Номер 4.181, страница 241 - гдз по алгебре 9 класс учебник Арефьева, Пирютко

Алгебра, 9 класс Учебник, авторы: Арефьева Ирина Глебовна, Пирютко Ольга Николаевна, издательство Народная асвета, Минск, 2019, голубого цвета

Авторы: Арефьева И. Г., Пирютко О. Н.

Тип: Учебник

Издательство: Народная асвета

Год издания: 2019 - 2025

Цвет обложки: голубой, синий с графиком

ISBN: 978-985-03-3077-2

Допущено Министерством образования Республики Беларусь

Популярные ГДЗ в 9 классе

Глава 4. Прогрессии. Параграф 17. Геометрическая прогрессия - номер 4.181, страница 241.

№4.181 (с. 241)
Условие. №4.181 (с. 241)
скриншот условия
Алгебра, 9 класс Учебник, авторы: Арефьева Ирина Глебовна, Пирютко Ольга Николаевна, издательство Народная асвета, Минск, 2019, голубого цвета, страница 241, номер 4.181, Условие

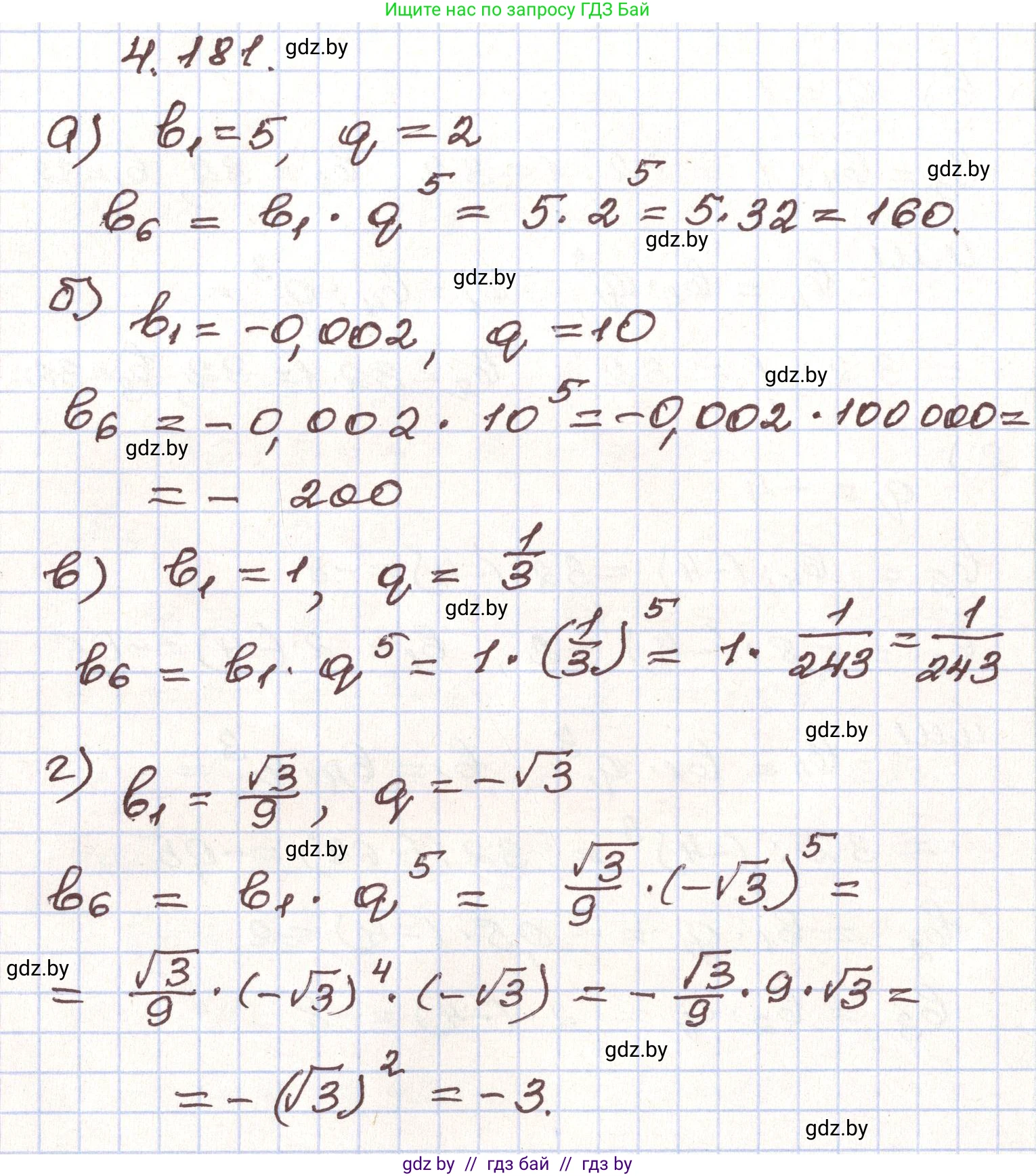
4.181. Последовательность $(b_n)$ — геометрическая прогрессия. Используйте формулу n-го члена для вычисления шестого члена этой прогрессии, если:

