Номер 4.180, страница 241 - гдз по алгебре 9 класс учебник Арефьева, Пирютко

Алгебра, 9 класс Учебник, авторы: Арефьева Ирина Глебовна, Пирютко Ольга Николаевна, издательство Народная асвета, Минск, 2019, голубого цвета

Авторы: Арефьева И. Г., Пирютко О. Н.

Тип: Учебник

Издательство: Народная асвета

Год издания: 2019 - 2025

Цвет обложки: голубой, синий с графиком

ISBN: 978-985-03-3077-2

Допущено Министерством образования Республики Беларусь

Популярные ГДЗ в 9 классе

Глава 4. Прогрессии. Параграф 17. Геометрическая прогрессия - номер 4.180, страница 241.

№4.180 (с. 241)
Условие. №4.180 (с. 241)
скриншот условия
Алгебра, 9 класс Учебник, авторы: Арефьева Ирина Глебовна, Пирютко Ольга Николаевна, издательство Народная асвета, Минск, 2019, голубого цвета, страница 241, номер 4.180, Условие

4.180. В геометрической прогрессии четвертый член равен 32. Найдите все предыдущие члены этой прогрессии, если знаменатель прогрессии равен:

а) 2;

б) $-\frac{1}{2}$;

в) 1;

г) -4.

Выполните задание двумя способами.

Решение. №4.180 (с. 241)
Алгебра, 9 класс Учебник, авторы: Арефьева Ирина Глебовна, Пирютко Ольга Николаевна, издательство Народная асвета, Минск, 2019, голубого цвета, страница 241, номер 4.180, Решение Алгебра, 9 класс Учебник, авторы: Арефьева Ирина Глебовна, Пирютко Ольга Николаевна, издательство Народная асвета, Минск, 2019, голубого цвета, страница 241, номер 4.180, Решение (продолжение 2)
Решение 2. №4.180 (с. 241)

В условии задачи дан четвертый член геометрической прогрессии $b_4 = 32$. Необходимо найти три предыдущих члена: $b_1$, $b_2$ и $b_3$. Задача будет решена двумя способами для каждого случая.

Общие подходы к решению:

Способ 1: Использование формулы n-го члена

Формула n-го члена геометрической прогрессии: $b_n = b_1 \cdot q^{n-1}$, где $b_1$ — первый член, а $q$ — знаменатель прогрессии. Для нашего случая ($n=4$): $b_4 = b_1 \cdot q^{4-1} = b_1 \cdot q^3$. Отсюда мы можем выразить первый член прогрессии: $b_1 = \frac{b_4}{q^3}$. Зная $b_1$ и $q$, легко найти $b_2$ и $b_3$:$b_2 = b_1 \cdot q$$b_3 = b_2 \cdot q = b_1 \cdot q^2$

Способ 2: Обратные вычисления

Каждый член прогрессии получается умножением предыдущего на знаменатель $q$: $b_n = b_{n-1} \cdot q$. Следовательно, чтобы найти предыдущий член, нужно текущий член разделить на знаменатель: $b_{n-1} = \frac{b_n}{q}$. Используя этот принцип, мы можем последовательно найти все предыдущие члены, двигаясь "назад" от $b_4$:$b_3 = \frac{b_4}{q}$$b_2 = \frac{b_3}{q}$$b_1 = \frac{b_2}{q}$


