Номер 4.271, страница 253 - гдз по алгебре 9 класс учебник Арефьева, Пирютко

Алгебра, 9 класс Учебник, авторы: Арефьева Ирина Глебовна, Пирютко Ольга Николаевна, издательство Народная асвета, Минск, 2019, голубого цвета

Авторы: Арефьева И. Г., Пирютко О. Н.

Тип: Учебник

Издательство: Народная асвета

Год издания: 2019 - 2025

Цвет обложки: голубой, синий с графиком

ISBN: 978-985-03-3077-2

Допущено Министерством образования Республики Беларусь

Популярные ГДЗ в 9 классе

Глава 4. Прогрессии. Параграф 18. Формула суммы n первых членов геометрической прогрессии - номер 4.271, страница 253.

№4.271 (с. 253)
Условие. №4.271 (с. 253)
скриншот условия
Алгебра, 9 класс Учебник, авторы: Арефьева Ирина Глебовна, Пирютко Ольга Николаевна, издательство Народная асвета, Минск, 2019, голубого цвета, страница 253, номер 4.271, Условие

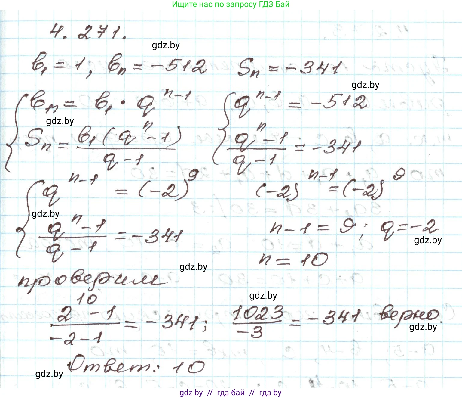
4.271* Найдите количество членов геометрической прогрессии, в которой $b_1 = 1$, $b_n = -512$, $S_n = -341$.

Решение. №4.271 (с. 253)
Алгебра, 9 класс Учебник, авторы: Арефьева Ирина Глебовна, Пирютко Ольга Николаевна, издательство Народная асвета, Минск, 2019, голубого цвета, страница 253, номер 4.271, Решение
Решение 2. №4.271 (с. 253)

Для нахождения количества членов геометрической прогрессии $n$ необходимо сначала найти её знаменатель $q$. Воспользуемся формулой суммы первых $n$ членов прогрессии, которая связывает известные нам величины $b_1$, $b_n$ и $S_n$ со знаменателем $q$:

$S_n = \frac{b_n q - b_1}{q - 1}$

Подставим в эту формулу заданные значения: $b_1 = 1$, $b_n = -512$ и $S_n = -341$.

$-341 = \frac{-512 \cdot q - 1}{q - 1}$

Теперь решим это уравнение относительно $q$:

$-341(q - 1) = -512q - 1$

$-341q + 341 = -512q - 1$

Перенесем слагаемые с $q$ в левую часть, а свободные члены — в правую:

$512q - 341q = -1 - 341$

$171q = -342$

$q = \frac{-342}{171} = -2$

Теперь, когда известен знаменатель прогрессии $q = -2$, мы можем найти количество членов $n$, используя формулу $n$-го члена геометрической прогрессии:

$b_n = b_1 \cdot q^{n-1}$

Подставим известные значения $b_1$, $b_n$ и найденное $q$:

$-512 = 1 \cdot (-2)^{n-1}$

$-512 = (-2)^{n-1}$

Чтобы решить это уравнение, представим число $-512$ как степень с основанием $-2$. Известно, что $2^9 = 512$. Так как результат отрицательный, показатель степени должен быть нечетным. Следовательно, $-512 = (-2)^9$.

Получаем равенство:

$(-2)^9 = (-2)^{n-1}$

Так как основания степеней равны, мы можем приравнять их показатели:

$9 = n - 1$

$n = 9 + 1$

$n = 10$

Ответ: 10.

Помогло решение? Оставьте отзыв в комментариях ниже.

Присоединяйтесь к Телеграм-группе @gdz_by_belarus

Присоединиться

Мы подготовили для вас ответ c подробным объяснением домашего задания по алгебре за 9 класс, для упражнения номер 4.271 расположенного на странице 253 к учебнику 2019 года издания для учащихся школ и гимназий.

Теперь на нашем сайте ГДЗ.ТОП вы всегда легко и бесплатно найдёте условие с правильным ответом на вопрос «Как решить ДЗ» и «Как сделать» задание по алгебре к упражнению №4.271 (с. 253), авторов: Арефьева (Ирина Глебовна), Пирютко (Ольга Николаевна), учебного пособия издательства Народная асвета.