Номер 2.233, страница 146 - гдз по алгебре 8 класс учебник Арефьева, Пирютко

Алгебра, 8 класс Учебник, авторы: Арефьева Ирина Глебовна, Пирютко Ольга Николаевна, издательство Адукацыя i выхаванне, Минск, 2024, бирюзового цвета

Авторы: Арефьева И. Г., Пирютко О. Н.

Тип: Учебник

Издательство: Адукацыя i выхаванне

Год издания: 2024 - 2025

Цвет обложки: бирюзовый с графиком

ISBN: ISBN 978-985-03-4081-8

Допущено Министерством образования Республики Беларусь

Популярные ГДЗ в 8 классе

Глава 2. Квадратные уравнения. Параграф 12. Решение целых рациональных уравнений, сводящихся к квадратным уравнениям - номер 2.233, страница 146.

№2.233 (с. 146)
Условие. №2.233 (с. 146)
скриншот условия
Алгебра, 8 класс Учебник, авторы: Арефьева Ирина Глебовна, Пирютко Ольга Николаевна, издательство Адукацыя i выхаванне, Минск, 2024, бирюзового цвета, страница 146, номер 2.233, Условие

2.233. Выполните замену переменной и решите уравнение:

а) $(x^2 + x)(x^2 + x - 7) = 60;$

б) $(x^2 - 3x + 1)(x^2 - 3x + 3) = 3;$

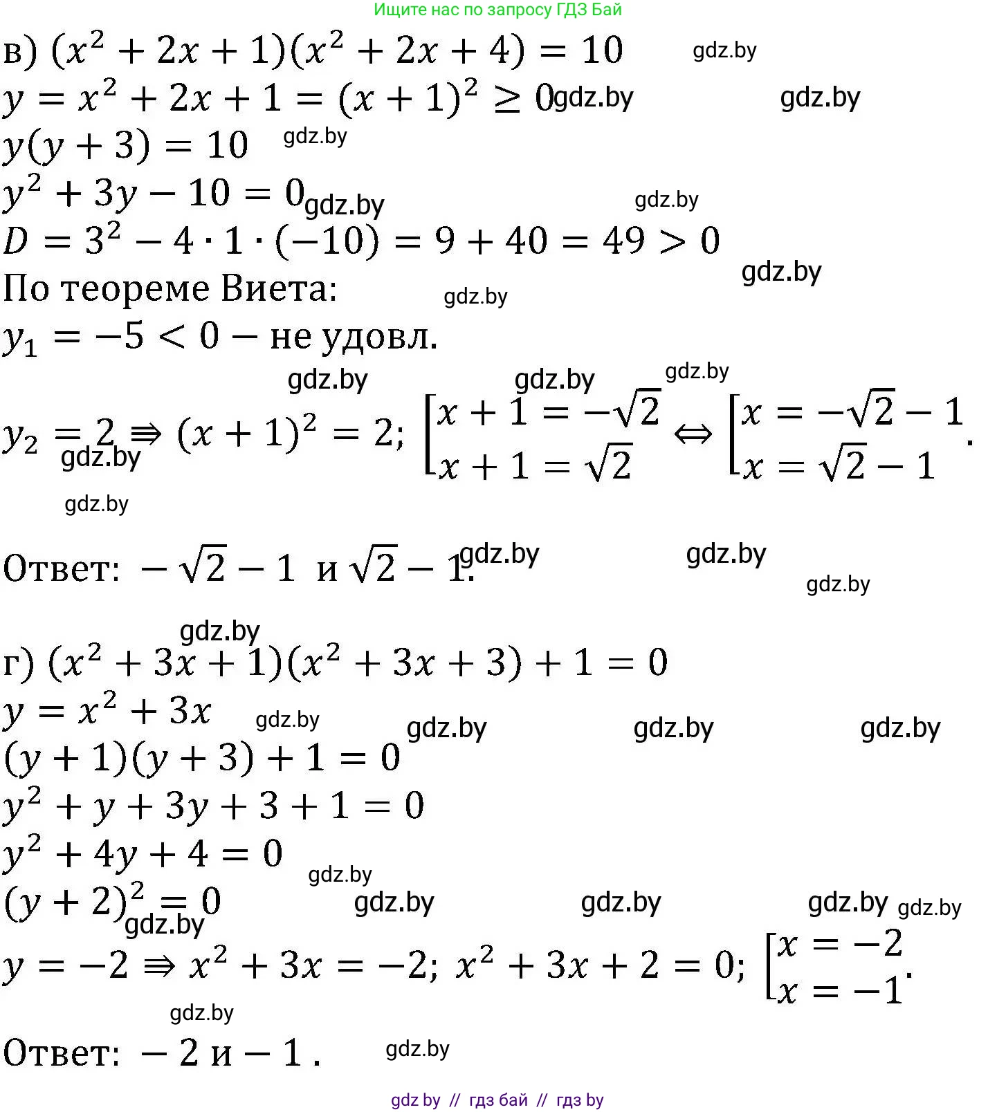
в) $(x^2 + 2x + 1)(x^2 + 2x + 4) = 10;$

г) $(x^2 + 3x + 1)(x^2 + 3x + 3) + 1 = 0.$

Решение. №2.233 (с. 146)
Алгебра, 8 класс Учебник, авторы: Арефьева Ирина Глебовна, Пирютко Ольга Николаевна, издательство Адукацыя i выхаванне, Минск, 2024, бирюзового цвета, страница 146, номер 2.233, Решение Алгебра, 8 класс Учебник, авторы: Арефьева Ирина Глебовна, Пирютко Ольга Николаевна, издательство Адукацыя i выхаванне, Минск, 2024, бирюзового цвета, страница 146, номер 2.233, Решение (продолжение 2)
Решение 2. №2.233 (с. 146)

а) $(x^2 + x)(x^2 + x - 7) = 60$

В данном уравнении выражение $(x^2 + x)$ повторяется. Выполним замену переменной. Пусть $t = x^2 + x$.

