Номер 3.57, страница 173 - гдз по алгебре 8 класс учебник Арефьева, Пирютко

Алгебра, 8 класс Учебник, авторы: Арефьева Ирина Глебовна, Пирютко Ольга Николаевна, издательство Адукацыя i выхаванне, Минск, 2024, бирюзового цвета

Авторы: Арефьева И. Г., Пирютко О. Н.

Тип: Учебник

Издательство: Адукацыя i выхаванне

Год издания: 2024 - 2025

Цвет обложки: бирюзовый с графиком

ISBN: ISBN 978-985-03-4081-8

Допущено Министерством образования Республики Беларусь

Популярные ГДЗ в 8 классе

Глава 3. Квадратичная функция. Параграф 13. Квадратичная функция и ее свойства - номер 3.57, страница 173.

№3.57 (с. 173)
Условие. №3.57 (с. 173)
скриншот условия
Алгебра, 8 класс Учебник, авторы: Арефьева Ирина Глебовна, Пирютко Ольга Николаевна, издательство Адукацыя i выхаванне, Минск, 2024, бирюзового цвета, страница 173, номер 3.57, Условие

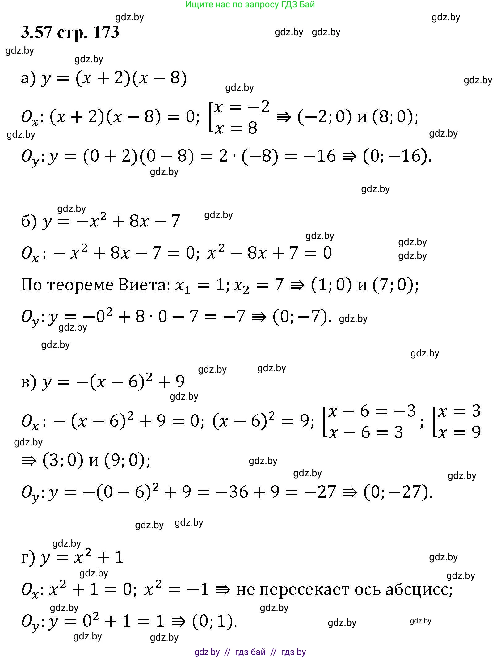
3.57. Определите координаты точек, в которых график квадратичной функции пересекает оси координат:

а) $y = (x + 2)(x - 8);$

б) $y = -x^2 + 8x - 7;$

в) $y = -(x - 6)^2 + 9;$

г) $y = x^2 + 1.$

Решение. №3.57 (с. 173)
Алгебра, 8 класс Учебник, авторы: Арефьева Ирина Глебовна, Пирютко Ольга Николаевна, издательство Адукацыя i выхаванне, Минск, 2024, бирюзового цвета, страница 173, номер 3.57, Решение
Решение 2. №3.57 (с. 173)

Для определения координат точек, в которых график функции пересекает оси координат, необходимо выполнить следующие действия:

  • Для нахождения точки пересечения с осью ординат (осью $y$), нужно подставить в уравнение функции значение $x = 0$.
  • Для нахождения точек пересечения с осью абсцисс (осью $x$), нужно подставить в уравнение функции значение $y = 0$ и решить полученное уравнение относительно $x$.

а) $y = (x + 2)(x - 8)$

1. Пересечение с осью $y$ (осью ординат):

Подставляем $x = 0$ в уравнение:

$y = (0 + 2)(0 - 8) = 2 \cdot (-8) = -16$

Координаты точки пересечения с осью $y$: $(0, -16)$.

2. Пересечение с осью $x$ (осью абсцисс):

Подставляем $y = 0$ в уравнение:

$(x + 2)(x - 8) = 0$

Произведение равно нулю, если один из множителей равен нулю:

$x + 2 = 0 \implies x_1 = -2$

$x - 8 = 0 \implies x_2 = 8$

Координаты точек пересечения с осью $x$: $(-2, 0)$ и $(8, 0)$.

Ответ: пересечение с осью $y$ в точке $(0, -16)$; пересечение с осью $x$ в точках $(-2, 0)$ и $(8, 0)$.

б) $y = -x^2 + 8x - 7$

1. Пересечение с осью $y$:

Подставляем $x = 0$:

$y = -0^2 + 8 \cdot 0 - 7 = -7$

Координаты точки пересечения с осью $y$: $(0, -7)$.

2. Пересечение с осью $x$:

Подставляем $y = 0$:

$-x^2 + 8x - 7 = 0$

Умножим обе части на -1:

$x^2 - 8x + 7 = 0$

Решим квадратное уравнение. По теореме Виета, сумма корней равна 8, а произведение равно 7. Корни уравнения: $x_1 = 1$, $x_2 = 7$.

Координаты точек пересечения с осью $x$: $(1, 0)$ и $(7, 0)$.

Ответ: пересечение с осью $y$ в точке $(0, -7)$; пересечение с осью $x$ в точках $(1, 0)$ и $(7, 0)$.

в) $y = -(x - 6)^2 + 9$

1. Пересечение с осью $y$:

Подставляем $x = 0$:

$y = -(0 - 6)^2 + 9 = -(-6)^2 + 9 = -36 + 9 = -27$

Координаты точки пересечения с осью $y$: $(0, -27)$.

2. Пересечение с осью $x$:

Подставляем $y = 0$:

$-(x - 6)^2 + 9 = 0$

$(x - 6)^2 = 9$

Извлекаем квадратный корень из обеих частей:

$x - 6 = 3$ или $x - 6 = -3$

$x_1 = 6 + 3 = 9$

$x_2 = 6 - 3 = 3$

Координаты точек пересечения с осью $x$: $(3, 0)$ и $(9, 0)$.

Ответ: пересечение с осью $y$ в точке $(0, -27)$; пересечение с осью $x$ в точках $(3, 0)$ и $(9, 0)$.

г) $y = x^2 + 1$

1. Пересечение с осью $y$:

Подставляем $x = 0$:

$y = 0^2 + 1 = 1$

Координаты точки пересечения с осью $y$: $(0, 1)$.

2. Пересечение с осью $x$:

Подставляем $y = 0$:

$x^2 + 1 = 0$

$x^2 = -1$

Данное уравнение не имеет действительных корней, так как квадрат любого действительного числа не может быть отрицательным. Следовательно, график функции не пересекает ось $x$.

Ответ: пересечение с осью $y$ в точке $(0, 1)$; с осью $x$ пересечений нет.

Помогло решение? Оставьте отзыв в комментариях ниже.

Присоединяйтесь к Телеграм-группе @gdz_by_belarus

Присоединиться

Мы подготовили для вас ответ c подробным объяснением домашего задания по алгебре за 8 класс, для упражнения номер 3.57 расположенного на странице 173 к учебнику 2024 года издания для учащихся школ и гимназий.

Теперь на нашем сайте ГДЗ.ТОП вы всегда легко и бесплатно найдёте условие с правильным ответом на вопрос «Как решить ДЗ» и «Как сделать» задание по алгебре к упражнению №3.57 (с. 173), авторов: Арефьева (Ирина Глебовна), Пирютко (Ольга Николаевна), учебного пособия издательства Адукацыя i выхаванне.