Номер 3.134, страница 179 - гдз по алгебре 9 класс учебник Арефьева, Пирютко

Алгебра, 9 класс Учебник, авторы: Арефьева Ирина Глебовна, Пирютко Ольга Николаевна, издательство Народная асвета, Минск, 2019, голубого цвета

Авторы: Арефьева И. Г., Пирютко О. Н.

Тип: Учебник

Издательство: Народная асвета

Год издания: 2019 - 2025

Цвет обложки: голубой, синий с графиком

ISBN: 978-985-03-3077-2

Допущено Министерством образования Республики Беларусь

Популярные ГДЗ в 9 классе

Глава 3. Дробно-рациональные уравнения и неравенства. Параграф 12. Формула длины отрезка с заданными координатами его концов. Уравнение окружности - номер 3.134, страница 179.

№3.134 (с. 179)
Условие. №3.134 (с. 179)
скриншот условия
Алгебра, 9 класс Учебник, авторы: Арефьева Ирина Глебовна, Пирютко Ольга Николаевна, издательство Народная асвета, Минск, 2019, голубого цвета, страница 179, номер 3.134, Условие

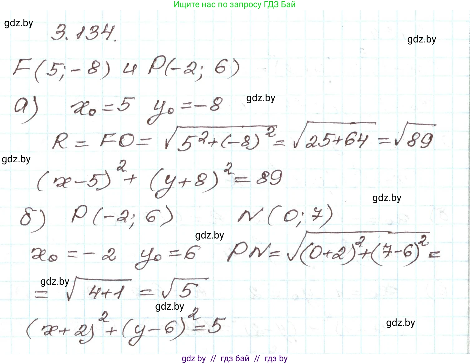
3.134. Даны точки $F(5; -8)$ и $P(-2; 6)$. Запишите уравнение окружности:
а) с центром в точке $F$, проходящей через начало координат;
б) с центром в точке $P$, проходящей через точку $N(0; 7)$.

Решение. №3.134 (с. 179)
Алгебра, 9 класс Учебник, авторы: Арефьева Ирина Глебовна, Пирютко Ольга Николаевна, издательство Народная асвета, Минск, 2019, голубого цвета, страница 179, номер 3.134, Решение
Решение 2. №3.134 (с. 179)

Общее уравнение окружности с центром в точке $(x_0; y_0)$ и радиусом $R$ имеет вид:
$(x - x_0)^2 + (y - y_0)^2 = R^2$

а) Дана окружность с центром в точке $F(5; -8)$, проходящая через начало координат $O(0; 0)$. Координаты центра окружности: $x_0 = 5$ и $y_0 = -8$.
Радиус окружности $R$ равен расстоянию между центром $F$ и точкой $O$. Найдем квадрат радиуса $R^2$ по формуле квадрата расстояния между двумя точками:
$R^2 = (0 - 5)^2 + (0 - (-8))^2 = (-5)^2 + 8^2 = 25 + 64 = 89$.
Подставим координаты центра и найденное значение $R^2$ в общее уравнение окружности:
$(x - 5)^2 + (y - (-8))^2 = 89$
$(x - 5)^2 + (y + 8)^2 = 89$.
Ответ: $(x - 5)^2 + (y + 8)^2 = 89$.

б) Дана окружность с центром в точке $P(-2; 6)$, проходящая через точку $N(0; 7)$. Координаты центра окружности: $x_0 = -2$ и $y_0 = 6$.
Радиус окружности $R$ равен расстоянию между центром $P$ и точкой $N$. Найдем квадрат радиуса $R^2$:
$R^2 = (0 - (-2))^2 + (7 - 6)^2 = 2^2 + 1^2 = 4 + 1 = 5$.
Подставим координаты центра и найденное значение $R^2$ в общее уравнение окружности:
$(x - (-2))^2 + (y - 6)^2 = 5$
$(x + 2)^2 + (y - 6)^2 = 5$.
Ответ: $(x + 2)^2 + (y - 6)^2 = 5$.

Помогло решение? Оставьте отзыв в комментариях ниже.

Присоединяйтесь к Телеграм-группе @gdz_by_belarus

Присоединиться

Мы подготовили для вас ответ c подробным объяснением домашего задания по алгебре за 9 класс, для упражнения номер 3.134 расположенного на странице 179 к учебнику 2019 года издания для учащихся школ и гимназий.

Теперь на нашем сайте ГДЗ.ТОП вы всегда легко и бесплатно найдёте условие с правильным ответом на вопрос «Как решить ДЗ» и «Как сделать» задание по алгебре к упражнению №3.134 (с. 179), авторов: Арефьева (Ирина Глебовна), Пирютко (Ольга Николаевна), учебного пособия издательства Народная асвета.