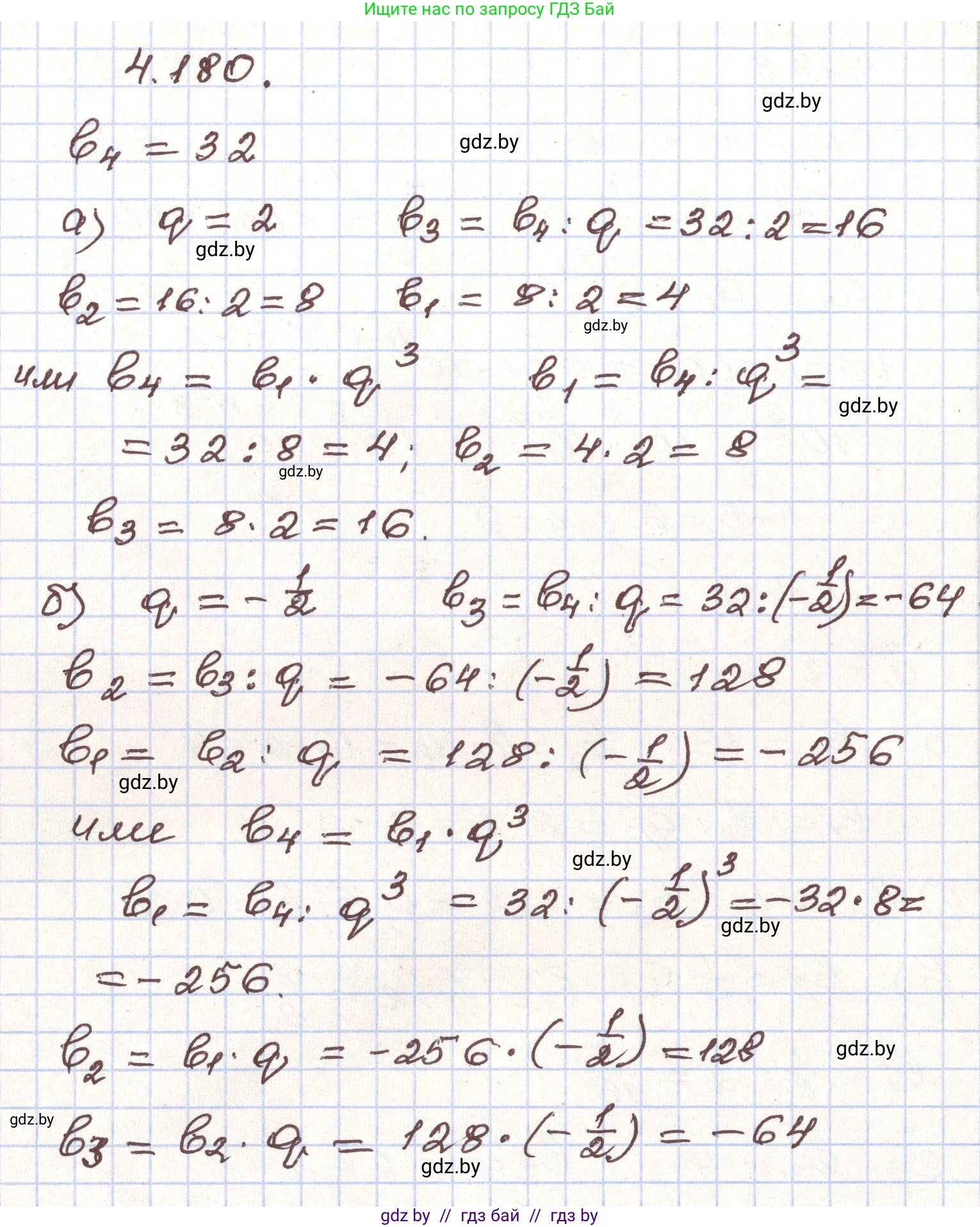
a) Дано: $b_4 = 32$, $q = 2$.

Способ 1:

Найдем $b_1$: $b_1 = \frac{b_4}{q^3} = \frac{32}{2^3} = \frac{32}{8} = 4$.
Теперь найдем $b_2$ и $b_3$:
$b_2 = b_1 \cdot q = 4 \cdot 2 = 8$.
$b_3 = b_2 \cdot q = 8 \cdot 2 = 16$.

Способ 2:

$b_3 = \frac{b_4}{q} = \frac{32}{2} = 16$.
$b_2 = \frac{b_3}{q} = \frac{16}{2} = 8$.
$b_1 = \frac{b_2}{q} = \frac{8}{2} = 4$.

Ответ: 4, 8, 16.