а) $b_1 = 5, q = 2$;

б) $b_1 = -0,002, q = 10$;

в) $b_1 = 1, q = \frac{1}{3}$;

г) $b_1 = \frac{\sqrt{3}}{9}, q = -\sqrt{3}$.

Решение. №4.181 (с. 241)
Алгебра, 9 класс Учебник, авторы: Арефьева Ирина Глебовна, Пирютко Ольга Николаевна, издательство Народная асвета, Минск, 2019, голубого цвета, страница 241, номер 4.181, Решение
Решение 2. №4.181 (с. 241)

Для решения задачи воспользуемся формулой n-го члена геометрической прогрессии $(b_n)$:

$$b_n = b_1 \cdot q^{n-1}$$

где $b_1$ — это первый член прогрессии, а $q$ — её знаменатель.

По условию, необходимо найти шестой член прогрессии, следовательно, $n=6$. Формула для вычисления $b_6$ примет вид:

$$b_6 = b_1 \cdot q^{6-1} = b_1 \cdot q^5$$

Теперь вычислим $b_6$ для каждого из предложенных случаев.

а) При $b_1 = 5$ и $q = 2$:

Подставляем значения в формулу:

$$b_6 = 5 \cdot 2^5 = 5 \cdot 32 = 160$$

Ответ: 160

б) При $b_1 = -0,002$ и $q = 10$:

Подставляем значения в формулу:

$$b_6 = -0,002 \cdot 10^5 = -0,002 \cdot 100000 = -200$$

Ответ: -200

в) При $b_1 = 1$ и $q = \frac{1}{3}$:

Подставляем значения в формулу:

$$b_6 = 1 \cdot \left(\frac{1}{3}\right)^5 = \frac{1^5}{3^5} = \frac{1}{243}$$

Так как результат является правильной дробью, а не неправильной, выделение целой части не производится.

Ответ: $\frac{1}{243}$

г) При $b_1 = \frac{\sqrt{3}}{9}$ и $q = -\sqrt{3}$:

Подставляем значения в формулу:

$$b_6 = \frac{\sqrt{3}}{9} \cdot (-\sqrt{3})^5$$

Выполняем вычисления:

$$(-\sqrt{3})^5 = (-1)^5 \cdot (\sqrt{3})^5 = -(\sqrt{3^2} \cdot \sqrt{3^2} \cdot \sqrt{3}) = -(3 \cdot 3 \cdot \sqrt{3}) = -9\sqrt{3}$$$$b_6 = \frac{\sqrt{3}}{9} \cdot (-9\sqrt{3}) = -\frac{9 \cdot \sqrt{3} \cdot \sqrt{3}}{9} = -(\sqrt{3})^2 = -3$$

Ответ: -3

Помогло решение? Оставьте отзыв в комментариях ниже.

Присоединяйтесь к Телеграм-группе @gdz_by_belarus

Присоединиться

Мы подготовили для вас ответ c подробным объяснением домашего задания по алгебре за 9 класс, для упражнения номер 4.181 расположенного на странице 241 к учебнику 2019 года издания для учащихся школ и гимназий.

Теперь на нашем сайте ГДЗ.ТОП вы всегда легко и бесплатно найдёте условие с правильным ответом на вопрос «Как решить ДЗ» и «Как сделать» задание по алгебре к упражнению №4.181 (с. 241), авторов: Арефьева (Ирина Глебовна), Пирютко (Ольга Николаевна), учебного пособия издательства Народная асвета.