Номер 103, страница 275 - гдз по алгебре 9 класс учебник Арефьева, Пирютко

Алгебра, 9 класс Учебник, авторы: Арефьева Ирина Глебовна, Пирютко Ольга Николаевна, издательство Народная асвета, Минск, 2019, голубого цвета

Авторы: Арефьева И. Г., Пирютко О. Н.

Тип: Учебник

Издательство: Народная асвета

Год издания: 2019 - 2025

Цвет обложки: голубой, синий с графиком

ISBN: 978-985-03-3077-2

Допущено Министерством образования Республики Беларусь

Популярные ГДЗ в 9 классе

Итоговое повторение. Выражения и их преобразования - номер 103, страница 275.

№103 (с. 275)
Условие. №103 (с. 275)
скриншот условия
Алгебра, 9 класс Учебник, авторы: Арефьева Ирина Глебовна, Пирютко Ольга Николаевна, издательство Народная асвета, Минск, 2019, голубого цвета, страница 275, номер 103, Условие

103*. Разложите на множители:

а) $(3x - a)y^2 - 4(a - 3x)y - 4a + 12x;$

б) $(xy + y^2)(x^2 + 4x) - (x^2 + xy)(y^2 + 4y);$

в) $2a^2 - 20ab + 50b^2 - 2;$

г) $(b^2 + 16)^2 - 64b^2;$

д) $(5 - x)(5 + x) - a(a - 2x).$

Решение. №103 (с. 275)
Алгебра, 9 класс Учебник, авторы: Арефьева Ирина Глебовна, Пирютко Ольга Николаевна, издательство Народная асвета, Минск, 2019, голубого цвета, страница 275, номер 103, Решение Алгебра, 9 класс Учебник, авторы: Арефьева Ирина Глебовна, Пирютко Ольга Николаевна, издательство Народная асвета, Минск, 2019, голубого цвета, страница 275, номер 103, Решение (продолжение 2)
Решение 2. №103 (с. 275)

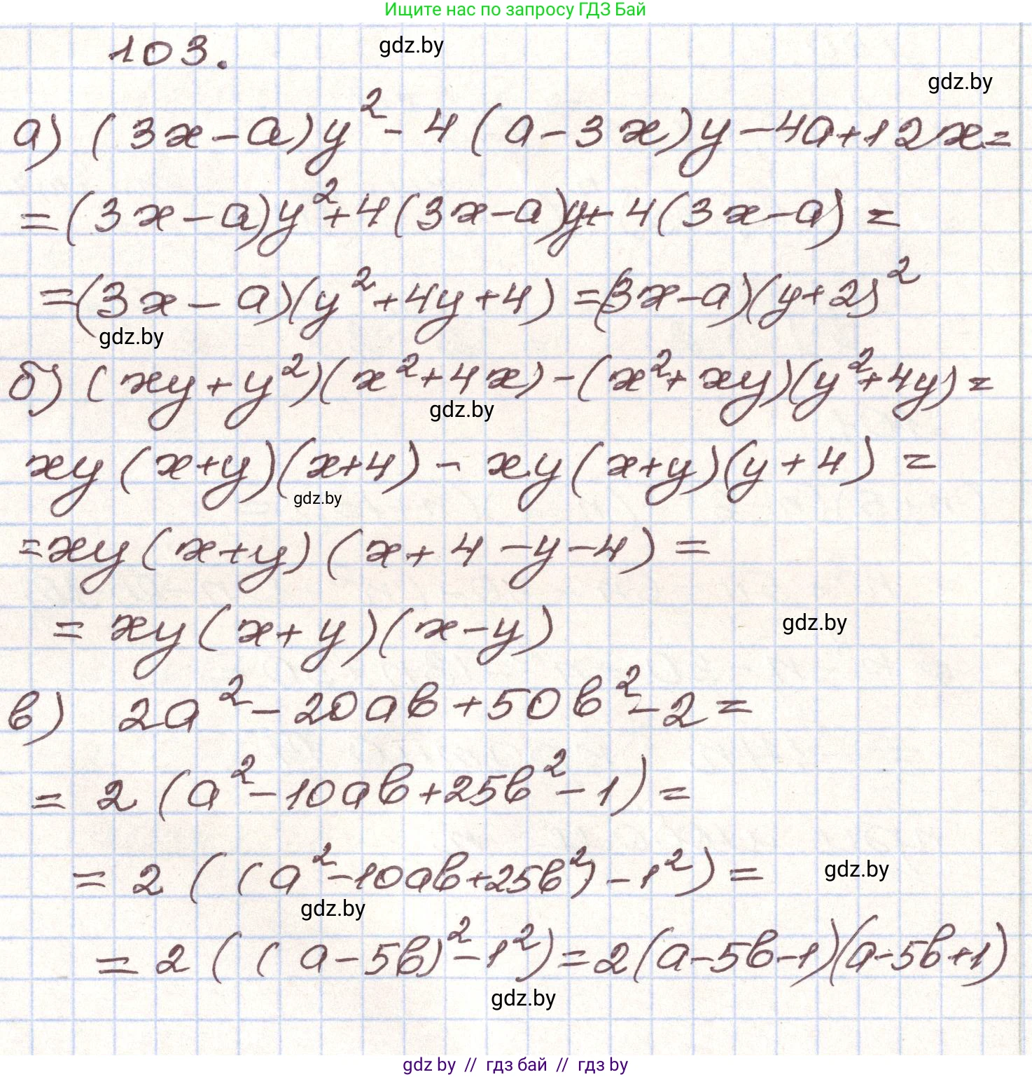
а) $(3x - a)y^2 - 4(a - 3x)y - 4a + 12x$

Для разложения на множители данного выражения, сгруппируем слагаемые. Сначала заметим, что выражение $(a - 3x)$ является противоположным выражению $(3x - a)$, то есть $(a - 3x) = -(3x - a)$.

