Номер 4.269, страница 253 - гдз по алгебре 9 класс учебник Арефьева, Пирютко

Алгебра, 9 класс Учебник, авторы: Арефьева Ирина Глебовна, Пирютко Ольга Николаевна, издательство Народная асвета, Минск, 2019, голубого цвета

Авторы: Арефьева И. Г., Пирютко О. Н.

Тип: Учебник

Издательство: Народная асвета

Год издания: 2019 - 2025

Цвет обложки: голубой, синий с графиком

ISBN: 978-985-03-3077-2

Допущено Министерством образования Республики Беларусь

Популярные ГДЗ в 9 классе

Глава 4. Прогрессии. Параграф 18. Формула суммы n первых членов геометрической прогрессии - номер 4.269, страница 253.

№4.269 (с. 253)
Условие. №4.269 (с. 253)
скриншот условия
Алгебра, 9 класс Учебник, авторы: Арефьева Ирина Глебовна, Пирютко Ольга Николаевна, издательство Народная асвета, Минск, 2019, голубого цвета, страница 253, номер 4.269, Условие

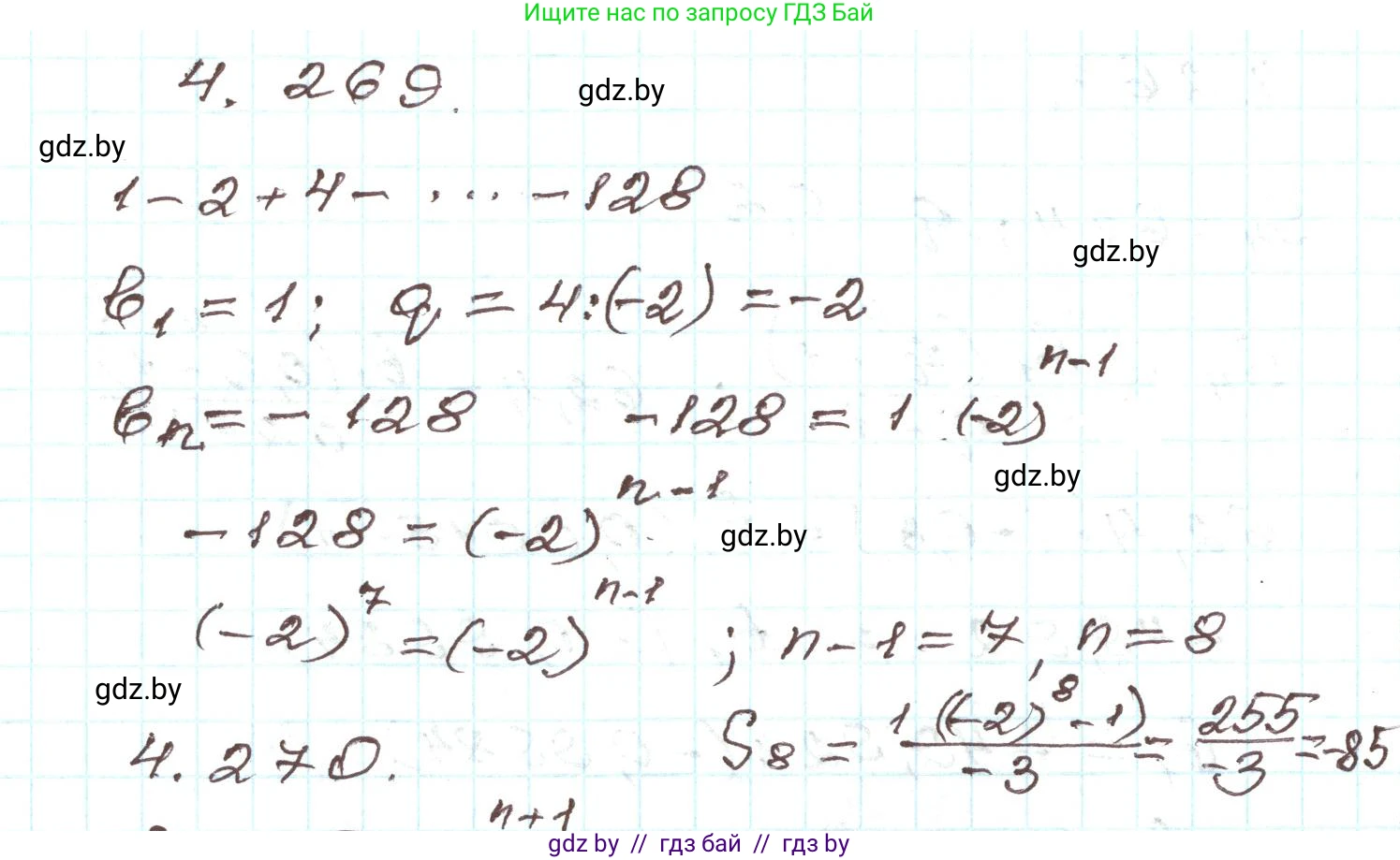
4.269. Найдите сумму $1 - 2 + 4 - \dots - 128$, зная, что ее слагаемые — последовательные члены геометрической прогрессии.

