Номер 3.136, страница 179 - гдз по алгебре 9 класс учебник Арефьева, Пирютко

Алгебра, 9 класс Учебник, авторы: Арефьева Ирина Глебовна, Пирютко Ольга Николаевна, издательство Народная асвета, Минск, 2019, голубого цвета

Авторы: Арефьева И. Г., Пирютко О. Н.

Тип: Учебник

Издательство: Народная асвета

Год издания: 2019 - 2025

Цвет обложки: голубой, синий с графиком

ISBN: 978-985-03-3077-2

Допущено Министерством образования Республики Беларусь

Популярные ГДЗ в 9 классе

Глава 3. Дробно-рациональные уравнения и неравенства. Параграф 12. Формула длины отрезка с заданными координатами его концов. Уравнение окружности - номер 3.136, страница 179.

№3.136 (с. 179)
Условие. №3.136 (с. 179)
скриншот условия
Алгебра, 9 класс Учебник, авторы: Арефьева Ирина Глебовна, Пирютко Ольга Николаевна, издательство Народная асвета, Минск, 2019, голубого цвета, страница 179, номер 3.136, Условие

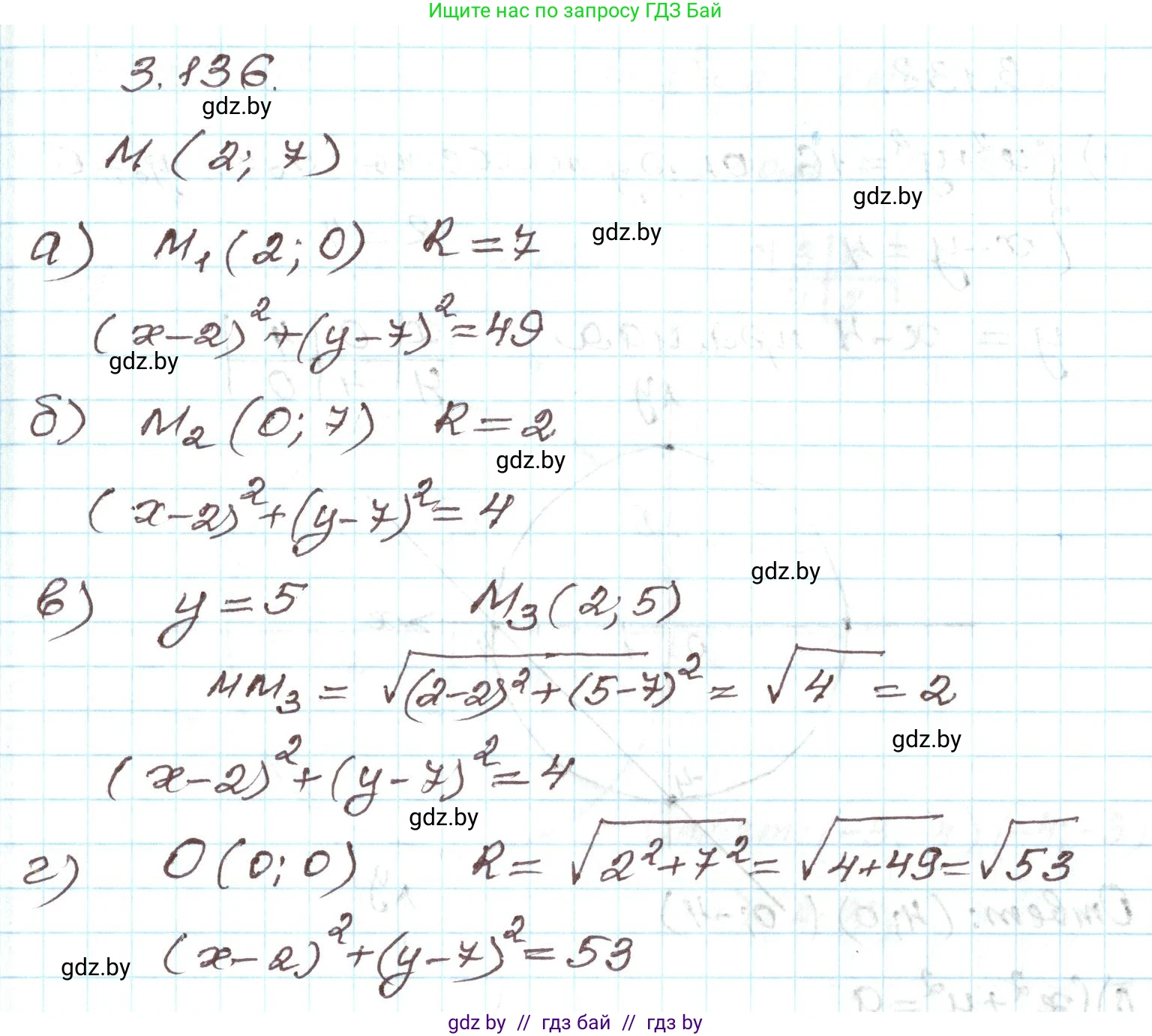
3.136. Определите радиус и запишите уравнение окружности с центром в точке $M(2; 7)$, которая:

а) касается оси абсцисс;

б) касается оси ординат;

в) касается прямой $y = 5$;

г) проходит через начало координат.

