Номер 56, страница 270 - гдз по алгебре 9 класс учебник Арефьева, Пирютко

Алгебра, 9 класс Учебник, авторы: Арефьева Ирина Глебовна, Пирютко Ольга Николаевна, издательство Народная асвета, Минск, 2019, голубого цвета

Авторы: Арефьева И. Г., Пирютко О. Н.

Тип: Учебник

Издательство: Народная асвета

Год издания: 2019 - 2025

Цвет обложки: голубой, синий с графиком

ISBN: 978-985-03-3077-2

Допущено Министерством образования Республики Беларусь

Популярные ГДЗ в 9 классе

Итоговое повторение. Числа и вычисления - номер 56, страница 270.

№56 (с. 270)
Условие. №56 (с. 270)
скриншот условия
Алгебра, 9 класс Учебник, авторы: Арефьева Ирина Глебовна, Пирютко Ольга Николаевна, издательство Народная асвета, Минск, 2019, голубого цвета, страница 270, номер 56, Условие

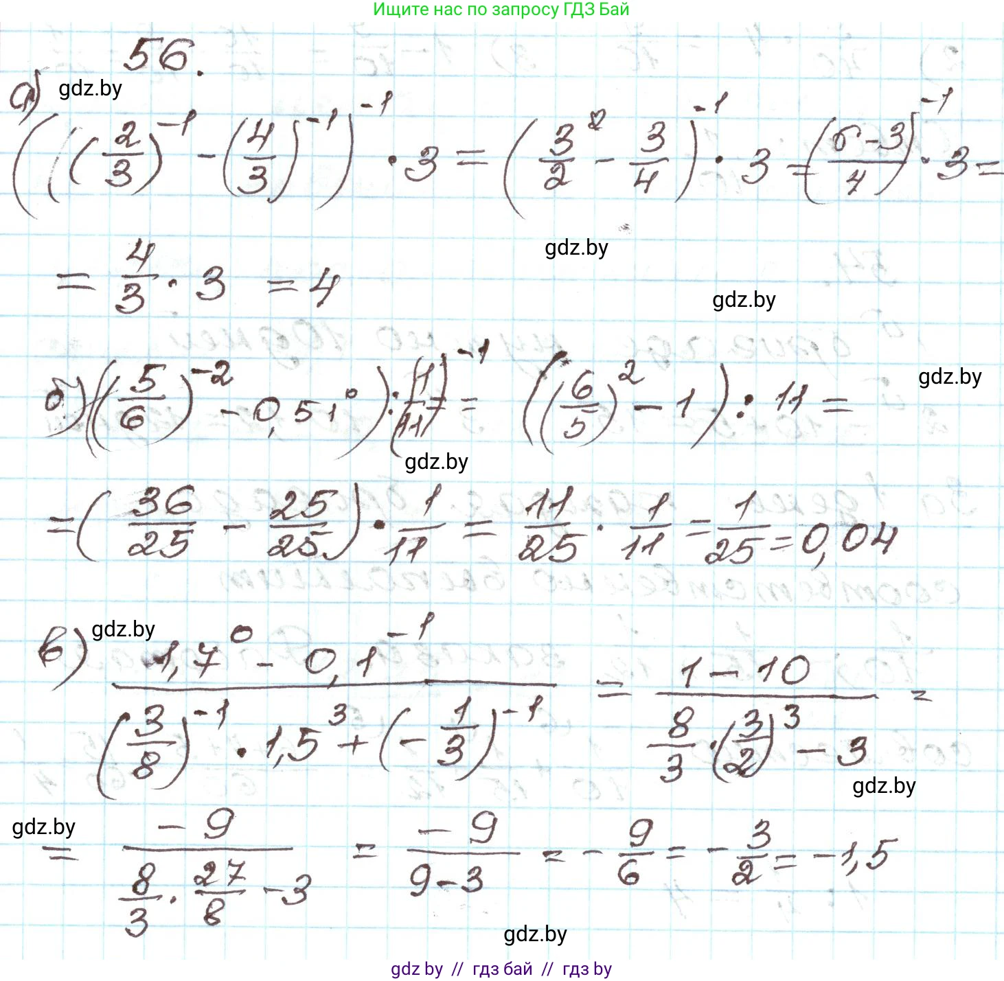
56. Используйте определение степени с целым показателем и найдите значение выражения:

а) $ \left( \left(\frac{2}{3}\right)^{-1} - \left(\frac{4}{3}\right)^{-1} \right)^{-1} \cdot 3; $

б) $ \left( \left(\frac{5}{6}\right)^{-2} - 0.51^0 \right) : \left(\frac{1}{11}\right)^{-1}; $

в) $ \frac{1.7^0 - 0.1^{-1}}{\left(\frac{3}{8}\right)^{-1} \cdot 1.5^3 + \left(-\frac{1}{3}\right)^{-1}}. $