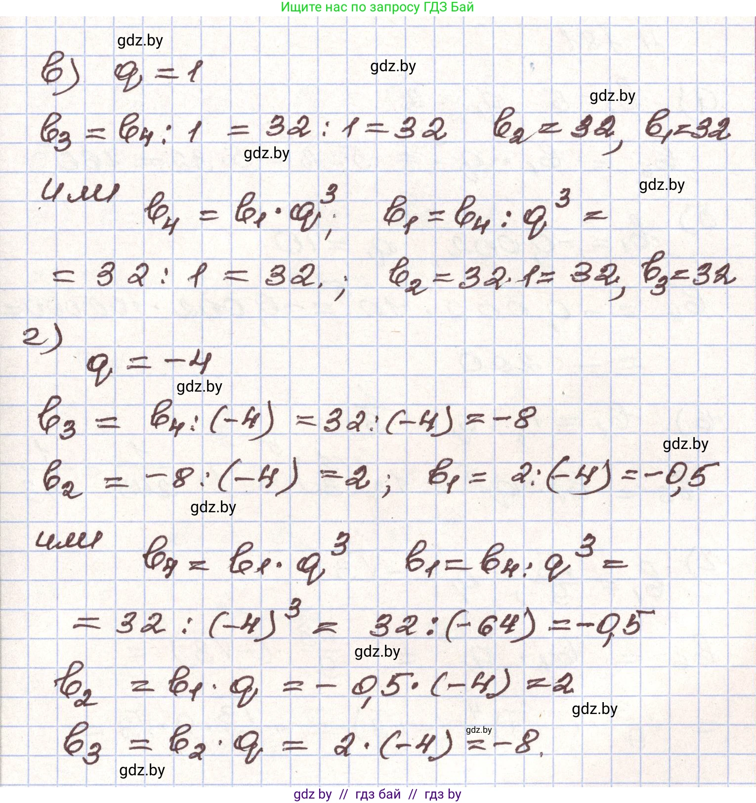
б) Дано: $b_4 = 32$, $q = -\frac{1}{2}$.

Способ 1:

Найдем $b_1$: $b_1 = \frac{b_4}{q^3} = \frac{32}{(-\frac{1}{2})^3} = \frac{32}{-\frac{1}{8}} = 32 \cdot (-8) = -256$.
Теперь найдем $b_2$ и $b_3$:
$b_2 = b_1 \cdot q = -256 \cdot (-\frac{1}{2}) = 128$.
$b_3 = b_2 \cdot q = 128 \cdot (-\frac{1}{2}) = -64$.

Способ 2:

$b_3 = \frac{b_4}{q} = \frac{32}{-\frac{1}{2}} = 32 \cdot (-2) = -64$.
$b_2 = \frac{b_3}{q} = \frac{-64}{-\frac{1}{2}} = -64 \cdot (-2) = 128$.
$b_1 = \frac{b_2}{q} = \frac{128}{-\frac{1}{2}} = 128 \cdot (-2) = -256$.

Ответ: -256, 128, -64.


в) Дано: $b_4 = 32$, $q = 1$.

Способ 1:

Найдем $b_1$: $b_1 = \frac{b_4}{q^3} = \frac{32}{1^3} = \frac{32}{1} = 32$.
Теперь найдем $b_2$ и $b_3$:
$b_2 = b_1 \cdot q = 32 \cdot 1 = 32$.
$b_3 = b_2 \cdot q = 32 \cdot 1 = 32$.

Способ 2:

$b_3 = \frac{b_4}{q} = \frac{32}{1} = 32$.
$b_2 = \frac{b_3}{q} = \frac{32}{1} = 32$.
$b_1 = \frac{b_2}{q} = \frac{32}{1} = 32$.

Ответ: 32, 32, 32.


г) Дано: $b_4 = 32$, $q = -4$.

Способ 1:

Найдем $b_1$: $b_1 = \frac{b_4}{q^3} = \frac{32}{(-4)^3} = \frac{32}{-64} = -\frac{1}{2}$.
Теперь найдем $b_2$ и $b_3$:
$b_2 = b_1 \cdot q = -\frac{1}{2} \cdot (-4) = 2$.
$b_3 = b_2 \cdot q = 2 \cdot (-4) = -8$.

Способ 2:

$b_3 = \frac{b_4}{q} = \frac{32}{-4} = -8$.
$b_2 = \frac{b_3}{q} = \frac{-8}{-4} = 2$.
$b_1 = \frac{b_2}{q} = \frac{2}{-4} = -\frac{1}{2}$.

Ответ: -1/2, 2, -8.

Помогло решение? Оставьте отзыв в комментариях ниже.

Присоединяйтесь к Телеграм-группе @gdz_by_belarus

Присоединиться

Мы подготовили для вас ответ c подробным объяснением домашего задания по алгебре за 9 класс, для упражнения номер 4.180 расположенного на странице 241 к учебнику 2019 года издания для учащихся школ и гимназий.

Теперь на нашем сайте ГДЗ.ТОП вы всегда легко и бесплатно найдёте условие с правильным ответом на вопрос «Как решить ДЗ» и «Как сделать» задание по алгебре к упражнению №4.180 (с. 241), авторов: Арефьева (Ирина Глебовна), Пирютко (Ольга Николаевна), учебного пособия издательства Народная асвета.