Решение. №3.136 (с. 179)
Алгебра, 9 класс Учебник, авторы: Арефьева Ирина Глебовна, Пирютко Ольга Николаевна, издательство Народная асвета, Минск, 2019, голубого цвета, страница 179, номер 3.136, Решение
Решение 2. №3.136 (с. 179)

Общее уравнение окружности с центром в точке $(x_0, y_0)$ и радиусом $R$ имеет вид: $(x - x_0)^2 + (y - y_0)^2 = R^2$. В данной задаче центр окружности находится в точке $M(2; 7)$, поэтому уравнение для всех случаев будет иметь вид $(x - 2)^2 + (y - 7)^2 = R^2$. Для решения каждого подпункта необходимо определить соответствующий радиус $R$.

а) касается оси абсцисс;

Ось абсцисс — это прямая, заданная уравнением $y=0$. Если окружность касается этой оси, то ее радиус равен расстоянию от центра окружности $M(2; 7)$ до этой прямой. Расстояние от точки до горизонтальной прямой равно модулю разности их y-координат. В данном случае это просто модуль y-координаты центра.

Радиус $R = |7| = 7$.

Тогда уравнение окружности:

$(x - 2)^2 + (y - 7)^2 = 7^2$

$(x - 2)^2 + (y - 7)^2 = 49$

Ответ: радиус $R=7$, уравнение окружности $(x - 2)^2 + (y - 7)^2 = 49$.

б) касается оси ординат;

Ось ординат — это прямая, заданная уравнением $x=0$. Радиус окружности, касающейся этой оси, равен расстоянию от центра $M(2; 7)$ до этой прямой. Расстояние от точки до вертикальной прямой равно модулю разности их x-координат. В данном случае это просто модуль x-координаты центра.

Радиус $R = |2| = 2$.

Тогда уравнение окружности:

$(x - 2)^2 + (y - 7)^2 = 2^2$

$(x - 2)^2 + (y - 7)^2 = 4$

Ответ: радиус $R=2$, уравнение окружности $(x - 2)^2 + (y - 7)^2 = 4$.

в) касается прямой y = 5;

Прямая $y = 5$ является горизонтальной. Радиус окружности равен расстоянию от центра $M(2; 7)$ до этой прямой.

Радиус $R = |7 - 5| = |2| = 2$.

Тогда уравнение окружности:

$(x - 2)^2 + (y - 7)^2 = 2^2$

$(x - 2)^2 + (y - 7)^2 = 4$

Ответ: радиус $R=2$, уравнение окружности $(x - 2)^2 + (y - 7)^2 = 4$.

г) проходит через начало координат.

Начало координат — это точка $O(0; 0)$. Если окружность проходит через эту точку, то ее радиус равен расстоянию от центра $M(2; 7)$ до точки $O(0; 0)$.

Используем формулу расстояния между двумя точками $d = \sqrt{(x_2 - x_1)^2 + (y_2 - y_1)^2}$:

$R = \sqrt{(2 - 0)^2 + (7 - 0)^2} = \sqrt{2^2 + 7^2} = \sqrt{4 + 49} = \sqrt{53}$.

Тогда уравнение окружности:

$(x - 2)^2 + (y - 7)^2 = (\sqrt{53})^2$

$(x - 2)^2 + (y - 7)^2 = 53$

Ответ: радиус $R=\sqrt{53}$, уравнение окружности $(x - 2)^2 + (y - 7)^2 = 53$.

Помогло решение? Оставьте отзыв в комментариях ниже.

Присоединяйтесь к Телеграм-группе @gdz_by_belarus

Присоединиться

Мы подготовили для вас ответ c подробным объяснением домашего задания по алгебре за 9 класс, для упражнения номер 3.136 расположенного на странице 179 к учебнику 2019 года издания для учащихся школ и гимназий.

Теперь на нашем сайте ГДЗ.ТОП вы всегда легко и бесплатно найдёте условие с правильным ответом на вопрос «Как решить ДЗ» и «Как сделать» задание по алгебре к упражнению №3.136 (с. 179), авторов: Арефьева (Ирина Глебовна), Пирютко (Ольга Николаевна), учебного пособия издательства Народная асвета.