Номер 4.227, страница 246 - гдз по алгебре 9 класс учебник Арефьева, Пирютко

Алгебра, 9 класс Учебник, авторы: Арефьева Ирина Глебовна, Пирютко Ольга Николаевна, издательство Народная асвета, Минск, 2019, голубого цвета

Авторы: Арефьева И. Г., Пирютко О. Н.

Тип: Учебник

Издательство: Народная асвета

Год издания: 2019 - 2025

Цвет обложки: голубой, синий с графиком

ISBN: 978-985-03-3077-2

Допущено Министерством образования Республики Беларусь

Популярные ГДЗ в 9 классе

Глава 4. Прогрессии. Параграф 17. Геометрическая прогрессия - номер 4.227, страница 246.

№4.227 (с. 246)
Условие. №4.227 (с. 246)
скриншот условия
Алгебра, 9 класс Учебник, авторы: Арефьева Ирина Глебовна, Пирютко Ольга Николаевна, издательство Народная асвета, Минск, 2019, голубого цвета, страница 246, номер 4.227, Условие

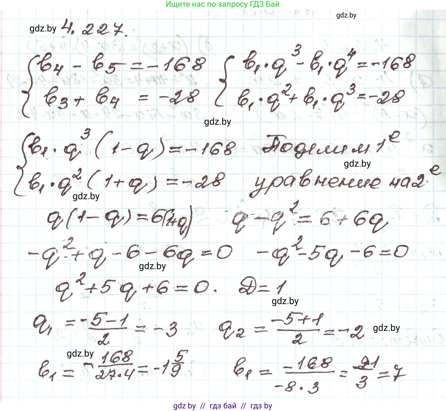
4.227*. Найдите первый член и знаменатель геометрической прогрессии ($b_n$), если $b_4 - b_5 = -168$ и $b_3 + b_4 = -28$.

Решение. №4.227 (с. 246)
Алгебра, 9 класс Учебник, авторы: Арефьева Ирина Глебовна, Пирютко Ольга Николаевна, издательство Народная асвета, Минск, 2019, голубого цвета, страница 246, номер 4.227, Решение
Решение 2. №4.227 (с. 246)

Для решения задачи воспользуемся формулой n-го члена геометрической прогрессии $b_n = b_1 \cdot q^{n-1}$, где $b_1$ — первый член, а $q$ — знаменатель прогрессии.

Согласно условию, имеем систему из двух уравнений:

$$ \begin{cases} b_4 - b_5 = -168 \\ b_3 + b_4 = -28 \end{cases} $$

Выразим члены прогрессии через $b_1$ и $q$:

$$ \begin{cases} b_1 q^3 - b_1 q^4 = -168 \\ b_1 q^2 + b_1 q^3 = -28 \end{cases} $$

Вынесем общие множители за скобки в каждом уравнении:

$$ \begin{cases} b_1 q^3 (1 - q) = -168 & (1) \\ b_1 q^2 (1 + q) = -28 & (2) \end{cases} $$

Разделим уравнение (1) на уравнение (2). Это возможно, так как правая часть второго уравнения не равна нулю, что означает $b_1 \neq 0$, $q \neq 0$ и $q \neq -1$.

$$ \frac{b_1 q^3 (1 - q)}{b_1 q^2 (1 + q)} = \frac{-168}{-28} $$

После сокращения дроби в левой части и вычисления значения в правой части получаем:

$$ \frac{q(1 - q)}{1 + q} = 6 $$

Решим это уравнение относительно $q$:

$$ q(1 - q) = 6(1 + q) \\ q - q^2 = 6 + 6q \\ q^2 + 5q + 6 = 0 $$

Это квадратное уравнение. Его корни можно найти по теореме Виета. Сумма корней равна -5, а произведение равно 6. Следовательно, корни уравнения:

$q_1 = -2$ и $q_2 = -3$.

Теперь для каждого найденного значения знаменателя $q$ найдем соответствующий первый член $b_1$. Воспользуемся для этого вторым уравнением системы: $b_1 q^2 (1 + q) = -28$.

1. Если $q = -2$:

Подставляем значение $q$ в уравнение:

$$ b_1 (-2)^2 (1 + (-2)) = -28 \\ b_1 \cdot 4 \cdot (-1) = -28 \\ -4b_1 = -28 \\ b_1 = 7 $$

2. Если $q = -3$:

Подставляем значение $q$ в уравнение:

$$ b_1 (-3)^2 (1 + (-3)) = -28 \\ b_1 \cdot 9 \cdot (-2) = -28 \\ -18b_1 = -28 \\ b_1 = \frac{-28}{-18} = \frac{14}{9} $$

Преобразуем неправильную дробь в смешанное число: $\frac{14}{9} = 1\frac{5}{9}$.

Таким образом, условию задачи удовлетворяют две пары значений.

Первый случай:

Первый член: Ответ: 7

Знаменатель: Ответ: -2

Второй случай:

Первый член: Ответ: 1$\frac{5}{9}$

Знаменатель: Ответ: -3

Помогло решение? Оставьте отзыв в комментариях ниже.

Присоединяйтесь к Телеграм-группе @gdz_by_belarus

Присоединиться

Мы подготовили для вас ответ c подробным объяснением домашего задания по алгебре за 9 класс, для упражнения номер 4.227 расположенного на странице 246 к учебнику 2019 года издания для учащихся школ и гимназий.

Теперь на нашем сайте ГДЗ.ТОП вы всегда легко и бесплатно найдёте условие с правильным ответом на вопрос «Как решить ДЗ» и «Как сделать» задание по алгебре к упражнению №4.227 (с. 246), авторов: Арефьева (Ирина Глебовна), Пирютко (Ольга Николаевна), учебного пособия издательства Народная асвета.