Решение. №4.269 (с. 253)
Алгебра, 9 класс Учебник, авторы: Арефьева Ирина Глебовна, Пирютко Ольга Николаевна, издательство Народная асвета, Минск, 2019, голубого цвета, страница 253, номер 4.269, Решение
Решение 2. №4.269 (с. 253)

Данная сумма $1 - 2 + 4 - \dots - 128$ является суммой членов конечной геометрической прогрессии $(b_n)$.

1. Определим параметры этой прогрессии. Первый член прогрессии $b_1 = 1$. Чтобы найти знаменатель прогрессии $q$, разделим второй член на первый:

$q = \frac{b_2}{b_1} = \frac{-2}{1} = -2$

2. Найдем количество членов $n$ в прогрессии. Из условия известно, что последний член прогрессии $b_n = -128$. Воспользуемся формулой n-го члена геометрической прогрессии: $b_n = b_1 \cdot q^{n-1}$. Подставим известные значения в формулу:

$-128 = 1 \cdot (-2)^{n-1}$

$(-2)^{n-1} = -128$

Нам нужно найти степень, в которую нужно возвести -2, чтобы получить -128. Так как $2^7 = 128$, то $(-2)^7 = -128$. Следовательно, показатель степени равен 7:

$n - 1 = 7$

$n = 7 + 1 = 8$

Таким образом, в прогрессии 8 членов.

3. Вычислим сумму прогрессии. Используем формулу суммы первых $n$ членов геометрической прогрессии:

$S_n = \frac{b_1(q^n - 1)}{q - 1}$

Подставим найденные значения $b_1 = 1$, $q = -2$ и $n = 8$:

$S_8 = \frac{1 \cdot ((-2)^8 - 1)}{-2 - 1} = \frac{1 \cdot (256 - 1)}{-3} = \frac{255}{-3} = -85$

Ответ: -85.

Помогло решение? Оставьте отзыв в комментариях ниже.

Присоединяйтесь к Телеграм-группе @gdz_by_belarus

Присоединиться

Мы подготовили для вас ответ c подробным объяснением домашего задания по алгебре за 9 класс, для упражнения номер 4.269 расположенного на странице 253 к учебнику 2019 года издания для учащихся школ и гимназий.

Теперь на нашем сайте ГДЗ.ТОП вы всегда легко и бесплатно найдёте условие с правильным ответом на вопрос «Как решить ДЗ» и «Как сделать» задание по алгебре к упражнению №4.269 (с. 253), авторов: Арефьева (Ирина Глебовна), Пирютко (Ольга Николаевна), учебного пособия издательства Народная асвета.