Номер 160, страница 279 - гдз по алгебре 9 класс учебник Арефьева, Пирютко

Алгебра, 9 класс Учебник, авторы: Арефьева Ирина Глебовна, Пирютко Ольга Николаевна, издательство Народная асвета, Минск, 2019, голубого цвета

Авторы: Арефьева И. Г., Пирютко О. Н.

Тип: Учебник

Издательство: Народная асвета

Год издания: 2019 - 2025

Цвет обложки: голубой, синий с графиком

ISBN: 978-985-03-3077-2

Допущено Министерством образования Республики Беларусь

Популярные ГДЗ в 9 классе

Итоговое повторение. Выражения и их преобразования - номер 160, страница 279.

№160 (с. 279)
Условие. №160 (с. 279)
скриншот условия
Алгебра, 9 класс Учебник, авторы: Арефьева Ирина Глебовна, Пирютко Ольга Николаевна, издательство Народная асвета, Минск, 2019, голубого цвета, страница 279, номер 160, Условие

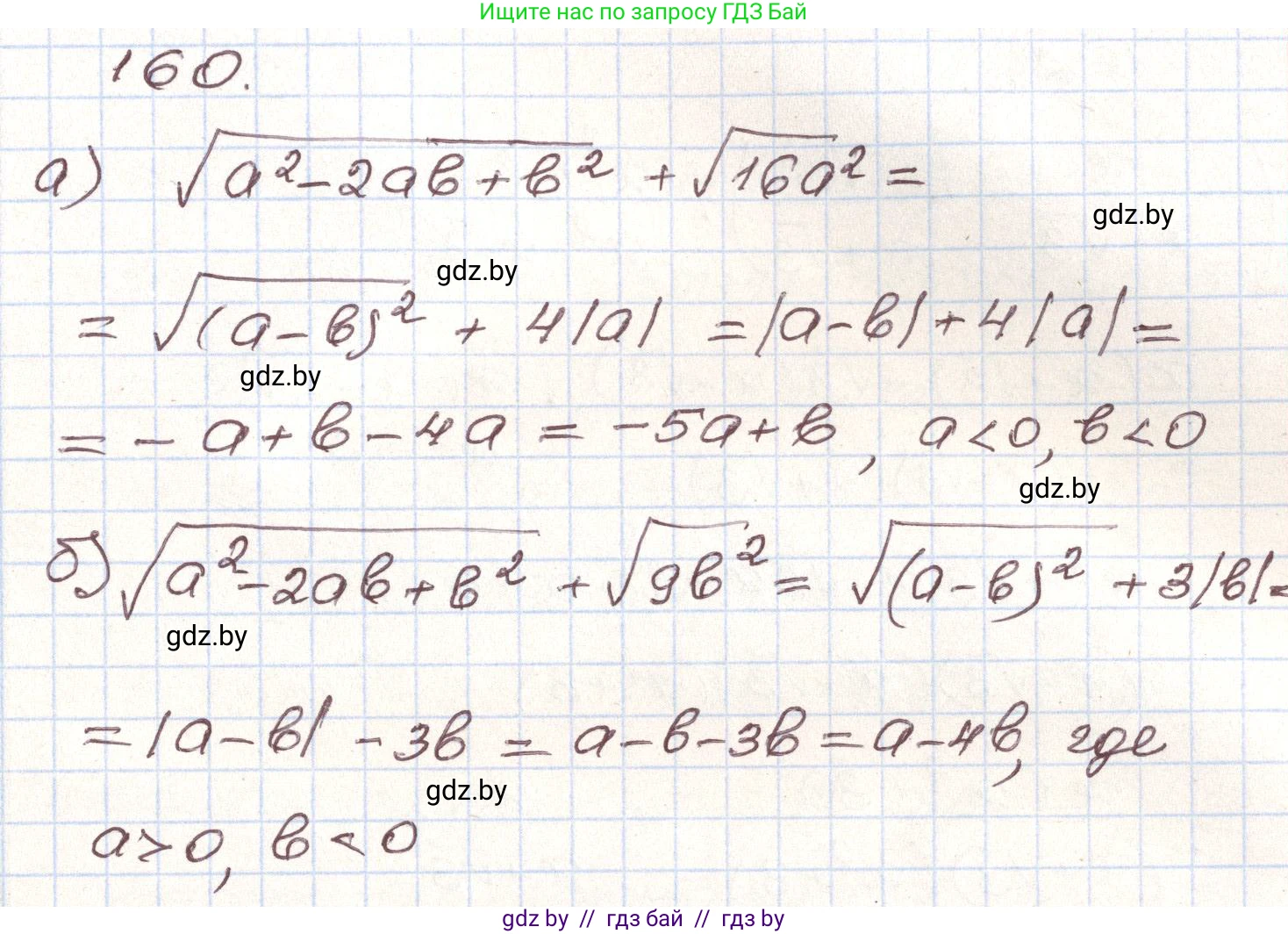
160*. Упростите выражение:

a) $\sqrt{a^2 - 2ab + b^2} + \sqrt{16a^2}$ при $a < 0, b > 0;

б) $\sqrt{a^2 - 2ab + b^2} + \sqrt{9b^2}$ при $a > 0, b < 0.$

Решение. №160 (с. 279)
Алгебра, 9 класс Учебник, авторы: Арефьева Ирина Глебовна, Пирютко Ольга Николаевна, издательство Народная асвета, Минск, 2019, голубого цвета, страница 279, номер 160, Решение
Решение 2. №160 (с. 279)

а) Дано выражение $\sqrt{a^2 - 2ab + b^2} + \sqrt{16a^2}$ при условиях $a < 0$, $b > 0$.

1. Упростим первое слагаемое. Выражение под корнем $a^2 - 2ab + b^2$ является полным квадратом разности $(a-b)^2$. Используя основное свойство арифметического квадратного корня $\sqrt{x^2} = |x|$, получаем:
$\sqrt{a^2 - 2ab + b^2} = \sqrt{(a-b)^2} = |a-b|$.

2. Раскроем модуль $|a-b|$, учитывая заданные условия. Так как $a$ — отрицательное число ($a < 0$), а $b$ — положительное ($b > 0$), их разность $a-b$ будет отрицательной.
Следовательно, по определению модуля, $|a-b| = -(a-b) = b-a$.

3. Упростим второе слагаемое:
$\sqrt{16a^2} = \sqrt{(4a)^2} = |4a| = 4|a|$.

4. Раскроем модуль $|a|$. Так как по условию $a < 0$, то $|a| = -a$.
Следовательно, $4|a| = 4(-a) = -4a$.

5. Сложим полученные упрощенные выражения:
$(b-a) + (-4a) = b - a - 4a = b - 5a$.

Ответ: $b - 5a$.

б) Дано выражение $\sqrt{a^2 - 2ab + b^2} + \sqrt{9b^2}$ при условиях $a > 0$, $b < 0$.

1. Упростим первое слагаемое аналогично пункту а):
$\sqrt{a^2 - 2ab + b^2} = \sqrt{(a-b)^2} = |a-b|$.

2. Раскроем модуль $|a-b|$. По условию $a$ — положительное число ($a > 0$), а $b$ — отрицательное ($b < 0$). Разность $a-b$ будет положительной (вычитание отрицательного числа равносильно прибавлению положительного).
Следовательно, $|a-b| = a-b$.

3. Упростим второе слагаемое:
$\sqrt{9b^2} = \sqrt{(3b)^2} = |3b| = 3|b|$.

4. Раскроем модуль $|b|$. Так как по условию $b < 0$, то $|b| = -b$.
Следовательно, $3|b| = 3(-b) = -3b$.

5. Сложим полученные упрощенные выражения:
$(a-b) + (-3b) = a - b - 3b = a - 4b$.

Ответ: $a - 4b$.

Помогло решение? Оставьте отзыв в комментариях ниже.

Присоединяйтесь к Телеграм-группе @gdz_by_belarus

Присоединиться

Мы подготовили для вас ответ c подробным объяснением домашего задания по алгебре за 9 класс, для упражнения номер 160 расположенного на странице 279 к учебнику 2019 года издания для учащихся школ и гимназий.

Теперь на нашем сайте ГДЗ.ТОП вы всегда легко и бесплатно найдёте условие с правильным ответом на вопрос «Как решить ДЗ» и «Как сделать» задание по алгебре к упражнению №160 (с. 279), авторов: Арефьева (Ирина Глебовна), Пирютко (Ольга Николаевна), учебного пособия издательства Народная асвета.