Номер 158, страница 279 - гдз по алгебре 9 класс учебник Арефьева, Пирютко

Алгебра, 9 класс Учебник, авторы: Арефьева Ирина Глебовна, Пирютко Ольга Николаевна, издательство Народная асвета, Минск, 2019, голубого цвета

Авторы: Арефьева И. Г., Пирютко О. Н.

Тип: Учебник

Издательство: Народная асвета

Год издания: 2019 - 2025

Цвет обложки: голубой, синий с графиком

ISBN: 978-985-03-3077-2

Допущено Министерством образования Республики Беларусь

Популярные ГДЗ в 9 классе

Итоговое повторение. Выражения и их преобразования - номер 158, страница 279.

№158 (с. 279)
Условие. №158 (с. 279)
скриншот условия
Алгебра, 9 класс Учебник, авторы: Арефьева Ирина Глебовна, Пирютко Ольга Николаевна, издательство Народная асвета, Минск, 2019, голубого цвета, страница 279, номер 158, Условие

158*. Разложите на множители:

а) $(2a - 3b)x^2 - 6(3b - 2a)x + 18a - 27b;$

б) $(ab + b^2)(a^2 + 6a) - (a^2 + ab)(b^2 + 6b);$

в) $3n^2 + 12m^2 + 12mn - 12;$

г) $(a^2 + 1)^2 - 4a^2;$

д) $(4 - y)(4 + y) - b(b - 2y).$

Решение. №158 (с. 279)
Алгебра, 9 класс Учебник, авторы: Арефьева Ирина Глебовна, Пирютко Ольга Николаевна, издательство Народная асвета, Минск, 2019, голубого цвета, страница 279, номер 158, Решение Алгебра, 9 класс Учебник, авторы: Арефьева Ирина Глебовна, Пирютко Ольга Николаевна, издательство Народная асвета, Минск, 2019, голубого цвета, страница 279, номер 158, Решение (продолжение 2)
Решение 2. №158 (с. 279)

а) $(2a - 3b)x^2 - 6(3b - 2a)x + 18a - 27b$

Для разложения на множители сгруппируем слагаемые. Сначала преобразуем выражение, чтобы выделить общий множитель. Заметим, что $3b - 2a = -(2a - 3b)$, а $18a - 27b = 9(2a - 3b)$.

Подставим это в исходное выражение:

$(2a - 3b)x^2 - 6(-(2a - 3b))x + 9(2a - 3b) = (2a - 3b)x^2 + 6(2a - 3b)x + 9(2a - 3b)$

Теперь можно вынести общий множитель $(2a - 3b)$ за скобки:

$(2a - 3b)(x^2 + 6x + 9)$

Выражение в скобках $x^2 + 6x + 9$ является полным квадратом суммы, так как его можно представить в виде $x^2 + 2 \cdot x \cdot 3 + 3^2 = (x+3)^2$.

Ответ: $(2a - 3b)(x + 3)^2$


б) $(ab + b^2)(a^2 + 6a) - (a^2 + ab)(b^2 + 6b)$

Вынесем общие множители из каждой скобки:

$ab + b^2 = b(a+b)$

$a^2 + 6a = a(a+6)$

$a^2 + ab = a(a+b)$

$b^2 + 6b = b(b+6)$

Подставим полученные выражения в исходное:

$b(a+b) \cdot a(a+6) - a(a+b) \cdot b(b+6)$

Перегруппируем множители для наглядности:

$ab(a+b)(a+6) - ab(a+b)(b+6)$

Вынесем общий множитель $ab(a+b)$ за скобки:

$ab(a+b)((a+6) - (b+6))$

Упростим выражение в последних скобках:

$a+6-b-6 = a-b$

В результате получаем:

Ответ: $ab(a+b)(a-b)$


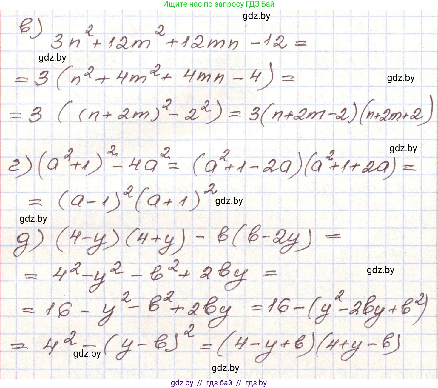
в) $3n^2 + 12m^2 + 12mn - 12$

Сначала вынесем общий числовой множитель 3 за скобки:

$3(n^2 + 4m^2 + 4mn - 4)$

Сгруппируем слагаемые внутри скобок, чтобы выделить полный квадрат:

$3((n^2 + 4mn + 4m^2) - 4)$

Выражение $n^2 + 4mn + 4m^2$ является полным квадратом суммы $(n + 2m)^2$.

Теперь выражение в скобках выглядит так: $(n + 2m)^2 - 4$.

Это разность квадратов вида $A^2 - B^2$, где $A = n+2m$ и $B=2$. Применим формулу разности квадратов $A^2 - B^2 = (A-B)(A+B)$:

$3((n+2m)-2)((n+2m)+2)$

Ответ: $3(n+2m-2)(n+2m+2)$


г) $(a^2 + 1)^2 - 4a^2$

Данное выражение представляет собой разность квадратов. Представим $4a^2$ как $(2a)^2$.

$(a^2 + 1)^2 - (2a)^2$

Применим формулу разности квадратов $A^2 - B^2 = (A-B)(A+B)$, где $A = a^2+1$ и $B=2a$:

$((a^2+1) - 2a)((a^2+1) + 2a)$

Упорядочим слагаемые в скобках:

$(a^2 - 2a + 1)(a^2 + 2a + 1)$

Каждое из выражений в скобках является полным квадратом:

$a^2 - 2a + 1 = (a-1)^2$

$a^2 + 2a + 1 = (a+1)^2$

Ответ: $(a-1)^2(a+1)^2$


д) $(4 - y)(4 + y) - b(b - 2y)$

Первая часть выражения $(4-y)(4+y)$ является разностью квадратов:

$(4-y)(4+y) = 4^2 - y^2 = 16 - y^2$

Раскроем скобки во второй части выражения:

$-b(b-2y) = -b^2 + 2by$

Объединим обе части:

$16 - y^2 - b^2 + 2by$

Сгруппируем слагаемые, чтобы выделить полный квадрат:

$16 - (y^2 - 2by + b^2)$

Выражение в скобках $y^2 - 2by + b^2$ является полным квадратом разности $(y-b)^2$.

Получаем выражение $16 - (y-b)^2$, которое является разностью квадратов $4^2 - (y-b)^2$.

Применим формулу разности квадратов $A^2 - B^2 = (A-B)(A+B)$, где $A=4$ и $B=y-b$:

$(4-(y-b))(4+(y-b))$

Раскроем внутренние скобки:

$(4-y+b)(4+y-b)$

Ответ: $(4-y+b)(4+y-b)$

Помогло решение? Оставьте отзыв в комментариях ниже.

Присоединяйтесь к Телеграм-группе @gdz_by_belarus

Присоединиться

Мы подготовили для вас ответ c подробным объяснением домашего задания по алгебре за 9 класс, для упражнения номер 158 расположенного на странице 279 к учебнику 2019 года издания для учащихся школ и гимназий.

Теперь на нашем сайте ГДЗ.ТОП вы всегда легко и бесплатно найдёте условие с правильным ответом на вопрос «Как решить ДЗ» и «Как сделать» задание по алгебре к упражнению №158 (с. 279), авторов: Арефьева (Ирина Глебовна), Пирютко (Ольга Николаевна), учебного пособия издательства Народная асвета.