Перепишем исходное выражение:

$(3x - a)y^2 - 4(-(3x - a))y - 4a + 12x = (3x - a)y^2 + 4(3x - a)y - 4a + 12x$

Теперь сгруппируем последние два слагаемых и вынесем общий множитель:

$-4a + 12x = 4(3x - a)$

Подставим это обратно в выражение:

$(3x - a)y^2 + 4(3x - a)y + 4(3x - a)$

Теперь мы видим общий множитель $(3x - a)$, который можно вынести за скобки:

$(3x - a)(y^2 + 4y + 4)$

Выражение во второй скобке $y^2 + 4y + 4$ является полным квадратом суммы, так как соответствует формуле $a^2 + 2ab + b^2 = (a+b)^2$, где $a=y$ и $b=2$:

$y^2 + 2 \cdot y \cdot 2 + 2^2 = (y + 2)^2$

Таким образом, окончательное разложение на множители имеет вид:

Ответ: $(3x - a)(y + 2)^2$


б) $(xy + y^2)(x^2 + 4x) - (x^2 + xy)(y^2 + 4y)$

Вынесем общие множители из каждой скобки:

  • $xy + y^2 = y(x + y)$
  • $x^2 + 4x = x(x + 4)$
  • $x^2 + xy = x(x + y)$
  • $y^2 + 4y = y(y + 4)$

Подставим преобразованные скобки в исходное выражение:

$y(x + y) \cdot x(x + 4) - x(x + y) \cdot y(y + 4)$

Перегруппируем множители для наглядности:

$xy(x + y)(x + 4) - xy(x + y)(y + 4)$

Вынесем общий множитель $xy(x + y)$ за скобки:

$xy(x + y)[(x + 4) - (y + 4)]$

Раскроем скобки внутри квадратных скобок и упростим:

$xy(x + y)(x + 4 - y - 4) = xy(x + y)(x - y)$

Выражение $(x+y)(x-y)$ можно также представить как разность квадратов $x^2-y^2$.

Ответ: $xy(x + y)(x - y)$


в) $2a^2 - 20ab + 50b^2 - 2$

Сначала вынесем общий множитель 2 за скобки:

$2(a^2 - 10ab + 25b^2 - 1)$

Рассмотрим выражение в скобках. Первые три слагаемых $a^2 - 10ab + 25b^2$ образуют полный квадрат разности по формуле $(x-y)^2 = x^2 - 2xy + y^2$, где $x=a$ и $y=5b$:

$a^2 - 2 \cdot a \cdot (5b) + (5b)^2 = (a - 5b)^2$

Подставим это в выражение в скобках:

$2((a - 5b)^2 - 1)$

Теперь выражение в скобках представляет собой разность квадратов вида $x^2 - y^2 = (x-y)(x+y)$, где $x = (a-5b)$ и $y=1$:

$2((a - 5b) - 1)((a - 5b) + 1)$

Раскроем внутренние скобки:

$2(a - 5b - 1)(a - 5b + 1)$

Ответ: $2(a - 5b - 1)(a - 5b + 1)$


г) $(b^2 + 16)^2 - 64b^2$

Данное выражение является разностью квадратов. Представим $64b^2$ как $(8b)^2$:

$(b^2 + 16)^2 - (8b)^2$

Применим формулу разности квадратов $x^2 - y^2 = (x-y)(x+y)$, где $x = (b^2+16)$ и $y = 8b$:

$((b^2 + 16) - 8b)((b^2 + 16) + 8b)$

Упорядочим слагаемые в каждой скобке:

$(b^2 - 8b + 16)(b^2 + 8b + 16)$

Каждое из выражений в скобках является полным квадратом:

  • $b^2 - 8b + 16 = (b - 4)^2$
  • $b^2 + 8b + 16 = (b + 4)^2$

Таким образом, получаем:

Ответ: $(b - 4)^2(b + 4)^2$


д) $(5 - x)(5 + x) - a(a - 2x)$

Раскроем скобки в каждом слагаемом. Первое слагаемое — это формула разности квадратов, второе — распределительный закон:

$(5^2 - x^2) - (a^2 - 2ax) = 25 - x^2 - a^2 + 2ax$

Перегруппируем слагаемые, чтобы выделить полный квадрат:

$25 - (x^2 - 2ax + a^2)$

Выражение в скобках $x^2 - 2ax + a^2$ является полным квадратом разности $(x - a)^2$.

Получаем:

$25 - (x - a)^2$

Это выражение снова является разностью квадратов, где $25 = 5^2$:

$5^2 - (x - a)^2$

Применим формулу разности квадратов $x^2 - y^2 = (x-y)(x+y)$, где $x=5$ и $y=(x-a)$:

$(5 - (x - a))(5 + (x - a))$

Раскроем внутренние скобки:

$(5 - x + a)(5 + x - a)$

Ответ: $(5 - x + a)(5 + x - a)$

Помогло решение? Оставьте отзыв в комментариях ниже.

Присоединяйтесь к Телеграм-группе @gdz_by_belarus

Присоединиться

Мы подготовили для вас ответ c подробным объяснением домашего задания по алгебре за 9 класс, для упражнения номер 103 расположенного на странице 275 к учебнику 2019 года издания для учащихся школ и гимназий.

Теперь на нашем сайте ГДЗ.ТОП вы всегда легко и бесплатно найдёте условие с правильным ответом на вопрос «Как решить ДЗ» и «Как сделать» задание по алгебре к упражнению №103 (с. 275), авторов: Арефьева (Ирина Глебовна), Пирютко (Ольга Николаевна), учебного пособия издательства Народная асвета.