Номер 94, страница 274 - гдз по алгебре 9 класс учебник Арефьева, Пирютко

Алгебра, 9 класс Учебник, авторы: Арефьева Ирина Глебовна, Пирютко Ольга Николаевна, издательство Народная асвета, Минск, 2019, голубого цвета

Авторы: Арефьева И. Г., Пирютко О. Н.

Тип: Учебник

Издательство: Народная асвета

Год издания: 2019 - 2025

Цвет обложки: голубой, синий с графиком

ISBN: 978-985-03-3077-2

Допущено Министерством образования Республики Беларусь

Популярные ГДЗ в 9 классе

Итоговое повторение. Выражения и их преобразования - номер 94, страница 274.

№94 (с. 274)
Условие. №94 (с. 274)
скриншот условия
Алгебра, 9 класс Учебник, авторы: Арефьева Ирина Глебовна, Пирютко Ольга Николаевна, издательство Народная асвета, Минск, 2019, голубого цвета, страница 274, номер 94, Условие

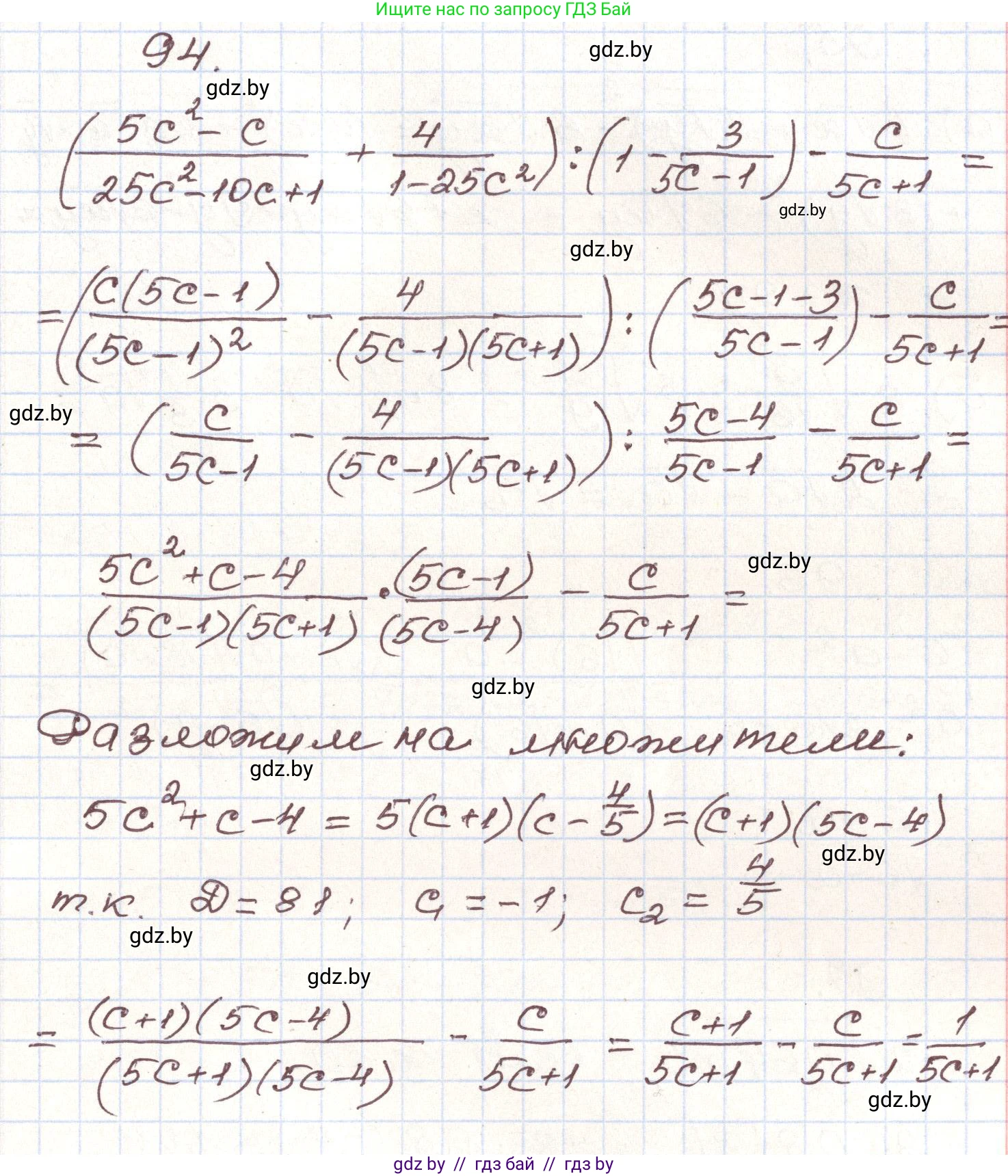
94. Упростите выражение

$\left(\frac{5c^2-c}{25c^2-10c+1} + \frac{4}{1-25c^2}\right) : \left(1 - \frac{3}{5c-1}\right) - \frac{c}{5c+1}$.

