})^2} = |\frac{c^2}{7}|$.
Выражение $c^2$ всегда не отрицательно ($c^2 \ge 0$) для любого $c$. Значит, дробь $\frac{c^2}{7}$ также не отрицательна.
Следовательно, $|\frac{c^2}{7}| = \frac{c^2}{7}$.
Ответ: $\frac{c^2}{7}$.

з) Упростим выражение $-\sqrt{\frac{36y^{20}}{121}}$. Представим подкоренное выражение как квадрат: $\frac{36y^{20}}{121} = (\frac{6y^{10}}{11})^2$.
Тогда $-\sqrt{\frac{36y^{20}}{121}} = -\sqrt{(\frac{6y^{10}}{11})^2} = -|\frac{6y^{10}}{11}|$.
Выражение $y^{10}$ имеет четную степень, поэтому $y^{10} \ge 0$ для любого $y$. Значит, дробь $\frac{6y^{10}}{11}$ также не отрицательна.
Следовательно, $|\frac{6y^{10}}{11}| = \frac{6y^{10}}{11}$.
Окончательно получаем: $-\frac{6y^{10}}{11}$.
Ответ: $-\frac{6y^{10}}{11}$.

Помогло решение? Оставьте отзыв в комментариях ниже.

Присоединяйтесь к Телеграм-группе @gdz_by_belarus

Присоединиться

Мы подготовили для вас ответ c подробным объяснением домашего задания по алгебре за 8 класс, для упражнения номер 1.167 расположенного на странице 47 к учебнику 2024 года издания для учащихся школ и гимназий.

Теперь на нашем сайте ГДЗ.ТОП вы всегда легко и бесплатно найдёте условие с правильным ответом на вопрос «Как решить ДЗ» и «Как сделать» задание по алгебре к упражнению №1.167 (с. 47), авторов: Арефьева (Ирина Глебовна), Пирютко (Ольга Николаевна), учебного пособия издательства Адукацыя i выхаванне.