Решение. №56 (с. 270)
Алгебра, 9 класс Учебник, авторы: Арефьева Ирина Глебовна, Пирютко Ольга Николаевна, издательство Народная асвета, Минск, 2019, голубого цвета, страница 270, номер 56, Решение
Решение 2. №56 (с. 270)

а) $\left(\left(\frac{2}{3}\right)^{-1} - \left(\frac{4}{3}\right)^{-1}\right)^{-1} \cdot 3$

  1. Используем определение степени с целым отрицательным показателем $a^{-n} = \frac{1}{a^n}$. Для дроби это правило выглядит так: $(\frac{p}{q})^{-n} = (\frac{q}{p})^n$.
  2. Применим это правило к степеням в скобках:

    $(\frac{2}{3})^{-1} = \frac{3}{2}$

    $(\frac{4}{3})^{-1} = \frac{3}{4}$

  3. Выполним вычитание внутри скобок, приведя дроби к общему знаменателю:

    $\frac{3}{2} - \frac{3}{4} = \frac{3 \cdot 2}{2 \cdot 2} - \frac{3}{4} = \frac{6}{4} - \frac{3}{4} = \frac{3}{4}$

  4. Теперь выражение имеет вид:

    $(\frac{3}{4})^{-1} \cdot 3$

  5. Снова применим правило для степени с отрицательным показателем:

    $(\frac{3}{4})^{-1} = \frac{4}{3}$

  6. Выполним умножение:

    $\frac{4}{3} \cdot 3 = 4$

Ответ: 4

б) $\left(\left(\frac{5}{6}\right)^{-2} - 0,51^0\right) : \left(\frac{1}{11}\right)^{-1}$

  1. Вычислим значение каждого элемента выражения по отдельности, используя свойства степеней.
  2. Возводим в степень первое слагаемое в скобках:

    $(\frac{5}{6})^{-2} = (\frac{6}{5})^2 = \frac{6^2}{5^2} = \frac{36}{25}$

  3. Вычисляем второе слагаемое в скобках. Любое ненулевое число в степени 0 равно 1:

    $0,51^0 = 1$

  4. Вычисляем делитель:

    $(\frac{1}{11})^{-1} = \frac{11}{1} = 11$

  5. Подставляем полученные значения в исходное выражение:

    $(\frac{36}{25} - 1) : 11$

  6. Выполним вычитание в скобках:

    $\frac{36}{25} - 1 = \frac{36}{25} - \frac{25}{25} = \frac{11}{25}$

  7. Выполним деление:

    $\frac{11}{25} : 11 = \frac{11}{25} \cdot \frac{1}{11} = \frac{1}{25}$

Ответ: $\frac{1}{25}$

в) $\frac{1,7^0 - 0,1^{-1}}{(\frac{3}{8})^{-1} \cdot 1,5^3 + (-\frac{1}{3})^{-1}}$

  1. Решим по действиям. Сначала вычислим числитель дроби.

    $1,7^0 = 1$

    $0,1^{-1} = (\frac{1}{10})^{-1} = 10$

    Значение числителя: $1 - 10 = -9$

  2. Теперь вычислим знаменатель дроби.

    $(\frac{3}{8})^{-1} = \frac{8}{3}$

    $1,5^3 = (\frac{3}{2})^3 = \frac{3^3}{2^3} = \frac{27}{8}$

    $(-\frac{1}{3})^{-1} = -3$

  3. Выполним действия в знаменателе:

    $\frac{8}{3} \cdot \frac{27}{8} + (-3) = \frac{8 \cdot 27}{3 \cdot 8} - 3 = \frac{27}{3} - 3 = 9 - 3 = 6$

  4. Теперь разделим числитель на знаменатель:

    $\frac{-9}{6} = -\frac{3}{2}$

  5. Преобразуем неправильную дробь в смешанное число, выделив целую часть:

    $-\frac{3}{2} = -1\frac{1}{2}$

Ответ: -1$\frac{1}{2}$

Помогло решение? Оставьте отзыв в комментариях ниже.

Присоединяйтесь к Телеграм-группе @gdz_by_belarus

Присоединиться

Мы подготовили для вас ответ c подробным объяснением домашего задания по алгебре за 9 класс, для упражнения номер 56 расположенного на странице 270 к учебнику 2019 года издания для учащихся школ и гимназий.

Теперь на нашем сайте ГДЗ.ТОП вы всегда легко и бесплатно найдёте условие с правильным ответом на вопрос «Как решить ДЗ» и «Как сделать» задание по алгебре к упражнению №56 (с. 270), авторов: Арефьева (Ирина Глебовна), Пирютко (Ольга Николаевна), учебного пособия издательства Народная асвета.