Решение. №94 (с. 274)
Алгебра, 9 класс Учебник, авторы: Арефьева Ирина Глебовна, Пирютко Ольга Николаевна, издательство Народная асвета, Минск, 2019, голубого цвета, страница 274, номер 94, Решение
Решение 2. №94 (с. 274)

Для упрощения данного выражения необходимо выполнить действия в правильном порядке: сначала действия в скобках, затем деление и в конце вычитание.

Исходное выражение:

$ (\frac{5c^2 - c}{25c^2 - 10c + 1} + \frac{4}{1 - 25c^2}) : (1 - \frac{3}{5c - 1}) - \frac{c}{5c + 1} $

1. Упростим выражение в первой скобке: $ \frac{5c^2 - c}{25c^2 - 10c + 1} + \frac{4}{1 - 25c^2} $.

Разложим знаменатели на множители, используя формулы сокращенного умножения (квадрат разности и разность квадратов):

$ 25c^2 - 10c + 1 = (5c - 1)^2 $

$ 1 - 25c^2 = (1 - 5c)(1 + 5c) = -(5c - 1)(5c + 1) $

Подставим полученные выражения обратно и вынесем общий множитель в числителе первой дроби:

$ \frac{c(5c - 1)}{(5c - 1)^2} + \frac{4}{-(5c - 1)(5c + 1)} = \frac{c(5c - 1)}{(5c - 1)^2} - \frac{4}{(5c - 1)(5c + 1)} $

Сократим первую дробь на $ (5c - 1) $:

$ \frac{c}{5c - 1} - \frac{4}{(5c - 1)(5c + 1)} $

Приведем дроби к общему знаменателю $ (5c - 1)(5c + 1) $:

$ \frac{c(5c + 1)}{(5c - 1)(5c + 1)} - \frac{4}{(5c - 1)(5c + 1)} = \frac{c(5c + 1) - 4}{(5c - 1)(5c + 1)} = \frac{5c^2 + c - 4}{(5c - 1)(5c + 1)} $

Разложим числитель $ 5c^2 + c - 4 $ на множители. Для этого найдем корни квадратного уравнения $ 5c^2 + c - 4 = 0 $.
Дискриминант $ D = 1^2 - 4 \cdot 5 \cdot (-4) = 1 + 80 = 81 $.
Корни: $ c_1 = \frac{-1 - \sqrt{81}}{10} = \frac{-10}{10} = -1 $; $ c_2 = \frac{-1 + \sqrt{81}}{10} = \frac{8}{10} = \frac{4}{5} $.
Следовательно, $ 5c^2 + c - 4 = 5(c - (-1))(c - \frac{4}{5}) = 5(c + 1)(c - \frac{4}{5}) = (c + 1)(5c - 4) $.

Результат действия в первой скобке: $ \frac{(c + 1)(5c - 4)}{(5c - 1)(5c + 1)} $.

2. Упростим выражение во второй скобке: $ 1 - \frac{3}{5c - 1} $.

Приведем к общему знаменателю:

$ \frac{1 \cdot (5c - 1)}{5c - 1} - \frac{3}{5c - 1} = \frac{5c - 1 - 3}{5c - 1} = \frac{5c - 4}{5c - 1} $

3. Выполним деление.

Разделим результат первого действия на результат второго:

$ \frac{(c + 1)(5c - 4)}{(5c - 1)(5c + 1)} : \frac{5c - 4}{5c - 1} $

Заменим деление умножением на обратную дробь и сократим общие множители:

$ \frac{(c + 1)(5c - 4)}{(5c - 1)(5c + 1)} \cdot \frac{5c - 1}{5c - 4} = \frac{c + 1}{5c + 1} $

4. Выполним вычитание.

Из результата деления вычтем последнюю дробь в выражении:

$ \frac{c + 1}{5c + 1} - \frac{c}{5c + 1} = \frac{(c + 1) - c}{5c + 1} = \frac{1}{5c + 1} $

Ответ: $ \frac{1}{5c+1} $

Помогло решение? Оставьте отзыв в комментариях ниже.

Присоединяйтесь к Телеграм-группе @gdz_by_belarus

Присоединиться

Мы подготовили для вас ответ c подробным объяснением домашего задания по алгебре за 9 класс, для упражнения номер 94 расположенного на странице 274 к учебнику 2019 года издания для учащихся школ и гимназий.

Теперь на нашем сайте ГДЗ.ТОП вы всегда легко и бесплатно найдёте условие с правильным ответом на вопрос «Как решить ДЗ» и «Как сделать» задание по алгебре к упражнению №94 (с. 274), авторов: Арефьева (Ирина Глебовна), Пирютко (Ольга Николаевна), учебного пособия издательства Народная асвета.