Тогда исходное уравнение принимает вид:

$t(t - 7) = 60$

Раскроем скобки и решим полученное квадратное уравнение относительно $t$:

$t^2 - 7t - 60 = 0$

Найдем корни по теореме Виета: произведение корней равно -60, а их сумма равна 7. Подбором находим корни: $t_1 = 12$ и $t_2 = -5$.

Теперь выполним обратную замену для каждого найденного значения $t$.

1) Если $t = 12$, то:

$x^2 + x = 12$

$x^2 + x - 12 = 0$

По теореме Виета: произведение корней равно -12, а их сумма равна -1. Корни: $x_1 = 3$, $x_2 = -4$.

2) Если $t = -5$, то:

$x^2 + x = -5$

$x^2 + x + 5 = 0$

Найдем дискриминант: $D = b^2 - 4ac = 1^2 - 4 \cdot 1 \cdot 5 = 1 - 20 = -19$.

Так как $D < 0$, в этом случае действительных корней нет.

Ответ: -4; 3.

б) $(x^2 - 3x + 1)(x^2 - 3x + 3) = 3$

В этом уравнении повторяется выражение $(x^2 - 3x)$. Удобно сделать замену, выбрав в качестве новой переменной выражение, являющееся средним арифметическим выражений в скобках. Пусть $t = x^2 - 3x + 2$.

Тогда:

$x^2 - 3x + 1 = (x^2 - 3x + 2) - 1 = t - 1$

$x^2 - 3x + 3 = (x^2 - 3x + 2) + 1 = t + 1$

Подставим в исходное уравнение:

$(t - 1)(t + 1) = 3$

Используем формулу разности квадратов:

$t^2 - 1 = 3$

$t^2 = 4$

Отсюда $t_1 = 2$ и $t_2 = -2$.

Выполним обратную замену.

1) Если $t = 2$, то:

$x^2 - 3x + 2 = 2$

$x^2 - 3x = 0$

$x(x - 3) = 0$

Корни: $x_1 = 0$, $x_2 = 3$.

2) Если $t = -2$, то:

$x^2 - 3x + 2 = -2$

$x^2 - 3x + 4 = 0$

Найдем дискриминант: $D = (-3)^2 - 4 \cdot 1 \cdot 4 = 9 - 16 = -7$.

Так как $D < 0$, действительных корней нет.

Ответ: 0; 3.

в) $(x^2 + 2x + 1)(x^2 + 2x + 4) = 10$

Заметим, что выражение $(x^2 + 2x)$ повторяется. Сделаем замену: пусть $t = x^2 + 2x$.

Подставим новую переменную в уравнение:

$(t + 1)(t + 4) = 10$

Раскроем скобки и решим уравнение относительно $t$:

$t^2 + 4t + t + 4 = 10$

$t^2 + 5t - 6 = 0$

По теореме Виета: произведение корней равно -6, а их сумма равна -5. Корни: $t_1 = 1$ и $t_2 = -6$.

Выполним обратную замену.

1) Если $t = 1$, то:

$x^2 + 2x = 1$

$x^2 + 2x - 1 = 0$

Найдем корни через дискриминант: $D = 2^2 - 4 \cdot 1 \cdot (-1) = 4 + 4 = 8$.

Корни: $x = \frac{-2 \pm \sqrt{8}}{2} = \frac{-2 \pm 2\sqrt{2}}{2} = -1 \pm \sqrt{2}$.

Получаем два корня: $x_1 = -1 + \sqrt{2}$, $x_2 = -1 - \sqrt{2}$.

2) Если $t = -6$, то:

$x^2 + 2x = -6$

$x^2 + 2x + 6 = 0$

Найдем дискриминант: $D = 2^2 - 4 \cdot 1 \cdot 6 = 4 - 24 = -20$.

Так как $D < 0$, действительных корней нет.

Ответ: $-1 - \sqrt{2}; -1 + \sqrt{2}$.

г) $(x^2 + 3x + 1)(x^2 + 3x + 3) + 1 = 0$

Как и в пункте б), сделаем замену $t = x^2 + 3x + 2$.

Тогда:

$x^2 + 3x + 1 = t - 1$

$x^2 + 3x + 3 = t + 1$

Подставим в уравнение:

$(t - 1)(t + 1) + 1 = 0$

$t^2 - 1 + 1 = 0$

$t^2 = 0$

Отсюда $t = 0$.

Выполним обратную замену:

$x^2 + 3x + 2 = 0$

По теореме Виета: произведение корней равно 2, а их сумма равна -3. Корни: $x_1 = -1$, $x_2 = -2$.

Ответ: -2; -1.

Помогло решение? Оставьте отзыв в комментариях ниже.

Присоединяйтесь к Телеграм-группе @gdz_by_belarus

Присоединиться

Мы подготовили для вас ответ c подробным объяснением домашего задания по алгебре за 8 класс, для упражнения номер 2.233 расположенного на странице 146 к учебнику 2024 года издания для учащихся школ и гимназий.

Теперь на нашем сайте ГДЗ.ТОП вы всегда легко и бесплатно найдёте условие с правильным ответом на вопрос «Как решить ДЗ» и «Как сделать» задание по алгебре к упражнению №2.233 (с. 146), авторов: Арефьева (Ирина Глебовна), Пирютко (Ольга Николаевна), учебного пособия издательства Адукацыя i выхаванне.